0 引言
1 样品特征与实验方法
1.1 基本地球化学特征
表1 实验样品地球化学参数Table 1 Geochemical parameters of experimental samples |
| 井号 | 层位 | 深度/m | 岩性 | TOC/% | I H/(mg/g) | I O /(mg/g) | S 1 /(mg/g) | S 2 /(mg/g) | T max/°C | R O/% | 干酪根类型 |
|---|---|---|---|---|---|---|---|---|---|---|---|
| DMG1 | J2 d 5 | 428.05 | 炭质泥岩 | 21.65 | 80.97 | 12.06 | 0.16 | 17.53 | 425 | 0.67 | Ⅲ |
| DMG1 | J2 d 5 | 422.80 | 煤 | 65.85 | 69.17 | 12.01 | 0.36 | 45.55 | 419 | 0.64 | Ⅲ |
1.2 实验条件及流程
1.2.1 实验条件
表2 温压共控模拟实验条件Table 2 Temperature and pressure simulation experimental conditions |
| 实验样品 | 实验 编号 | 样品质量 /g | 变温时间 /h | 恒温时间 /h | 实验时间 /h | 实验温度 /℃ | 模拟埋深 /m | 静岩压力 /MPa | 流体压力浮动范围/MPa | ||
|---|---|---|---|---|---|---|---|---|---|---|---|
| 基准值 | 最小值 | 最大值 | |||||||||
| DMG1井 炭质泥岩 | 301 | 30.047 | 1.5 | 72.0 | 73.5 | 250 | 3 400 | 70.0 | 34.0 | 30.6 | 40.8 |
| 302 | 30.121 | 1.6 | 72.0 | 73.6 | 300 | 4 200 | 86.4 | 42.0 | 37.8 | 50.4 | |
| 303 | 30.086 | 1.7 | 72.0 | 73.7 | 350 | 4 600 | 94.7 | 46.0 | 41.4 | 55.2 | |
| 304 | 30.166 | 1.8 | 72.0 | 73.8 | 400 | 5 100 | 105.5 | 51.0 | 45.9 | 61.2 | |
| 305 | 30.186 | 1.9 | 72.0 | 73.9 | 450 | 6 000 | 123.5 | 60.0 | 54.0 | 72.0 | |
| 306 | 30.189 | 2.0 | 72.0 | 74.0 | 500 | 7 000 | 144.1 | 70.0 | 63.0 | 84.0 | |
| DMG1井煤 | 401 | 30.156 | 1.5 | 72.0 | 73.5 | 250 | 3 400 | 56.6 | 34.0 | 30.6 | 40.8 |
| 402 | 30.358 | 1.6 | 72.0 | 73.6 | 300 | 4 200 | 70.0 | 42.0 | 37.8 | 50.4 | |
| 403 | 30.084 | 1.7 | 72.0 | 73.7 | 350 | 4 600 | 76.6 | 46.0 | 41.4 | 55.2 | |
| 404 | 30.250 | 1.8 | 72.0 | 73.8 | 400 | 5 100 | 85.0 | 51.0 | 45.9 | 61.2 | |
| 405 | 30.338 | 1.9 | 72.0 | 73.9 | 450 | 6 000 | 100.0 | 60.0 | 54.0 | 72.0 | |
| 406 | 30.502 | 2.0 | 72.0 | 74.0 | 500 | 7 000 | 116.6 | 70.0 | 63.0 | 84.0 | |
1.2.2 实验流程
2 结果与分析
2.1 液态烃
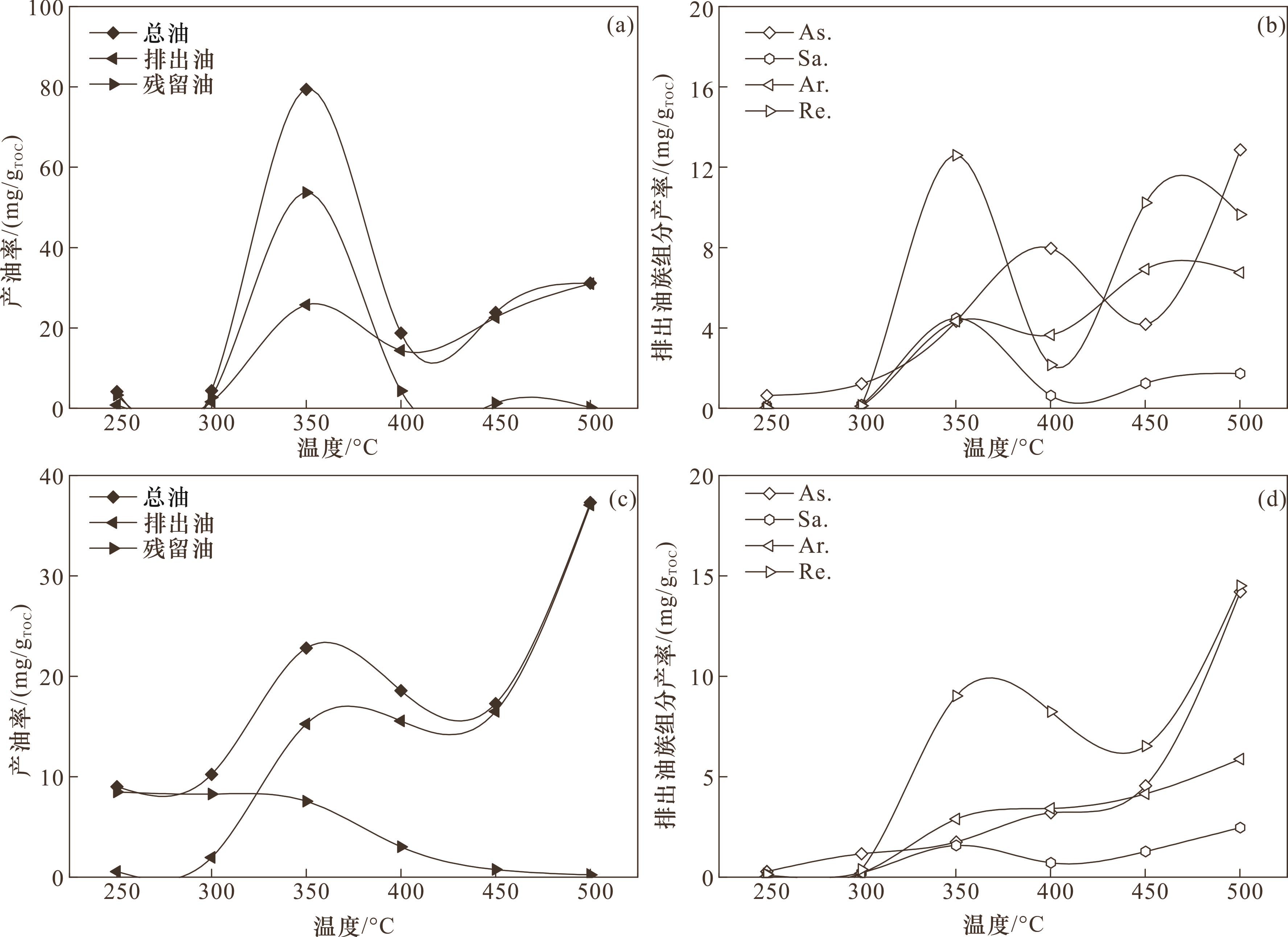
2.1.1 排出油、残留油、总油产率
图2 温压共控模拟实验液态烃及排出油族组分产率演化图(a)、(b)为炭质泥岩;(c)、(d)为煤;As.:沥青质;Sa.:饱和烃;Ar.:芳烃;Re.:非烃 Fig.2 Yield evolution diagram of liquid hydrocarbon and discharged group components in temperature and pressure simulation experiments |
表3 镜质体反射率(R O)及模拟气液累积产率汇总Table 3 Summary of Vitrinite reflectance (R O) and simulated products’ cumulative yield analysis |
| 源岩类型及 | DMG1井炭质泥岩,Ⅲ型 | DMG1井煤,Ⅲ型 | |||||||||||
|---|---|---|---|---|---|---|---|---|---|---|---|---|---|
| 实验编号 | 301 | 302 | 303 | 304 | 305 | 306 | 401 | 402 | 403 | 404 | 405 | 406 | |
| R O/% | 0.92 | 1.09 | 1.66 | 1.96 | 2.76 | 3.00 | 0.74 | 1.12 | 1.47 | 2.09 | 2.44 | 2.95 | |
| 排出油/(mg/gTOC) | 0.82 | 1.62 | 25.73 | 14.39 | 22.58 | 30.99 | 0.55 | 1.96 | 15.25 | 15.56 | 16.50 | 37.05 | |
| 残留油/(mg/gTOC) | 3.30 | 2.73 | 53.66 | 4.34 | 1.25 | 0.15 | 8.47 | 8.27 | 7.55 | 3.02 | 0.77 | 0.24 | |
| 总油/(mg/gTOC) | 4.12 | 4.35 | 79.38 | 18.73 | 23.82 | 31.14 | 9.01 | 10.23 | 22.80 | 18.58 | 17.27 | 37.30 | |
| (排油/烃率)/% | 19.85 | 37.31 | 32.41 | 76.84 | 94.77 | 99.53 | 6.06 | 19.17 | 66.90 | 83.72 | 95.54 | 99.35 | |
| 烃类气体/(mL/gTOC) | 0.27 | 1.03 | 11.49 | 36.74 | 94.03 | 116.46 | 0.29 | 1.04 | 4.52 | 14.13 | 24.90 | 36.85 | |
| 非烃气体/(mL/gTOC) | 16.42 | 33.05 | 73.15 | 117.14 | 127.87 | 144.76 | 24.48 | 29.52 | 33.45 | 32.93 | 35.41 | 30.52 | |
| 总气体/(mL/gTOC) | 16.69 | 34.08 | 84.64 | 153.88 | 221.90 | 261.23 | 24.77 | 30.56 | 37.98 | 47.06 | 60.31 | 67.38 | |
| 总烃类气/(mg/gTOC) | 0.26 | 1.01 | 13.11 | 34.81 | 77.02 | 87.42 | 0.24 | 0.97 | 5.00 | 13.04 | 19.39 | 30.57 | |
| 总烃/(mg/gTOC) | 4.38 | 5.36 | 92.50 | 53.54 | 100.84 | 118.55 | 9.25 | 11.20 | 27.79 | 31.62 | 36.65 | 67.87 | |
| 饱和烃/(mg/gTOC) | 0.12 | 0.17 | 4.48 | 0.63 | 1.24 | 1.73 | 0.09 | 0.22 | 1.58 | 0.71 | 1.28 | 2.46 | |
| 芳烃/(mg/gTOC) | 0.04 | 0.10 | 4.33 | 3.65 | 6.92 | 6.75 | 0.03 | 0.20 | 2.89 | 3.42 | 4.15 | 5.88 | |
| 非烃/(mg/gTOC) | 0.02 | 0.13 | 12.59 | 2.15 | 10.23 | 9.64 | 0.14 | 0.38 | 9.02 | 8.24 | 6.52 | 14.51 | |
| 沥青质/(mg/gTOC) | 0.63 | 1.22 | 4.33 | 7.96 | 4.18 | 12.87 | 0.28 | 1.16 | 1.75 | 3.20 | 4.55 | 14.20 | |
| C1/(mL/gTOC) | 0.22 | 0.81 | 7.10 | 28.28 | 83.23 | 111.75 | 0.26 | 0.80 | 2.89 | 11.10 | 23.13 | 32.43 | |
| C2+/(mL/gTOC) | 0.05 | 0.22 | 4.40 | 8.47 | 10.81 | 4.71 | 0.02 | 0.24 | 1.64 | 3.03 | 1.77 | 4.43 | |
| C2/(mL/gTOC) | 0.01 | 0.08 | 1.95 | 4.99 | 7.14 | 3.31 | 0.01 | 0.12 | 0.86 | 1.90 | 1.20 | 2.78 | |
| C3/(mL/gTOC) | 0.02 | 0.09 | 1.70 | 2.19 | 2.60 | 0.80 | 0.01 | 0.12 | 0.50 | 0.73 | 0.38 | 1.08 | |
| C4/(mL/gTOC) | 0.01 | 0.03 | 0.50 | 0.86 | 0.78 | 0.27 | 0.00 | 0.00 | 0.18 | 0.26 | 0.13 | 0.36 | |
| C5/(mL/gTOC) | 0.01 | 0.01 | 0.18 | 0.32 | 0.17 | 0.12 | 0.01 | 0.00 | 0.07 | 0.10 | 0.04 | 0.12 | |
| C6/(mL/gTOC) | 0.00 | 0.01 | 0.05 | 0.09 | 0.08 | 0.09 | 0.00 | 0.00 | 0.03 | 0.04 | 0.01 | 0.05 | |
| N2/(mL/gTOC) | 4.66 | 1.38 | 0.39 | 0.62 | 2.18 | 1.68 | 0.65 | 1.02 | 1.38 | 2.54 | 0.26 | 1.07 | |
| CO2/(mL/gTOC) | 11.68 | 31.65 | 72.74 | 116.48 | 125.12 | 143.07 | 23.82 | 28.49 | 32.07 | 30.38 | 35.15 | 29.46 | |
2.1.2 排出油族组分及产率演化特征
2.1.2.1 排出油族组分、正构烷烃及类异戊二烯烷烃特征
表4 排出油族组分及模拟气组分分布特征Table 4 Distribution characteristics of expelled oil group components and simulated gas components |
| 实验 编号 | 排出油族组分/% | 饱芳比 | 非烃气/% | 烃类气/% | 干燥 系数 | ||||||||||||
|---|---|---|---|---|---|---|---|---|---|---|---|---|---|---|---|---|---|
| Sa | Ar | Nh | As | Nh+As | N2 | CO2 | C1 | C2 | C3 | C4 | C5 | C6 | C2+ | ∑C1-C6 | |||
| 301 | 15.1 | 5.5 | 1.9 | 77.6 | 79.5 | 2.76 | 27.94 | 69.98 | 1.34 | 0.08 | 0.10 | 0.07 | 0.04 | 0.01 | 0.29 | 1.63 | 0.82 |
| 302 | 10.5 | 6.3 | 8.0 | 75.2 | 83.2 | 1.66 | 4.04 | 92.89 | 2.36 | 0.24 | 0.27 | 0.09 | 0.04 | 0.02 | 0.65 | 3.02 | 0.78 |
| 303 | 17.4 | 16.8 | 48.9 | 16.9 | 65.8 | 1.03 | 0.46 | 85.94 | 8.38 | 2.31 | 2.01 | 0.59 | 0.22 | 0.06 | 5.19 | 13.58 | 0.62 |
| 304 | 4.4 | 25.4 | 15.0 | 55.3 | 70.3 | 0.17 | 0.40 | 75.69 | 18.37 | 3.25 | 1.42 | 0.56 | 0.21 | 0.06 | 5.50 | 23.88 | 0.77 |
| 305 | 5.5 | 30.7 | 45.3 | 18.5 | 63.8 | 0.18 | 0.98 | 56.39 | 37.51 | 3.23 | 1.17 | 0.35 | 0.08 | 0.04 | 4.87 | 42.38 | 0.89 |
| 306 | 5.6 | 21.8 | 31.1 | 41.5 | 72.6 | 0.26 | 0.64 | 54.77 | 42.78 | 1.30 | 0.31 | 0.10 | 0.06 | 0.04 | 1.80 | 44.58 | 0.96 |
| 401 | 16.3 | 5.3 | 26.4 | 52.1 | 78.4 | 3.11 | 2.63 | 96.16 | 1.06 | 0.04 | 0.04 | 0.00 | 0.02 | 0.00 | 0.10 | 1.16 | 0.91 |
| 402 | 11.4 | 10.0 | 19.3 | 59.4 | 78.6 | 1.14 | 3.32 | 93.22 | 2.61 | 0.40 | 0.40 | 0.00 | 0.00 | 0.00 | 0.80 | 3.41 | 0.77 |
| 403 | 10.4 | 18.9 | 59.2 | 11.5 | 70.7 | 0.55 | 3.63 | 84.45 | 7.60 | 2.26 | 1.30 | 0.49 | 0.19 | 0.07 | 4.31 | 11.91 | 0.64 |
| 404 | 4.5 | 22.0 | 52.9 | 20.6 | 73.5 | 0.21 | 5.40 | 64.57 | 23.58 | 4.04 | 1.55 | 0.55 | 0.22 | 0.08 | 6.43 | 30.02 | 0.79 |
| 405 | 7.7 | 25.2 | 39.5 | 27.6 | 67.1 | 0.31 | 0.43 | 58.28 | 38.35 | 2.00 | 0.63 | 0.21 | 0.07 | 0.02 | 2.93 | 41.29 | 0.93 |
| 406 | 6.6 | 15.9 | 39.2 | 38.3 | 77.5 | 0.42 | 1.58 | 43.72 | 48.13 | 4.17 | 1.60 | 0.53 | 0.20 | 0.08 | 6.57 | 54.70 | 0.88 |

甘公网安备 62010202000678号