天然气勘探

页岩油储层DT 2核磁共振解释方法

  • 王志战 , 1, 2
展开
  • 1. 页岩油气富集机理与有效开发国家重点实验室,北京 100101
  • 2. 中国石化石油工程技术研究院测录井研究所,北京 100101

王志战(1969-),男,山东栖霞人,教授级高级工程师,博士,主要从事录井技术研究. E-mail: .

收稿日期: 2019-12-10

  修回日期: 2020-03-13

  网络出版日期: 2020-07-29

Discuss on D-T 2 NMR interpretation of oil shale

  • Zhi-zhan WANG , 1, 2
Expand
  • 1. State Key Laboratory of Shale Oil and Gas Enrichment Mechanisms and Effective Development, Beijing 100101, China
  • 2. Sinopec Research Institute of Petroleum Engineering, Beijing 100101, China

Received date: 2019-12-10

  Revised date: 2020-03-13

  Online published: 2020-07-29

Supported by

The China State Key Laboratory of Shale Oil and Gas Enrichment Mechanisms Effective Development(P17014-9)

The National Natural Science Foundation of China(21427812)

The Sinopec Research Project of Science and Technology Ministry(P14095)

The Sinopec Research Project of Oilfield Exploration and Development Ministry(YTXD-PT1203D)

The Sinopec Research Project of Petroleum Engineering Technology Service Co., Ltd(SG16-46X)

本文亮点

DT 2二维核磁共振能够快速、直观地区分不同性质、不同赋存状态的孔隙流体,已成为储层评价的热门技术,但对于页岩油储层,常规储层的DT 2孔隙流体解释图版并不适用,考虑受限扩散、内部梯度等影响因素的修正图版也难以满足页岩油储层油、水识别的要求。为此,采用理论分析与实验分析相结合的方法,对DT 2孔喉尺度分辨率、流体含量分辨率、孔隙流体解释图版3个关键要素进行了深入研究。结果表明,DT 2孔喉尺度分辨率、流体含量分辨率均低于T 2一维核磁共振,难以检测到T 2短于2 ms、含量低于0.2%的流体信号;DT 2信号位置与流体含量有关,且随着流体含量的递增,具有随机游走特性。2口页岩油井的应用表明,基于流体含量信号响应轨迹的DT 2流体解释图版能够实现页岩油储层的准确解释。

本文引用格式

王志战 . 页岩油储层DT 2核磁共振解释方法[J]. 天然气地球科学, 2020 , 31(8) : 1178 -1184 . DOI: 10.11764/j.issn.1672-1926.2020.03.009

Highlights

D-T 2 two-dimensional nuclear magnetic resonance (NMR) could quickly and visually distinguish different type, different occurrence state of pore fluid, and become the hot technology for reservoir evaluation, but for oil shale, D-T 2 pore fluid interpretation chart of conventional reservoir is not suitable. The correction chart, considering restricted diffusion, internal gradient, etc., is also difficult to meet the requirements of oil and water recognition in oil shale. Therefore, three key scientific problems of D-T 2 pore throat scale resolution, fluid content resolution and pore fluid interpretation chart are studied by combining theoretical analysis and experimental analysis. The results show that the pore throat scale resolution and fluid content resolution of D-T 2 NMR was lower than that of T 2 NMR, and it was difficult to detect the fluid signal with T 2 shorter than 0.2ms and content less than 0.2%.The location of D-T 2 signal is related to fluid content and has a random walk property as fluid content increases. The applications of two shale oil wells show that the D-T 2 fluid interpretation chart based on the signal response trajectory can achieve accurate interpretation of oil shale.

0 引言

孔隙流体识别是油气水层解释评价的基础。低场核磁共振技术具有岩样无损、分析快速、一块样品给出多个参数等特点,不仅能够给出总孔隙度、有效孔隙度、渗透率等物性参数,还能够识别不同性质(油、气、水)、不同赋存状态的孔隙流体,给出束缚水饱和度、可动水饱和度、含油饱和度等孔隙流体参数[1-3],目前已成为从实验室[4-5]到现场[6]、从地面到井下[7-8]储层及流体识别与评价的重要手段。常用的核磁共振储层评价技术是基于T 2一维谱的,T 2横向弛豫时间与孔喉半径之间呈正相关关系;不同性质的孔隙流体信号叠加在一起,为了识别与评价不同性质的孔隙流体,在地面测量时需要将样品放在一定浓度的弛豫试剂中浸泡一定时间,通过顺磁离子在孔隙流体中的充分扩散将水的信号彻底抑制掉,从而得到含油信号[9]。这种方法对常规储层是有效的,但对于纳米级孔隙、超低孔超低渗的非常规储层,顺磁离子难以甚至无法扩散到细小孔隙中,从而无法识别油、水信号。在不受限状态及常温常压条件下,气、水的扩散系数均为常数,油的扩散系数随黏度降低而呈线性增大[10-12],因此DT 2二维核磁共振技术无需采用弛豫试剂浸泡便能直接、直观区分不同性质、不同赋存状态的流体,成为国内外储层评价的技术热点,但对于扩散受限的非常规储层,流体信号常常分布在气、水或水、油两线之间甚至跨越油、水2个区域,DT 2常规解释图版难以做出准确解释,国外学者给出的校正图版也难以解释。除了在非常规油气领域的适用性外,DT 2二维核磁共振解释模型还存在流体含量检测下限、孔喉尺度检测下限及检测精度等诸多科学问题亟待解决。
流体自身的物理特性决定了其扩散系数,并受温度、压力等条件的影响。HÜRLIMANN等[13]在实验室用散射场对饱和原油和盐水混合物的碳酸盐岩进行测量,得到DT 2谱的油线方程为D O = 5T 2×10-10 m2/s,并在室温条件下,对4种不同的原油进行测量,发现油信号分布在标准油线附近,但有的会有所偏移,这种偏移并不是由内部梯度、受限扩散、润湿性等因素引起的,而是由成分及性质的差异引起的。EMMANUEL等[14]在真空场条件下给出DT 2的理想化模型,水线方程为D W=3T 2×10-9 m2/s。顾兆斌等[15]在温度28 ℃、磁场梯度20×10-4 T/cm条件下,得到烷烃的方程为D O = 1.045T 2×10-9 m2/s,用饱和水填砂模型测得水信号位置为(367 ms, 2.28×10-9 m2/s),用饱和水和正十六烷烃的填砂模型测得的水信号、油信号的位置分别为(143 ms,2.89×10-9 m2/s)、(464 ms,5.54×10-10 m2/s)。可见,标准DT 2解释图版是基于常规储层及不受限流体建立的。LUKASZ等[16]对饱和水碳酸盐岩岩心的受限扩散效应进行了研究,标准水线在DT 2谱上向短弛豫、低扩散系数的方向偏离,代表孔隙尺度的横向弛豫时间越短,受限扩散越严重;表面弛豫率(ρ)主要影响长弛豫的扩散,表面弛豫率越低,扩散系数越低,表明扩散受限越严重。CAO等[17]对非常规储层的受限扩散模型进行了校正,胶结指数(m)影响短弛豫的扩散,胶结指数越大,扩散系数越低;油质越轻,向上偏离标准油线的程度越重,扩散系数越大(图1)。
图1 非受限扩散与受限扩散的DT 2解释图版(据文献[16-17]修改)

Fig.1 D-T 2 interpretation of unrestricted diffusion and restricted diffusion (modified according to Refs.[16-17])

1 DT 2核磁共振解释模型的建立

样品测量前,其表面弛豫率、胶结指数、原油黏度及内部梯度等因素常常是未知的,且无论是不受限扩散的DT 2解释图版还是受限扩散的DT 2解释流体图版都难以解释非常规储层的DT 2谱。从应用层面来看,DT 2谱解释存在3个核心问题:孔喉尺度探测分辨率、流体检测下限、受限扩散条件下的孔隙流体分辨率。为了解决这些问题,采用苏州纽迈电子科技有限公司生产的MR-MD-125型多维核磁共振仪器进行实验,仪器的磁场强度为0.3±0.05 T,磁场均匀度为35×10-6,脉冲频率为2~30 MHz,梯度功放强度峰值为30×10-4 T/cm,DT 2脉冲序列为PGSE-CPMG。采集参数:90°脉宽(P 1)为6 μs, 180°脉宽(P 2)为10.8 μs,等待时间(T W)为1 000 ms,90°脉冲结束到第一个脉冲梯度起始时刻的时间间隔(D L1)为1 ms,第一个脉冲梯度结束到180°脉冲开始的时间间隔(D L2)为1 ms,90°脉冲与相邻180°脉冲之间的时间间隔(D L3)为0.1 ms,回波个数(N ECH)为13 000,梯度数量(G CS)为9。

1.1  D—T 2孔喉尺度分辨率

横向弛豫时间反映了孔喉尺度。对于T 2一维核磁共振,孔喉半径与T 2呈正相关关系,可探测到3 nm以上(T 2谱从0.02 ms出现峰值,表面弛豫率取50 nm/ms)页岩孔隙中的流体信号[18];但对于DT 2二维核磁共振的孔喉尺度分辨率尚未见到明确报道。
孔隙流体的横向弛豫时间(T 2)包括自由弛豫(T 2B)、表面弛豫(T 2S)和扩散弛豫(T 2D)3部分:
1 T 2 = 1 T 2 B + 1 T 2 S + 1 T 2 D
其中:
1 T 2 D = D ( γ G T E ) 2 12
式中: T 2 D为扩散弛豫时间,s; D为流体的扩散系数,m2/s; γ为氢核的旋磁比,(T·s)-1G为磁场梯度,T/m; T E为回波间隔,s。
对于不受限的自由流体,不存在表面弛豫。对于水和轻质油,自由弛豫的时间很长,1/ T 2 B也可以忽略。因此,梯度场条件下自由流体的横向弛豫时间主要为扩散弛豫。
1 T 2 = D ( γ G T E ) 2 12
氢核的旋磁比是常数,为2.675 1×108/(T·s)[19];对于特定的流体,其扩散系数也是常数。所以,在给定的磁场梯度下,横向弛豫时间由回波间隔决定,回波间隔越大,横向弛豫时间越短(图1)。如水的扩散系数为3×10-9 m2/s,在磁场梯度为0.3 T/s条件下,有:
T 2 = 6.210    66 × 10 - 7 T E 2
在回波间隔T E=0.6×10-3 s时,T 2=1.725 2 s;在T E=0.1×10-3 s时,T 2=62.106 6 s。HÜRLIMANN等[13]对原油的SARA共4种组分进行了不同条件下的DT 2测试,信号质心(信号峰的顶点坐标)的最短T 2为40 ms。
对扩散受限的多孔介质,在梯度场条件下,其横向弛豫主要由表面弛豫和扩散弛豫两部分组成:
T 2 = 1 ρ S V + D γ G T E 2 12
式中: ρ为样品的表面弛豫率; S / V为样品的孔隙面积与孔隙体积的比值。在等待时间足够长时,自旋回波的幅度可表示为[20]
M t = T 2 m i n T 2 m a x D m i n D m a x g D , T 2 e - γ 2 G 2 δ 2 D Δ - δ 3 e - n T E T 2 d D d T 2 + ε t
式中: Δ为2个梯度脉冲的间隔时间 δ为梯度脉冲的长度(持续时间) n为回波个数 ε t为噪声。
式(6)可以看出,DT 2二维谱的信号分布除了受回波间隔的影响外,还受梯度脉冲设置的影响。通过测量参数的配置,可以改变DT 2谱的分布位置,谱图位置趋向短T 2,扩散系数范围变宽,谱图形态呈不完整的细条状,流体的分辨能力变差;谱图位置趋向长T 2,谱图形态呈比较完整的圆形(图2)。综合页岩测试及前人[17]研究成果,页岩不完整DT 2信号的最短T 2在0.2 ms,完整的DT 2信号最短T 2在2 ms。根据SONDERGELD等 [18]、王志战等[21]的研究,完整的DT 2信号难以测到有机孔中的流体。
图2 不同信号完整度的页岩DT 2二维谱

Fig.2 D-T 2 spectra of shale with different signal integrity

1.2  DT 2流体含量检测下限

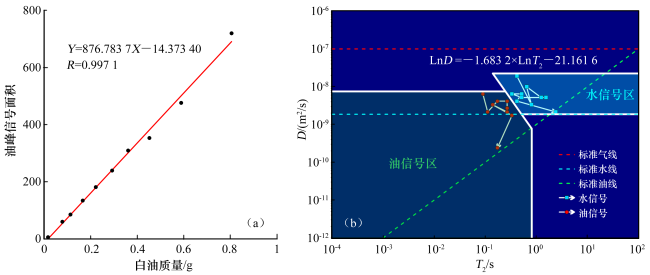
T 2谱的流体检测下限可以达到20×10-6[22]。为了确定DT 2谱的流体检测下限,以白油作为检测对象,用玻璃瓶、四氟瓶进行了300余次实验。随着白油质量的不断增加,其DT 2谱的信号经历了以下过程:①白油质量低于0.002 6 g,没有信号[图3(a)];②白油质量在0.002 6~0.013 5 g之间,也没有油信号,但在T 2=0.001~0.01 s 之间出现噪声,噪声信号随着白油质量的增加由弱到强[图3(b)];③白油质量在0.016 8~0.046 8 g之间,在(T 2D)谱的(0.1,10-9)~(1,10-8)之间出现油信号,但重现性差[图3(c)];④白油质量在0.060 3 g以上,油信号稳定出现,噪声信号由强转弱[图3(d)]。以适合于磁场均匀区的样品瓶体积为6 mL来计算,可以检测到含量在0.28%~0.78%之间的流体,但不稳定;而含量在1.00%以上的流体,检测结果较为可靠。
图3 DT 2信号随流体质量增加的变化

白油质量:(a) 0.002 6 g; (b) 0.020 7 g; (c) 0.038 5 g; (d) 0.060 3 g

Fig.3 The change of D-T 2 signal with increasing fluid mass

白油质量与DT 2油峰信号的面积之间呈现非常好的相关性[图4(a)],相关系数达到0.997 1。白油的用量越少,DT 2信号越不稳定;甚至出现用量小有信号、用量大一点反而没有信号的情况。通常检测下限的确定应是最小检出限的3倍以上,基于这个原则,最终确定DT 2的检测下限为0.06 g的质量、1.00%的含量。
图4 DT 2信号面积、质心与流体质量之间的关系

Fig.4 The relationship among D-T 2 signal area, center of mass and fluid mass

1.3  DT 2流体解释图版

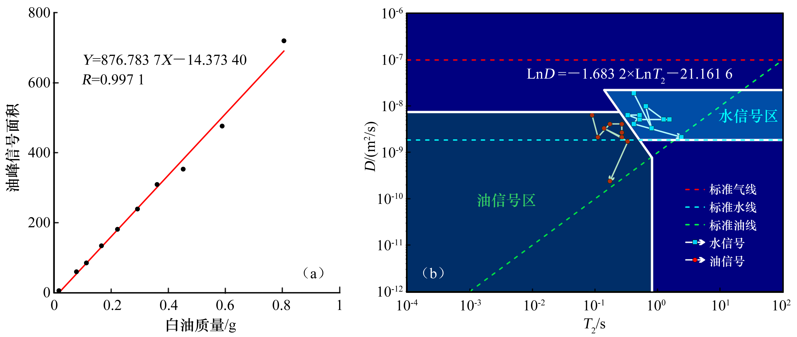
页岩完整的流体信号[图2(b)]并没有分布在标准的油线或水线上,而是分布在水线与气线之间。在图3(c)、图3(d)中,油的信号也并没有分布在油线上,而是在水线上方或水线上。这2种情况根据图1都无法实现准确解释,由此认为DT 2的解释图版与流体的含量有关,在已有的文献中并没有考虑这点。分别采用不同质量的白油和纯净水,持续开展DT 2谱信号变化规律研究,并记录不同质量油、水(T 2, D)信号的质心。可以看出,信号面积与流体质量之间具有很高的线性度,相关系数达到0.99以上[图4(a)];但信号质心的运移路径却是随机游走[23]的[图4(b)],随着质量的持续增加,油、水信号最终分别落在标准的油线和水线上。油信号与水信号之间有一条明显的垂直于标准油线的分界线,其拟合方程为:
L n ( D ) = - 1.683    2 × L n ( T 2 ) - 21.161    6
依据式(7)图2、标准的DT 2流体解释图版和不同油质的分布特征[13],给出基于流体含量的DT 2解释图版[图4(b)],式(7)分界线的左下方圈定的区域为油区,式(7)分界线右上方圈定的区域为水区。

2 DT 2核磁共振解释模型的应用

Ya井是济阳坳陷沾化凹陷渤南洼陷的一口评价井,主探沙四段兼探东营组。该井于井深3 666~3 680 m见有明显的气测异常,岩屑录井见有油斑、荧光显示。由于没有进行钻井取心,取岩屑进行T 2DT 2核磁共振分析。从3 664~3 666 m、3 668~3 670 m岩屑的T 2谱可以看出(图5),呈明显的双峰结构,左峰比较发育,总孔隙度分别达到12.38%、9.97%。DT 2二维谱上,流体信号分布在T 2>10 ms的区域,即检测到的是T 2谱上右峰孔隙中的流体信号,信号质心介于10~100 ms之间,位于图4(b)中的油信号区,为油层。井段3 635.77~3 680 m进行中途测试,日产油41.5 t,日产气8 754 m3,日产水6.4 m3(地面水)。原油密度为0.875 4 g/cm3,黏度为12.7 mPa·s;天然气密度为0.840 8 g/cm3,结论为油层。
图5 Ya井核磁共振解释成果

Fig.5 NMR interpretation result of Well Ya

Yb井是位于济阳坳陷沾化凹陷渤南洼陷的另一口评价井,目的层是沙四段。该井于井深3 468~3 474 m处见有明显的气测异常,岩屑录井见油斑显示,取岩屑进行T 2DT 2核磁共振分析(图6),T 2谱展示出有机孔发育特征,总孔隙度为4.15%~10.98%;DT 2谱的信号在T 2>2 ms的区域,测得的也是T 2谱右峰中的流体信号,位于图4(b)中的油信号分布区,为油层特征。井段3 440.42~3 504.47 m进行中途测试,日产油154 t,日产气13 400 m3,日产水3.22 m3。原油密度为0.882 5 g/cm3,黏度为12.4 mPa·s;天然气密度为0.681 6 g/cm3,结论为油层。
图6 Yb井核磁共振解释成果

Fig.6 NMR interpretation result of Well Yb

3 结论

(1)DT 2的孔喉尺度分辨率受仪器条件和样品条件的双重影响。在本文的实验条件下,仅能完整检测到多孔介质中T 2长于2 ms的孔隙流体信号;通过调整分析参数,能够将孔喉尺度分辨率提高到0.2 ms,但扩散弛豫时间变宽,信号变的不完整,流体性质难以判别。
(2)DT 2二维核磁共振的流体含量检测下限值高于T 2一维核磁共振,难以检测到含量在0.2%以下的流体信号,对含量在1%以上的流体检测结果比较可靠。
(3)DT 2二维核磁共振的信号位置与流体含量有关。对于孔隙流体含量较低的非常规储层,目前的标准图版(不受限扩散)及校正图版(受限扩散)均难以实现准确解释,本文所建立的基于流体含量响应轨迹的DT 2解释图版能够实现页岩油、致密油储层孔隙流体性质的准确解释。
1
王志战,许小琼,周宝洁.孔隙流体核磁共振弛豫特征及油水层识别方法[J]. 油气地质与采收率2011,18(2):41-44.

WANG Z Z, XU X Q, ZHOU B J. Relaxation features of pore fluid and water/oil bed recognition with NMR technolog[J]. Petroleum Geology and Recovery Efficiency, 2011,18(2):41-44.

2
WANG Z Z YARDENIA M, KURT S, et al. Applications of NMR Mud Logging Technology in China[C]. Austin, Texas, USA: SPWLA 48th Annual Logging Symposium, 3-6 June, 2007.

3
MIROTCHNIK K, KRYUCHKOV S, STRACK K. A Novel Method to Determine NMR Petrophysical Parameters from Drill Cuttings[C]. Noordwijk, Netherlands: SPWLA 45th Annual Logging Symposium, 6-9 June, 2004.

4
房涛,张立宽,刘乃贵,等. 核磁共振技术定量表征致密砂岩气储层孔隙结构——以临清坳陷东部石炭系—二叠系致密砂岩储层为例[J]. 石油学报2017,38(8):902-915.

FANG T, ZHANG L K, LIU N G, et al. Quantitative characterization of pore structure of tight gas sandstone reservoirs by NMR T 2 spectrum technology: A case study of Carboniferous-Permian tight sandstone reservoir in Linqing Depression[J]. Acta Petrolei Sinica, 2017,38(8):902-915.

5
白松涛,程道解,万金彬,等. 砂岩岩石核磁共振T 2谱定量表征[J]. 石油学报2016,37(3):382-391.

BAI S T, CHENG D J, WAN J B, et al. Quantitative characterization of sandstone NMR T 2 spectrum[J]. Acta Petrolei Sinica, 2016,37(3):382-391.

6
王志战,李新,李三国. 高分辨率核磁共振录井技术进展及前景展望[J]. 录井工程2017,28(2):1-3.

WANG Z Z, LI X, LI S G. Progress and prospect of high resolution NMR logging technique[J]. Mud Logging Engineering, 2017,28(2):1-3.

7
UMAR I, GABOR H, SAMI E, et al. Application of 2D NMR for Formation Testing and Sampling in Heavy Oil Formations[C]. SPE 183943. Manama, Kingdom of Bahrain: SPE Middle East Oil & Gas Show and Conference, 6-9 March, 2017.

8
张宇晓.核磁共振测井在低孔低渗油气层识别中的应用[J]. 新疆地质2004,22(3):315-318.

ZHANG Y X. The application of magnetic resonance image log (MRIL) in low porosity and permeability reservoir[J]. Xinjiang Geology, 2004,22(3):315-318.

9
王志战,翟慎德,周立发,等. 核磁共振录井技术在岩石物性分析方面的应用研究[J]. 石油实验地质2005,27(6):619-623.

WANG Z Z, ZHAI S D, ZHOU L F, et al. Application of nuclear magnetic resonance logging technology in physical property analysis of rock[J].Petroleum Geology & Experiment, 2005,27(6):619-623.

10
EMMANUEL T, SUN B Q, ADIL M, et al. Revisiting Log-inject-log NMR for Remaining Oil Determination: A Field Application of T 2-D NMR in the Permian Basin[C]. Colorado Springs, Colorado, USA: SPWLA 52nd Annual Logging Symposium, 14-18 May, 2011.

11
胡法龙,周灿灿,李潮流,等. 基于弛豫—扩散的二维核磁共振流体识别方法[J]. 石油勘探与开发2012,39(5):552-559.

HU F L, ZHOU C C, LI C L, et al. Fluid identification method based on 2D diffusion-relaxation nuclear magnetic resonance (NMR) [J]. Petroleum Exploration and Development, 2012,39(5):552-559.

12
谢然红,肖立志. (T 2, D)二维核磁共振测井识别储层流体的方法[J]. 地球物理学报2009,52(9):2410-2418.

XIE R H, XIAO L Z. The (T 2, D) NMR logging method for fluids characterization[J].Chinese Journal of Geophysics,2009, 52(9):2410-2418.

13
HÜRLIMANN M D, FREED D E, ZIELINSKI L J, et al. Hydrocarbon composition from NMR diffusion and relaxation data[J]. Petrophysics, 2009, 50(2):116-129.

14
EMMANUEL T, SUN B Q, MANZOOR A, et al. Revisiting Log-inject-log NMR for Remaining Oil Determination: A Field Application of T 2-D NMR in the Permian Basin[C]. Colorado Springs, Colorado, USA:SPWLA 52nd Annual Logging Symposium, 14-18 May, 2011.

15
顾兆斌,刘卫,孙佃庆,等. 基于核磁共振二维谱技术识别储层流体类型[J]. 西南石油大学学报:自然科学版2010,32(5):83-86.

GU Z B, LIU W, SUN D Q, et al. Identify reservoir fluid types with two dimensional NMR techniques[J]. Journal of Southwest Petroleum University: Science & Technology Edition, 2010,32(5):83-86.

16
LUKASZ Z, RAGHU R, CHANH C M, et al. Restricted Diffusion Effects in Saturation Estimates from 2D Diffusion-Relaxation NMR Maps[C]. SPE 134841. Florence, Italy: SPE Annual Technical Conference and Exhibition, 19-22 September, 2010.

17
CAO M C, CRARY S, ZIELINSKI L, et al. 2D-NMR Applications in Unconventional Reservoirs[C]. SPE 161578. Calgary, Alberta, Canada: SPE Canadian Unconventional Resources Conference, 30 October-1 November, 2012.

18
SONDERGELD C H, NEWSHAM E K, COMISKY J T, et al. Petrophysical Considerations in Evaluating and Producing Shale Gas[C]. SPE 131768. Pittsburgh, Pennsylvania, USA: SPE Unconventional Gas Conference, 23-25 February, 2010.

19
黄笃之,贺峰. 核磁共振及其应用[J].现代物理知识1995, 7(1):31-32.

HUANG D Z, HE F. NMR and its application[J]. Modern Physics, 1995, 7(1):31-32.

20
ANDRE S, GIOVANNA C, LUKASZ Z, et al. Permeability Rediction Improvement Using 2D NMR Diffusion-T2 Maps[C]. SPWLA 54th Annual Logging Symposium, 2013.

21
王志战,李新,魏阳旭,等. 页岩油气层核磁共振评价技术综述[J]. 波谱学杂志2015, 32(4): 688-698.

WANG Z Z, LI X, WEI Y X, et al. NMR technologies for evaluating oil & gas shale: A review[J]. Chinese Journal of Magnetic Resonance, 2015, 32(4): 688-698.

22
王志战,秦黎明,杜焕福,等. 钻井液粉末状荧光添加剂的核磁共振特性[J]. 波谱学杂志2014, 31(3): 341-348.

WANG Z Z, QIN L M, DU H F, et al. Effects of powdered fluorescent additives on NMR characteristics of drilling fluids[J]. Chinese Journal of Magnetic Resonance, 2014, 31(3):341-348.

23
EMMANUEL T, CARLOS T V, SUN B Q, et al. Limits of 2D NMR interpretation techniques to quantify pore size, wettability, and fluid type: A numerical sensitivity study[J]. SPE Journal, 2006, 11(3): 354-363.

文章导航

/