天然气地质学

上扬子区龙马溪组页岩中黄铁矿成因

  • 韩盛博 , 1, 2 ,
  • 李伍 , 2
展开
  • 1. 中国矿业大学资源与地球科学学院,江苏 徐州 221116
  • 2. 煤层气资源与成藏过程教育部重点实验室,江苏 徐州 221008
李伍(1987⁃),男,安徽寿县人,副教授,博士,主要从事煤及油气地质研究. E-mail:.

韩盛博(1994⁃),男,黑龙江哈尔滨人,硕士研究生,主要从事油气地质研究. E-mail:.

收稿日期: 2019-01-14

  修回日期: 2019-03-07

  网络出版日期: 2019-12-03

基金资助

国家科技重大专项“五峰组—龙马溪组页岩气高产区形成条件及模式”(2017ZX05035001-002)

Study on the genesis of pyrite in the Longmaxi Formation shale in the Upper Yangtze area

  • Sheng-bo Han , 1, 2 ,
  • Wu Li , 2
Expand
  • 1. School of Resources and Earth Science,China University of Mine and Technology,Xuzhou 221116,China
  • 2. Key Laboratory of Coalbed Methane Resources and Reservoir Formation Process,the Ministry of Education,China University of Mine and Technology,Xuzhou 221008,China

Received date: 2019-01-14

  Revised date: 2019-03-07

  Online published: 2019-12-03

本文亮点

黄铁矿作为页岩的特征矿物,其结构特征具有重要意义,构成草莓状黄铁矿集合体的微晶在生长过程中受限于周围环境,可将其作为评判沉积环境水体环境的指标。因此,草莓状黄铁矿结构对还原古海洋沉积水体相有着重要意义。以扬子地区龙马溪组页岩中黄铁矿样品为基础,基于氩离子抛光—扫描电镜成像技术,对图像中草莓状黄铁矿集合体粒径,微晶粒径进行测量。结合龙马溪组页岩中有机质含量、硫含量数据,对黄铁矿成因和形成环境方面指示意义进行综合分析,得出以下结论:①研究区草莓状黄铁矿平均粒径、最大粒径(MFD)和集合体平均粒径与微晶平均粒径比值三者均偏小,分析沉积环境为闭塞硫化还原环境,草莓状黄铁矿微晶粒径对沉积环境的氧化还原状态具有指征意义。②草莓状黄铁矿形成于同生—准同生阶段;简单成因自行晶状黄铁矿形成于同沉积时期,复杂成因黄铁矿形成于成岩时期。③龙马溪组页岩中孔隙类型发育,黄铁矿周围伴有大量晶间有机质孔和铸模孔,黄铁矿有助于改善储层孔隙。深水陆棚相页岩中黄铁矿与有机质关系密切,对页岩气成藏开发有积极影响。

本文引用格式

韩盛博 , 李伍 . 上扬子区龙马溪组页岩中黄铁矿成因[J]. 天然气地球科学, 2019 , 30(11) : 1608 -1618 . DOI: 10.11764/j.issn.1672-1926.2019.03.002

Highlights

As a characteristic mineral of shale, pyrite is of great significance. The microcrystalline of strawberry pyrite aggregates is limited to the surrounding environment during the growth process, so it can be used as an indicator to evaluate the sedimentary environment. Therefore, strawberry pyrite is important to restitute palaeo-marine sedimentary water facies. Based on argon ion polishing- scanning electron microscopy imaging of pyrite samples in the shale of Longmaxi Formation in the Upper Yangtze region, the particle size and micrograin size of the strawberry pyrite in the image are measured. Combined with the organic matter content and sulfur content in the Longmaxi Formation shale, a comprehensive analysis of the genesis and formation environment of pyrite is carried out, and the following conclusions are drawn: (1) The average particle size, maximum particle size (MFD) of the strawberry-like pyrite and the ratio of the average particle size of the aggregate to the average particle size of the microcrystals were both small in the study area, and the sedimentary environment is occluded and reduced. The crystallite size of the strawberry pyrite has an indication of the redox state of the sedimentary environment significance. (2) Strawberry-like pyrite is formed in the syngenetic-quasi-probiotic stage; the simple cause of self-crystallized pyrite is formed in the same sedimentary period, and the complex origin pyrite is formed in the diagenetic period. (3) The pore type in the Longmaxi Formation shale is developed. There are a large number of intercrystalline organic pores and mold pores around the pyrite. The pyrite content helps to improve the reservoir pores. Pyrite in deep-water continental shelf shale is closely related to organic matter and has a positive impact on shale gas accumulation and development.

0 引言

近年来,美国页岩气勘探取得了巨大成功,引起了全世界广泛关注。经过国内外学者研究发现,页岩气成藏、运移和储集机理,储层的孔隙结构和沉积环境都对页岩气勘探开采有着重要意义[1,2,3]。黄铁矿是富有机质沉积的特征矿物,普遍发育于页岩储层中。随着国内外学者对页岩储层不断深入研究,黄铁矿对储层控制作用逐渐被大家所认知[4,5,6]。我国页岩储层中黄铁矿广泛分布,如能明确黄铁矿对页岩储层以及页岩气开发等方面的制约关系,将会对我国页岩气开发起着积极作用。
在页岩中黄铁矿研究领域上,Wilkin等[7]先提出了利用草莓状黄铁矿晶体粒径,可以区分地质沉积时期周围水体的氧化还原条件,这一发现对评判页岩储层沉积环境有着重要意义。常华进等[8]和Zhou等[9]对草莓状黄铁矿恢复古沉积相方面做了进一步研究,并将沉积环境细化为氧化、次氧化和硫化3个级别。随着研究的深入,储层中黄铁矿对油气指征意义逐渐被国内外学者所重视,崔景伟等[4]提出了黄铁矿在油气储集、生烃排烃方面有着积极影响。聂海宽等[5]通过研究页岩气聚集条件的控制因素,得出黄铁矿对页岩气的储集有重要作用。曹涛涛等[6]通过研究扬子区不同层位黄铁矿,结合前人研究成果得出黄铁矿有助于有机质生烃和页岩气发育。虽然前人在黄铁矿研究上做了大量工作,但通过黄铁矿分析上扬子区龙马溪组沉积环境方面仍有空缺。在黄铁矿对页岩气储能指示意义方面,虽有多位学者明确了两者的影响关系,但没有大量理论数据支撑,尚未得出广泛性质。本文通过研究上扬子区龙马溪组页岩中黄铁矿晶体粒径,分析黄铁矿成因,还原龙马溪组页岩沉积环境和地质格局单元,并探讨黄铁矿在改善页岩储层性能方面的指示意义。

1 地质背景

扬子地台发育于我国南方长江流域,是我国最古老地台之一,全区依据长江上、中、下流域,划分为上扬子区、中扬子区和下扬子区。上扬子区分别以东部龙门山断裂、西部雪峰山、南部秦岭断裂以及北部城口—襄广—郯庐断裂为界[10],全区广泛发育海相泥页岩。本文实验区位于四川盆地南部,处于川南低陡褶皱带内,该区构造形式以褶皱构造为主。褶皱带总体上呈三角形构造格局分布,每组褶皱以永川北侧为中心点,向南展布。其中,西北方向边界为华蓥山断裂,东北方向边界为南川遵义断裂,西南方向边界为古蔺断裂,东南方向边界为岳山断裂[11,12,13]图1)。
图1 研究区构造纲要(据文献[11,12,13]修改)

Fig.1 Tectonic outline map of the study area (as modified in Refs. [11-13])

研究区总体位于上扬子地台偏西北部,是上扬子准地台的次一级构造单元。该区龙马溪组分布广泛、出露好,龙马溪组整体厚度为229.2~672.5m,岩性大致分为2段:上段以灰色—深灰色、灰黑色泥岩为主,夹少许薄层粉砂岩、页岩、灰岩;下段以深灰色—灰黑色页岩和灰黑色—黑色炭质页岩为主,发育黄铁矿晶粒,富含笔石化石,特征较明显。与上覆下志留统牛石栏组和下伏上奥陶统五峰组整合接触(图2)。
图2 研究区部分地层柱状图(据文献[16]修改)

Fig.2 Intercepting the stratigraphic histogram of some study areas (as modified in Ref.[16])

龙马溪组页岩中,TOC>1%的烃源岩厚度约为20~105m,其中部分地区TOC>3%的烃源岩厚度可达13m,研究区TOC最高值为6.5%[14]。此外,龙马溪组页岩有机质类型主要为Ⅰ型腐泥型有机质,镜质组反射率R O值约为3.2%,已到达过成熟阶段[14]。综合对比其他高产气量泥页岩储层相关数据,如Barnett泥页岩,上扬子区龙马溪组页岩有机质含量、有机质类型、有机质丰度数据相似,说明研究区储层有利于页岩气储集发育,具有较高开采价值[15]

2 样品采集和实验方法

2.1 样品采集和处理

本文实验样品分别采自宜宾、兴文、南川和昭通。4个样品采集点龙马溪组页岩出露较好且黄铁矿较发育,将采集得来的样品按采集地进行编号。并收集上扬子区JY41-5井,等深度下总有机碳(TOC)、硫含量(S)的数据。
样品处理方法:由于样品表面较为粗糙,先用氩离子抛光技术对样品进行预处理,去除掉样品表面凹凸不平的部分以及附着物;然后,通过高分辨率扫描电镜观察处理后的图像,找到黄铁矿晶体以及观察页岩中孔隙特征;最后,利用Image J图像处理技术,测量黄铁矿粒径大小。

2.2 实验方法

扫描电子显微镜(Scanning Electron Microscope,简称SEM)以其图像景深大、分辨率高、观察样品大、局限性小、样品容易制备、电子束对样品污染和破坏程度小等特点,被广泛应用在各个科研领域[17]。本文通过将采集于四川宜宾、四川珙县、云南昭通、重庆南川的黄铁矿样本制成实验样品,通过扫描电镜成图,分析其微观颗粒结构特征,为探究研究区黄铁矿成因提供依据。
Image J软件是用Java语言开发的能在多种平台运行的,针对图像进行分析处理的一款软件。该软件包含了多种图像处理和分析的功能,在图像处理方面可对图像进行锐化、柔和、描边、高斯模糊、二值化及图像分割等功能;在分析图像方面可提取目标物体周长、直径、中值、峰度及标准偏差等。由于其快捷、简单的操作方法,Image J被应用在多种科研领域[18,19,20]。利用Image J测量黄铁矿集合体粒径具体操作如图3所示。
图3 Image J测量粒径流程

Fig.3 Particle size measurement with Image J

3 实验结果

3.1 黄铁矿粒径特征

3.1.1 草莓状黄铁矿粒径特征

在观察氩离子抛光扫描电镜图片时,草莓状黄铁矿因其形态特殊,极易辨认。主要表现为大量粒状微晶体聚集成的球形集合体形态,其中少部分草莓状黄铁矿微晶发生二次生长,微晶粒由球形向自行状不规则体形态转变。还有极少部分草莓状黄铁矿出现重结晶现象,失去草莓状结构,变成立方体、正八面体或五角十二面体等自行状黄铁矿。但绝大部分草莓状黄铁矿结构仍保存完好,未发生再生长或重结晶现象,具有观察和测量价值。通过观察测量制成如下图表(表1图4)。
表1 上扬子区志留系龙马溪组页岩中草莓状黄铁矿集合体粒径统计

Table 1 Particle size statistics of strawberry-like pyrite aggregates in the Longmaxi Formation shale of the Silurian in the Upper Yangtze area

样品采集地 样品编号 统计数量/个 平均粒径/μm 中值粒径/μm 最大粒径/μm 标准偏差
川南宜宾 CNYB 24 3.51 3.30 7.25 1.62
四川珙县 SCGX 7 5.25 5.11 6.67 1.40
云南昭通 YNZT 23 4.45 3.09 12.01 3.07
重庆南川 CQNC 56 3.19 3.10 6.02 0.88
图4 上扬子区志留系龙马溪组页岩中草莓状黄铁矿集合体粒径统计

Fig.4 Statistic map of the size of strawberry-like pyrite aggregates in the Longmaxi Formation shale of the Silurian system in the Upper Yangtze area

资料表明,测量草莓状黄铁矿集合体颗粒最大粒径,即最大粒径法(MFD)是判断沉积环境的主要手段之一[21]。根据表1可知,位于川南宜宾的草莓状黄铁矿最大粒径为7.25μm;位于四川珙县的草莓状黄铁矿最大粒径为6.67μm;位于云南昭通的草莓状黄铁矿最大粒径为12.01μm;位于重庆南川的草莓状黄铁矿最大粒径为6.02μm。一般情况下,草莓状黄铁矿MFD值在硫化环境下小于20μm,在次氧化—氧化环境下大于20μm[22]。综上分析,样本中的草莓状黄铁矿集合体的MFD值在5.48~12.04μm之间,均小于20μm,说明研究区志留系沉积环境为硫化还原环境。
按照Wilkin等[7]得出的结论,沉积水体的硫化、氧化(包括次氧化)还可以通过草莓状黄铁矿晶体的平均粒径判断。当草莓状黄铁矿颗粒的平均粒径在3.3~6.7μm范围内时,沉积环境为硫化环境;当平均粒径在6.3~11.8μm之间时,沉积环境为氧化环境。根据表1图4可知,样本中位于川南宜宾的草莓状黄铁矿平均粒径为3.51μm;位于四川珙县的草莓状黄铁矿平均粒径为5.25μm;位于云南昭通的草莓状黄铁矿平均粒径为4.45μm;位于重庆南川的草莓状黄铁矿平均粒径为3.19μm。样本的平均粒径均都在3.3~6.7μm范围内,满足硫化还原环境水体对平均粒径要求。此外,硫化环境下形成的草莓状黄铁矿集合体颗粒仍有不超过总量4%的颗粒粒径大于10μm,而氧化环境中这个范围将扩大到10%~50%。这也很好地解释了图4中出现大粒径草莓状黄铁矿的原因。

3.1.2 微晶黄铁矿粒径特征

在草莓状黄铁矿形态学研究方面,已有诸多学者在草莓状黄铁矿集合粒径与还原沉积环境方面做了大量研究,同时得出了许多重要结论。但草莓状黄铁矿集合体的微晶结构同样具有研究价值。查阅资料发现,草莓状黄铁矿微晶粒径结构在还原沉积环境方面也具有重要意义。
刘子驿等[23]提出了可以利用草莓状黄铁矿微晶颗粒大小来进一步论证形成时的氧化还原环境,根据草莓状黄铁矿集合体平均粒径(D)与草莓状黄铁矿微晶平均粒径(d)值,也可判断沉积环境的硫化或氧化性(表2)。当D/d值偏大时说明在生长过程中有机质等还原性物质供给不足,水体呈氧化性;当D/d值偏小时说明在沉积过程中有机质等还原性物质供给充足,水体呈还原性。
表2 上扬子区志留系龙马溪组页岩中草莓状黄铁矿粒径分析(部分数据引自文献[23])

Table 2 Particle size analysis of strawberry-like pyrite in the Longmaxi Formation shale of the Silurian in the Upper Yangtze area (partial data from Ref.[23])

样品采集地 样品编号 草莓状黄铁矿粒径/μm 草莓状黄铁矿平均粒径(D)/μm 微晶黄铁矿平均粒径(d)/μm D/d
川南宜宾 CNYB 1.64~7.25 3.51 0.33 10.72
四川珙县 SCGX 2.86~6.67 5.25 0.33 16.15
云南昭通 YNZT 1.56~12.04 4.45 0.51 8.71
重庆南川 CQNC 1.59~6.02 3.19 0.56 5.73
湘鄂西地区[23] 2.5~6 4.08 0.40 10.20
湘鄂西地区[23] 1.25~8 3.65 0.50 7.30
通过对比数据可以看出,上扬子地区龙马溪组整体沉积环境为还原环境,其中云南昭通(D/d=8.71)和重庆南川(D/d=5.73)2个地区属于闭塞还原沉积环境;而川南宜宾(D/d=10.72)和四川珙县(D/d=16.15)2个地区属于贫氧—缺氧环境(表2)。

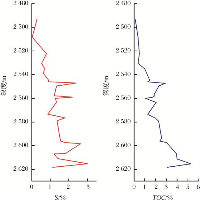
3.2 S与TOC垂向分布特征

本文将JY41井中S和TOC按纵深变化,制成如图5所示垂向分布图。该井所示龙马溪组页岩S含量为0.03%~3.01%,平均值为1.32%;TOC为0.13%~5.27%,平均值为2.18%。图像特征呈“圣诞树”状,表示龙马溪组岩段S含量和TOC从浅部的极少值缓慢增加,到深部达到最大,底部略有减少,中间起伏波动的特征。表示龙马溪组底部处于闭塞的还原状态,顶部处于贫氧/缺氧状态。而TOC含量对S含量依从性较强,变化趋势基本一致,体现了页岩中有机质富集对硫化沉积环境的依赖性,与S含量密切相关。沉积环境还原性越强,越有利于有机质富集[24]
图5 JY41井中龙马溪组段S和TOC垂向变化

Fig.5 Vertical variation of S and TOC in Longmaxi Formation in Well JY41

3.3 黄铁矿对储层孔隙影响

页岩作为一种非均质多孔介质,其孔隙类型与孔隙结构直接影响着所蕴含页岩气的吸附性和流动性,与页岩气含量密切相关。前人通过大量研究发现,岩层中孔隙是页岩气重要储集场所,绝大部分页岩气都发育在孔隙当中。同时指出研究页岩储层的孔隙结构特征,对探究页岩气成藏条件及机理、产能评价和压裂具有重要意义[25,26,27,28]。本文通过对样品进行氩离子抛光扫描电镜观测,得到的样品孔隙结构如图6所示。
图6 页岩中发育的孔隙类型

(a) 有机质孔; (b) 铸模孔; (c) 矿物溶孔; (d) 絮凝成因孔; (e) 微裂缝; (f) 黏土矿间孔; (g)、(h)、(i)黄铁矿晶间有机质孔

Fig.6 Types of pores developed in shales

草莓状黄铁矿内部晶粒之间通常充填有机质,这些有机质通常发育大量黄铁矿晶间有机质孔。这主要因为草莓状这一特殊形态所致,该形态会在晶粒之间留有大量空隙,被有机质充填形成有机/黄铁矿复合体[6]。经大量镜下观察发现,该有机质孔形态大多不规则,或发育于有机质间,或围绕晶粒边缘发育,致使黄铁矿集合体晶粒轮廓清晰明显。因为黄铁矿集合体的支撑保护作用[29,30]和催化有机质成烃生气作用[31],导致黄铁矿内部孔隙数量较多于周围有机质[图6(g)—图6(i)]。吴艳艳等[30]也证明了渝东南地区龙马溪组页岩孔隙率与黄铁矿含量具有正相关性,表明黄铁矿对页岩中部分有机质的催化作用可以使其提前裂解生烃,可改善储层有机质孔的发育状况。
黄铁矿晶间孔除以上形式外,还有一部分表现为集合体表面晶体脱落形成的铸模孔。该孔隙孔径一般大于内部有机质孔,形状依赖于脱落晶体的形态,大多呈蜂窝状[图6(b)]。铸模孔因由晶粒单独脱落所致,与页岩中其他类型孔隙连通性较差,但与晶内有机质孔连通性较好,而且孔径较大,是游离气主要富集场所。

4 讨论

4.1 黄铁矿沉积环境

为了进一步探究黄铁矿沉积环境,笔者将4组样品的平均粒径和标准偏差与前人数据进行对比,制成图7所示二元散点图。根据图7数据表明,采集得到4组样品的沉积环境均为硫化环境,结合图5数据,可推断上扬子区志留系龙马溪组页岩沉积环境为硫化环境,该环境还原性强,水体流动性差呈闭塞状态。因此导致黄铁矿晶粒生长时期所需物质、还原剂和能量供应不足。水动力条件差,致使结晶后快速沉降掩埋,晶粒无法充分生长,粒径普遍偏小的特点。此外,长期水动力差的闭塞硫化环境,对有机质沉积、聚集、保存具有积极意义。
图7 上扬子区龙马溪组草莓状黄铁矿平均粒径—标准偏差二元图(部分数据引自文献[7,9])

Fig.7 Binary map of average particle size-standard deviation of strawberry-like pyrite in Longmaxi Formation, Upper Yangtze Distric (partial data fromRefs. [7,9])

通过表1表2可知,重庆南川样品平均粒径(3.19)、标准偏差(0.88)以及D/d值(5.73),均小于其他3组数据[川南宜宾样品平均粒径(3.51)、标准偏差(1.62)、D/d值(10.72);四川珙县样品平均粒径(5.25)、标准偏差(1.40)、D/d值(16.15);云南昭通样品平均粒径(4.45)、标准偏差(3.07)、D/d值(8.71)]。说明重庆南川样品沉积环境的埋藏深度更大、周围水体更稳定、闭塞性更好,云南昭通次之,川南宜宾和四川珙县最差。此外,通过图7可知,重庆南川样品的硫化环境强度也是高于其他3组样品的。按照孙莎莎等[32]所述,上扬子区志留系早期构造格局为四川中部、云南中部和贵州中部为隆起区,重庆渝中为凹陷区,呈北东—南西向凹陷,凹陷区被海水覆盖,接受海相沉积(图8)。上扬子区整体沉积环境为陆棚沉积环境,海水深度由西南向东北方向加深。实验结果符合重庆南川为深海陆棚相,云南昭通、四川珙县和川南宜宾为半深海陆棚相的沉积环境[32,33]
图8 上扬子区龙马溪组下部沉积格局[33]

Fig. 8 Sedimentary pattern of the lower Longmaxi Formation in the Upper Yangtze area[33]

4.2 黄铁矿结晶过程

黄铁矿除了以草莓状集合体形式发育于页岩中外,还伴有大量其他晶型(如五角十二面体、立方体、八面体)发育。草莓状黄铁矿晶体发育于同生—准同生沉积阶段[21,34],由沉积水体中FeS与硫元素反应生成的FeS2晶体聚合而成。在硫化沉积水体中,由于水体扰动性差,物料供给不充足,聚集形成的草莓状黄铁矿集合体会很快被埋藏沉积,粒径基本保持不变;而氧化环境下,由于水体流动性强、物料供给充分,草莓状黄铁矿还会继续生长。这就导致硫化环境草莓状黄铁矿粒径偏小,氧化环境下粒径偏大的特点。
其他晶型黄铁矿形成过程大致分为2种:第一种是黄铁矿在生长过程中受结晶习性以及水体条件(包括pH值、FeS饱和度以及水体稳定条件)等方面影响,自行发育成不规则几何体,如八面体、立方体、五角十二面体[35]; 第二种是草莓状黄铁矿晶体在晶粒紧密聚集条件下相互融合,使微晶内部包裹体以及微晶间夹杂的有机物消失或被排挤出去,由草莓状结构转变成自行晶体(图9)。二者沉积水体存在较大差异,第一种情况形成的大型单晶黄铁矿需要水体pH<6.5的酸性还原水体,介质中H2S和Fe2+含量高,单晶黄铁矿会直接在水体中沉淀发育;第二种复杂成因的单晶黄铁矿,则需要沉积水体为pH>6.5的碱性弱氧化水体和S2-含量偏高的条件[35]。在这种条件下草莓状黄铁矿会缓慢发育成立方体单晶,若时间充足随着结晶作用加强,立方体还会向八面体、五角十二面体结构转变。故三者结晶顺序应为简单成因的直接沉淀单晶略大于草莓状集合体,复杂成因最慢。三者结晶顺序,也证明了沉积水体如图5所示从硫化到弱氧化变化特点。
图9 黄铁矿由草莓状向立方体结构转变

Fig.9 Pyrite transformation from strawberry to cube structure

4.3 页岩中黄铁矿的油气意义

图5表明了硫化还原环境有利于有机质富集,从沉积角度来看随着沉积环境的硫化程度升高,沉积水体还原性越强,水体扰动越差,有利于有机质沉积和保存。从热解生烃角度来看,富硫干酪根生烃所需时间相对更早,其所含C—S键键能较低,更易裂解生烃。在海相页岩中,硫元素主要以黄铁矿形式存在[36]。故龙马溪组页岩中S含量变化趋势,可以间接体现黄铁矿在垂向上分带特征。
黄铁矿含量对页岩气富集的影响,近年来已成为热点话题。笔者通过镜下观察黄铁矿样品,发现大量晶间有机质孔和铸模孔与黄铁矿伴生(图6)。黄铁矿可以改造储层孔隙结构,尤其对于龙马溪组这样深海陆棚相,黄铁矿含量与储层孔隙体积具有较高的相关系数[37]。黄铁矿除了前文所述可以保护支撑内部有机质孔和催化有机质热解生烃改善孔隙体积外。还可促进有机质生烃,改善储层储集油气能力以及提高储层脆性和渗透性,利于页岩气开发。曹涛涛等[6]表示有机质类型和黄铁矿均被沉积环境制约,二者具有密切的关系。而黄铁矿对有机质生烃裂解的催化作用,可使产气效率增加1.5~3倍。此外,张琴等[38]通过研究渝东地区龙马溪组含气量控制因素,建立了估算含气量的参数拟合方程:Y=-0.825+0.444x 1+0.265x 2+0.157x 3,其中x 1TOCx 2为孔隙度,x3为黄铁矿含量。黄铁矿对于页岩气开采同样具有积极作用,张晨晨等[39]通过探讨四川盆地页岩脆性指数关系,利用黄铁矿、白云石、石英建立页岩脆性指数计算模型,表示黄铁矿是控制储层脆性指数重要参数之一。游利军等[40]表明黄铁矿被氧化溶解产生酸性排放物后,会形成纳微米级粒间孔和晶体溶蚀孔,改善储层渗透性。以上研究均表明深水陆棚相页岩中黄铁矿对页岩气富集成藏积极影响,对页岩气开采开发的重要作用。

5 结论

(1)上扬子区龙马溪组页岩中草莓状黄铁矿平均粒径偏小,最大粒径(MFD)偏小,故分析其沉积环境为静水硫化环境,该环境有利于有机质富集保存,为页岩气储集成藏提供有利条件。草莓状黄铁矿集合体平均粒径与微晶平均粒径比值偏小,符合分析得出的沉积环境的闭塞还原状态,草莓状黄铁矿微晶粒径对沉积环境的氧化还原状态具有指征意义。
(2)龙马溪组页岩中黄铁矿形态主要为草莓状和自行晶状,草莓状黄铁矿形成于同生—准同生阶段;自行晶状黄铁矿成因分为2种:简单成因和复杂成因,简单成因自行晶状黄铁矿形成于同沉积时期,复杂成因黄铁矿形成于成岩时期。
(3)龙马溪组页岩中孔隙类型发育,黄铁矿周围伴有大量晶间有机质孔和铸模孔,黄铁矿有助于对储层孔隙改造。深水陆棚相页岩中黄铁矿与有机质关系密切,对页岩气成藏开发有积极影响。
1
Zhu Hua, Yang Guang, Yuan Baoguo, et al. Geological conditions resource potential and exploration direction of conventional gas in Sichuan Basin[J]. Natural Gas Geoscience, 2018, 29(10): 1475-1485.

朱华,杨光,苑保国,等.四川盆地常规天然气地质条件、资源潜力及勘探方向[J].天然气地球科学,2018,29(10):1475-1485.

2
Zheng Min, Li Jianzhong, Wu Xiaozhi, et al. China’s conventional and unconventional natural gas resource potential key exploration fields and direction[J].Natural Gas Geoscience, 2018, 29(10): 1383-1397.

郑民,李建忠,吴晓智,等.我国常规与非常规天然气资源潜力、重点领域与勘探方向[J].天然气地球科学,2018,29(10):1383-1397.

3
Zou Caineng, Dong Dazhong, Yang Hua, et al. Conditions of shale gas accumulation and planning practices in China[J]. Natural Gas Industry, 2011, 31(12):26-39,125.

邹才能,董大忠,杨桦,等.中国页岩气形成条件及勘探实践[J].天然气工业,2011,31(12):26-39,125.

4
Cui Jingwei, Zhu Rukai, Wu Songtao, et al. The effect of pyrite on the accumulation of organic matter, hydrocarbon generation and expulsion, and accumulation of oil in shale[J]. Geological Review, 2013, 59(supplement 1):783-784.

崔景伟,朱如凯,吴松涛,等.黄铁矿在页岩有机质富集、生排烃与页岩油聚集中的作用[J].地质论评,2013,59(增刊1):783-784.

5
Nie Haikuan, Zhang Jinchuan. Study on the shale gas accumulation conditions and gas content calculation:Taking the Lower Paleozoic in Sichuan Basin and its periphery as an example[J]. Acta Geological Sinica, 2012, 86(2):349-361.

聂海宽,张金川.页岩气聚集条件及含气量计算——以四川盆地及其周缘下古生界为例[J].地质学报,2012,86(2):349-361.

6
Cao Taotao, Deng Mo, Song Zhiguang, et al. Study on the effect of pyrite on the accumulation of shale oil and gas[J]. Natural Gas Geoscience, 2018, 29(3): 404-414.

曹涛涛,邓模,宋之光,等.黄铁矿对页岩油气富集成藏影响研究[J].天然气地球科学,2018,29(3):404-414.

7
Wilkin R T, Barnes H L, Brantley S L. The size distribution of framboidal pyrite in modern sediments: An indicator of redox conditions[J]. Geochimica et Cosmochimica Acta, 1996, 60(20):3897-3912.

8
Chang Huajin, Chu Xuelei. Pyrite framboids and palaeo ocean redox condition reconstruction[J]. Advances in Earth Science, 2011, 26(5): 475-481.

常华进,储雪蕾.草莓状黄铁矿与古海洋环境恢复[J].地球科学进展,2011,26(5):475-481.

9
Zhou C, Jiang S Y. Palaeoceanographic redox environments for the Lower Cambrian Hetang Formation in South China: Evidence from pyrite framboids, redox sensitive trace elements, and sponge biota occurrence[J]. Palaeogeography Palaeoclimatology Palaeoecology, 2009, 271(3):279-286.

10
Zhang Yong. The Geological Setting of Lower Paleozoic Gas-Shale Sequences in the Southern Yangtze Block and the Structural Analyses of the Testing Regions[D]. Nanjing: Nanjing Universuty, 2012.

张勇.扬子地块南部下古生界页岩气地质背景及勘探试验区构造分析[D].南京: 南京大学,2012.

11
Fang Junhua, Zhu Yanming, Wei Wei, et al. Basic geologic analysis of shale gas accumulation in the Longmaxi Formation in Shunan region[J]. Special Oil and Gas Reservoirs, 2010, 17(6):46-49.

方俊华,朱炎铭,魏伟,等.蜀南地区龙马溪组页岩气成藏基础分析[J].特种油气藏,2010,17(6):46-49.

12
Yuan Jianxin. The regional structural mechanics of southern Sichuan and its significance in oil and gas exploration[J]. Journal of Chongqing University of Science and Technology: Natural Science Edition, 1996(1):1-4.

袁建新.川南构造力学分区及其在油气勘探中的意义[J].重庆科技学院学报:自然科学版,1996(1):1-4.

13
Fu Xiaodong, Qin Jianzhong, Tenger. Evaluation on excellent marine hydrocarbon source layers in southeast area of the Sichuan Basin:An example from Well D-1[J]. Petroleum Geology and Experiment, 2008, 30(6):621-628.

付小东,秦建中,腾格尔.四川盆地东南部海相层系优质烃源层评价——以丁山1井为例[J].石油实验地质,2008,30(6):621-628.

14
Wang Tong, Yang Keming, Xiong Liang, et al. Shale sequence stratigraphy of Wufeng-Longmaxi Formation in southern Sichuan and their control on reservoirs[J]. Acta Petrolei Sinica, 2015, 36(8):915-925.

王同,杨克明,熊亮,等.川南地区五峰组—龙马溪组页岩层序地层及其对储层的控制[J].石油学报,2015,36(8):915-925.

15
Chen Bo Pi Dingcheng. Silurian Longmaxi shale gas potential analysis in middle & upper Yangtze Region[J]. China Petroleum Exploration, 2009, 14(3): 15-19, 1.

陈波,皮定成.中上扬子地区志留系龙马溪组页岩气资源潜力评价[J].中国石油勘探,2009,14(3):15-19, 1.

16
Liu Yang. Geochemical Genesis Model and Its Applications of Natural Gas in High-over Matured Shale[D]. Beijing: China University of Geosciences, 2017.

刘飏.高—过成熟页岩中天然气地球化学成因模式与应用[D].北京:中国地质大学,2017.

17
Gao Delu. Twenty five years of rapid development of scanning electron microscope[J]. Modern Scientific Instrument,1990(2):1-4.

高德禄.扫描电子显微镜飞速发展的25年[J].现代科学仪器,1990(2):1-4.

18
Zhao Yan, Zheng Jiaoyu, Guo Peng, et al. Applications of the ImageJ software in analysis of solid grains in a debris flow gully[J]. Journal of Lanzhou University: Natural Sciences, 2015, 51(6):877-881.

赵岩,郑娇玉,郭鹏,等.ImageJ软件在泥石流固体颗粒分析中的应用[J].兰州大学学报:自然科学版,2015,51(6):877-881.

19
Song Yudan.ImageJ Used in Mineral First Crash Detection[D]. Taiyuan: Taiyuan University of Technology,2008.

宋玉丹.ImageJ在矿物初碎检测中的应用[D].太原: 太原理工大学,2008.

20
Song Yudan, Qin Zhiyu, Rong Xingfu. Approach to detect image edge and prospect by ImageJ[J]. Mechanical Management and Development, 2009, 23(S1):180-181.

宋玉丹,秦志钰,容幸福.用ImageJ提取图像边缘的方法及展望[J].机械管理开发,2009,23(S1):180-181.

21
Yang Xueying, Gong Yiming. Pyrite Framboid:Indicator of Environments and life[J].Earth Science,2011,36(4):643-658.

杨雪英,龚一鸣.莓状黄铁矿:环境与生命的示踪计[J].地球科学,2011,36(4):643-658.

22
Xu Zuxin, Han Shumin, Wang Qichao. Characteristics of pyrite and its hydrocarbon significance of shale reservoir of Doushantuo Formation in middle Yangtze area[J]. Lithologic Reservoirs,2015,27(2):31-37.

徐祖新,韩淑敏,王启超.中扬子地区陡山沱组页岩储层中黄铁矿特征及其油气意义[J].岩性油气藏,2015,27(2):31-37.

23
Liu Ziyi, Zhang Jinchuan, Liu Yang, et al. The particle size characteristics of pyrite in western Hunan and Hubei areas' Wufeng-Longmaxi Formation shale[J]. Science Technology and Engineering, 2016, 16(26):34-41.

刘子驿,张金川,刘飏,等. 湘鄂西地区五峰组—龙马溪组泥页岩黄铁矿粒径特征[J].科学技术与工程,2016,16(26):34-41.

24
Wu Chenjun, Zhang Mingfeng, Ma Wanyun, et al. Organic matter characteristic and sedimentary environment of the Lower Cambrian Niutitang shale in southeastern Chongqing[J]. Natural Gas Geoscience, 2014, 25(8): 1267-1274.

吴陈君,张明峰,马万云,等.渝东南牛蹄塘组页岩有机质特征及沉积环境研究[J].天然气地球科学201425(8):1267-1274.

25
Chen Shangbin, Zhu Yanming, Wang Hongyan, et al. Structure characteristics and accumulation significance of nanopores in Longmaxi shale gas reservoir in the southern Sichuan Basin[J]. Journal of China Coal Society, 2012, 37(3):438-444.

陈尚斌,朱炎铭,王红岩,等. 川南龙马溪组页岩气储层纳米孔隙结构特征及其成藏意义[J].煤炭学报,2012,37(3):438-444.

26
Slatt R M, O’Brien N R. Pore types in the Barnett and Woodford gas shales: Contribution to understanding gas storage and migration pathways in fine-grained rocks[J]. AAPG Bulletin, 2011, 95(12):2017-2030.

27
Loucks R G, Reed R M, Ruppel S C, et al. Spectrum of pore types and networks in mudrocks and a descriptive classification for matrix-related mudrockpores[J]. AAPG Bulletin, 2012, 96(6):1071-1098.

28
Wang Pengfei, Jiang Zhenxue, Lv Peng, et al. Organic matter pores and evolution characteristics of shales in the Lower Silurian Longmaxi Formation and the Lower Cambrian Niutitang Formation in periphery of Chongqing[J]. Natural Gas Geoscience, 2018, 29(7): 997-1008.

王朋飞,姜振学,吕鹏,等.重庆周缘下志留统龙马溪组和下寒武统牛蹄塘组页岩有机质孔隙发育及演化特征[J].天然气地球科学,2018,29(7):997-1008.

29
Liu Zhongbao, Gao Bo, Hu Zongquan, et al. Reservoir characteristics and pores formation and evolution of high maturated organic rich shale: A case study of Lower Cambrian Jiumenchong Formation, southern Guizhou area[J]. Acta Petrolei Sinica, 2017, 38(12):1381-1389.

刘忠宝,高波,胡宗全,等.高演化富有机质页岩储层特征及孔隙形成演化——以黔南地区下寒武统九门冲组为例[J].石油学报.201738(12):1381-1389.

30
Wu Yanyan, Cao Haihong, Ding Anxu,et al. Pore characteristics of a shale gas reservoir and its effect on gas content[J]. Petroleum Geology & Experiment, 2015, 37(2): 231-236.

吴艳艳,曹海虹,丁安徐,等.页岩气储层孔隙特征差异及其对含气量影响[J].石油实验地质201537(2):231-236.

31
Zhang Jinglian, Zhang Pingzhong. A discussion of pyrite catalysis on the hydrocarbon generation process[J] Advances in Earth Science, 199611(3): 282-287.

张景廉,张平中.黄铁矿对有机质成烃的催化作用讨论[J].地球科学进展199611(3):282-287.

32
Sun Shasha, Rui Yun, Dong Dazhong, et al. Paleogeographic evolution of the Late Ordovician-Early Silurian in upper and middle Yangtze regions and depositional model of shale[J]. Oil & Gas Geology, 2018, 39(6): 1087-1106.

孙莎莎,芮昀,董大忠,等.中、上扬子地区晚奥陶世—早志留世古地理演化及页岩沉积模式[J].石油与天然气地质2018,39(6):1087-1106.

33
Liu Wei, Yu Qian, Yan Jianfei, et al. Characteristics of organic rich mudstone reservoirs in the Silurian Longmaxi Formation in upper Yangtze region[J]. Oil & Gas Geology, 2012, 33(3): 346-352.

刘伟,余谦,闫剑飞,等.上扬子地区志留系龙马溪组富有机质泥岩储层特征[J].石油与天然气地质.2012,33(3):346-352.

34
Liu Dameng, Yang Qi. Occurrence and geological genesis of pyrites in Late Paleozoic coals in North China[J]. Geochimica, 1999(4):340-350.

刘大锰,杨起.华北晚古生代煤中黄铁矿赋存特征与地质成因研究[J].地球化学,1999(4):340-350.

35
Tang Yuegang, Ren Deyi, The genesis of pyrites in coal[J]. Geological Review, 1996, 42(1):64-70.

唐跃刚,任德贻.煤中黄铁矿的成因研究[J].地质论评,1996,42(1):64-70.

36
Huang Yong, Zhang Xiaolong, Xiong Tao, et al. Profiling of relationship between shale organic matter enrichment mechanism and gas-bearing property: A case study of Well qq No. 1[J]. Coal Geology of China, 2017, 29(12): 5-11.

黄勇,张小龙,熊涛,等.页岩有机质富集机理与含气性关系剖析——以黔浅1井为例[J].中国煤炭地质,2017,29(12):5-11.

37
Liang Feng, Zhu Yanming, Ma Chao, et al. Sedimentary distribution and reservoir characteristics of shale gas reservoir of Niutitang Formation in northwestern Hunan[J]. Journal of China Coal Society, 2015, 40(12): 2884-2892.

梁峰,朱炎铭,马超,等.湘西北地区牛蹄塘组页岩气储层沉积展布及储集特征[J].煤炭学报,2015,40(12):2884-2892.

38
Zhang Qin, Liu Honglin, Bai Wenhua, et al. Shale gas content and its main controlling factors in Longmaxi shales in southeastern Chongqing[J]. Natural Gas Industry, 2013, 33(5): 35-39.

张琴,刘洪林,拜文华,等.渝东南地区龙马溪组页岩含气量及其主控因素分析[J].天然气工业,2013,33(5):35-39.

39
Zhang Chenchen, Wang Yuman, Dong Dazhong, et al. Evaluation of the Wufeng-Longmaxi shale brittleness and prediction of “sweet spot layers” in the Sichuan Basin[J]. Natural Gas Industry, 2016, 36(9): 51-60.

张晨晨,王玉满,董大忠,等.四川盆地五峰组—龙马溪组页岩脆性评价与“甜点层”预测[J].天然气工业,2016,36(9):51-60.

40
You Lijun, Kang Yili, Chen Qiang, et al. Prospect of shale gas recovery enhancement by oxidation-indued rock burst[J]. Natural Gas Industry, 2017, 37(5): 53-61.

游利军,康毅力,陈强,等.氧化爆裂提高页岩气采收率的前景[J].天然气工业,2017,37(5):53-61.

文章导航

/