引用本文
Ma Xingzhi,Liu Shaobo,Jiang Lin,et al.Quantitative analysis on affecting factors of gas adsorption capacity measurement on the shale[J].Natural Gas Geoscience,2016,27(3):488-493.[马行陟,柳少波,姜林,等.页岩吸附气含量测定的影响因素定量分析[J].天然气地球科学,2016,27(3):488-493.]

doi:10.11764/j.issn.1672-1926.2016.03.0488
页岩吸附气含量测定的影响因素定量分析
中图分类号:TE132.2 文献标志码:A 文章编号:1672-1926(2016)03-0488-06
Quantitative analysis on affecting factors of gas adsorption capacity measurement on the shale
Key words: Shale gas; Isotherm sorption; Gas content; Affecting factors; Correction method;
引言
页岩气是赋存于泥页岩中的一种重要非常规天然气资源,国外生产已经实践证实,页岩气的勘探和开发可以有效弥补常规天然气产量的不足[1-3],对维护国家能源安全具有重要意义。我国页岩气资源丰富,勘探潜力巨大,不同学者和科研机构对页岩气资源量的评价有着较大的差别[4-6],可采资源量从10×1012到36×1012m3,含气量是影响页岩气资源量评价的重要参数之一。页岩的含气量主要包括吸附气、游离气以及较少量的溶解气,吸附气含量通常占总含气量的20%~80%,因此,正确测定页岩吸附气含量是准确评价页岩含气量和资源量的关键。 为了确定页岩含气量大小,目前多借鉴煤层气的经验,在实验室多采用压力计等温吸附实验方法测定吸附气含量[7]。然而,与煤的吸附量随压力逐渐增加并吸附饱和的认识不同,多数情况下页岩高压时的吸附量出现负值,等温吸附曲线特征也呈现下降形态[8-10],如果不能正确认识此种现象将会严重影响页岩气的资源估算和经济评价。实际上,此现象并不是页岩真实吸附量的体现,主要是因为页岩吸附能力相对较低(煤的吸附量一般在10cm3/g以上[11-13],而页岩的吸附量多数低于2cm3/g),对实验的参数和环境相对敏感,实验测试过程中一些因素对吸附量的影响被相对的放大而导致的。为此,本文拟在参与国际上不同实验室页岩吸附量对比研究的基础上,对页岩吸附气量测定影响因素进行半定量—定量分析,并提出了相应的校正建议和方法,对页岩吸附气含量的准确测定和资源量的正确评价具有一定的指导意义。
1 压力计等温吸附实验方法
压力计等温吸附实验方法(Manometric method)在国内多称之为体积法,原理如图1所示,方法主要是利用了物理学中经典的波义尔定律[14,15],即 =(1) 式中:P0、V0 、T0分别为初始条件下的压力、体积和温度;Z0为初始压力条件下的气体压缩因子;Pt、Vt、Tt分别为最终条件下的压力、体积和温度;Zt为最终压力条件下的气体压缩因子。 页岩吸附气量测定过程分为参数标定和样品测量两大步骤,参数的标定主要是利用氦气来标定参考缸的空间体积V1和样品缸装有页岩样品时的自由空间体积V2,原理仍是波义尔定律,其方法和步骤可参照《GBT1956-2004 煤的高压等温吸附试验方法 容量法》及参考文献[16]。样品测量之前,设定实验温度,并稳定3个小时以上,使整个测定系统的温度保持一致,然后进行实验。首先用真空泵对参考缸和样品缸进行抽真空,然后关闭阀门2并打开阀门1进甲烷(CH4)气体,使参考缸达到一定的压力Pc时,关闭阀门1,样品缸压力为Py(抽真空后样品缸压力可视为0),待压力表稳定后,打开阀门2使参考缸的CH4气体进入到样品缸,此时样品缸页岩发生吸附作用,待平衡吸附后记录压力表读数Pcy,即为平衡压力。通常平衡吸附的时间由样品缸压力随时间的变化梯度决定。最后根据公式对吸附量进行计算: Vx=× (2) Va=(3) 式中:Va、Vx为单位质量样品的气体吸附量和总吸附量(STP),cm3/g;m为样品质量,g;Pc、Py、Pcy分别为的参数意义见前文,MPa;Zc、Zy、Zcy为Pc、Py、Pcy压力条件下的气体压缩因子; T为实验温度;V1、V2分别代表参考缸的体积和样品缸装有样品时的自由空间体积,cm3。
2 页岩吸附气含量测定影响因素分析
由于多数页岩的吸附能力低,在吸附量测定过程中,较小的误差可能会引起吸附量结果的较大变化。根据测定流程和原理可知,页岩吸附量的测定受气体状态方程、自由空间体积V2、传感器精度和一些未知系统误差等的影响。
2.1 气体状态方程
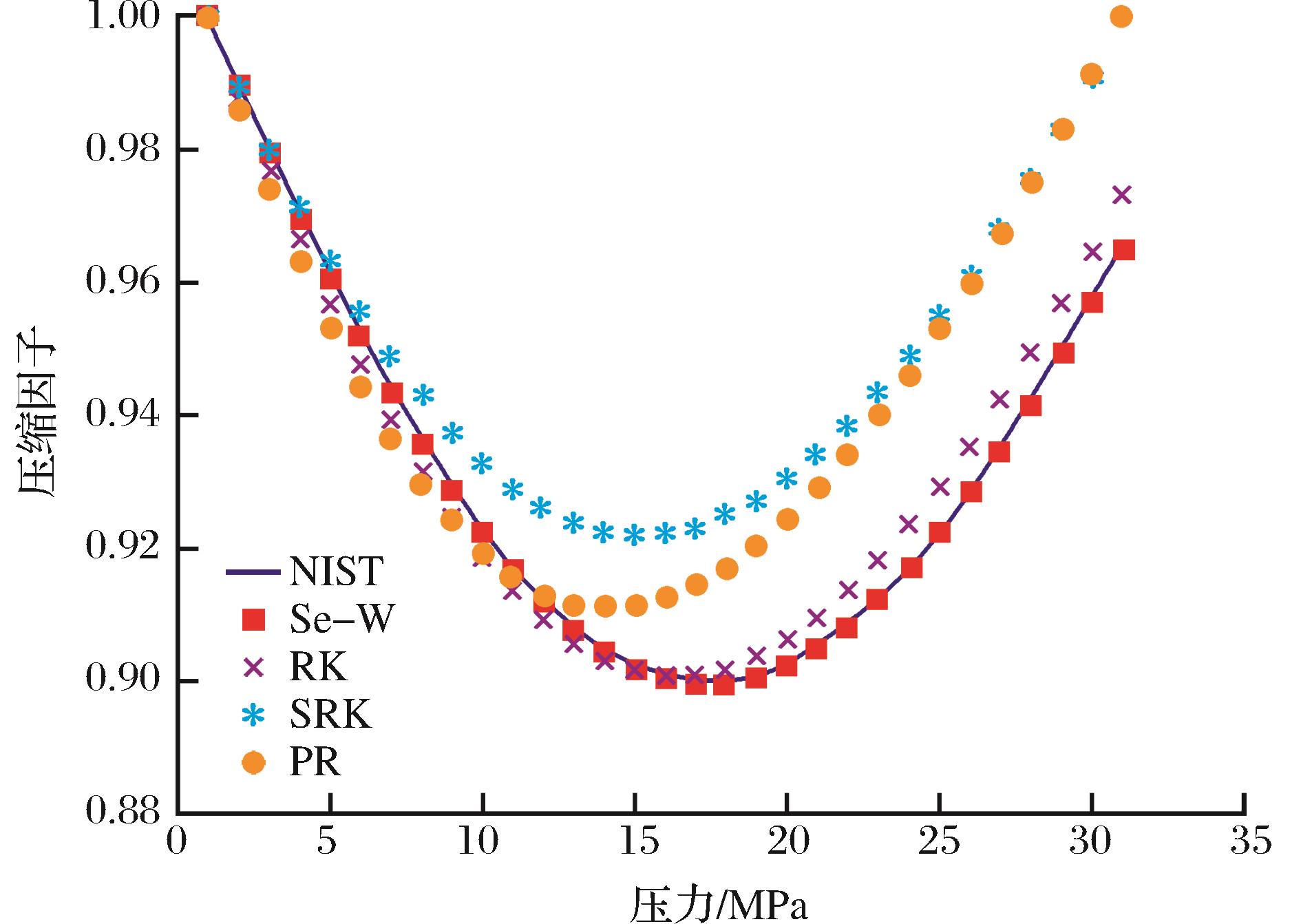
页岩吸附气含量的测定需要确定气体(甲烷、二氧化碳等)的不同压力条件下的压缩因子,利用气体状态方程可以得到。然而,目前已经发展起来多种气体状态方程,如Redlich-Kwong方程[17] (R-K方程)、Soave-Redlich-Kwong方程[18] (S-R-K方程)和Peng-Robinson方程[19] (P-R方程)、Benedict-Webb-Rubin方程[20]、Setzmann-Wagner方程[21](Se-W方程)等,不同状态方程计算的压缩因子差别较大,对于吸附量较低的页岩而言,压缩因子的微小偏差就会带来较大的实验误差。
图1 压力计等温吸附实验原理
Fig.1 Schematic diagram of manometric isotherm adsorption equipment
图2 不同状态方程计算的甲烷压缩因子与NIST标准数据的对比
Fig.2 Comparison of gas compression index calculated by different EOS equation and NIST standard data
2.2 自由空间体积
自由空间体积的确定是开展页岩吸附量实验的第一步,是计算吸附量的重要参数之一。文中第二部分已经述及其原理,主要是利用吸附性差的氦气进行测定。然而,氦气分子直径为0.26nm,甲烷分子直径为0.38nm,氦气分子比甲烷分子小,容易进入甲烷分子不能进入的孔隙中,这样就造成了利用氦气所测的自由空间体积偏大,Ross等[8]指出了利用氦气测定自由空间体积所引起的吸附量结果的误差并基于质量守恒建立了校正方法,因此本文在此不讨论因为气体分子差异性导致的误差,重点探讨自由空间体积测量误差对吸附量影响。
图3 不同状态方程计算页岩甲烷吸附量
Fig.3 Diagram showing methane adsorption capacity on Longmaxi shale calculated by different EOS equation
图4 自由空间体积对吸附量的影响
Fig.4 Diagram showing the effect of void volume on the methane adsorption capacity measurement on shale
2.3 压力和温度传感器
压力和温度传感器是压力计等温吸附实验装置的关键组成部分,通过其为自由空间体积和吸附量测定获取基本压力和温度数据。国外煤和页岩的等温吸附实验装置中压力传感器通常用的是万分之一(满量程)的精度,稳定性也比较高。受国外限于高精尖设备的限制出口,国内自研或进口的等温吸附实验装置的压力传感器精度多为千分之一精度,甚至更低,与国外相差数十倍或百倍,其影响对低吸附能力的页岩不可忽略。 为了探讨不同精度压力传感器对页岩吸附量的影响,研究中选取国际页岩吸附量测定结果对比的标准样品之一——德国的Posidonia页岩,采取统一的样品预处理和实验方法,分别在德国亚琛大学油气和煤地质与地球化学研究所和美国Terratec公司的吸附仪开展了同条件的等温吸附实验。样品预处理首先将样品碎到60~80目,然后在110℃温度下,对样品进行24h的真空干燥。真空干燥的目的就是防止高温条件下样品与空气中的成分发生反应,从而保证了样品性质没有改变。德国亚琛大学油气和煤地质与地球化学研究所的等温吸附装置基于压力计法原理,采用的压力传感器为万分之一;美国Terratec公司的吸附仪压力传感器的精度为满量程的千分之一,其原理也是压力计法。通过2个装置的实验结果可以看出(图5),使用万分之一压力传感器精度的等温吸附实验的结果,无论从吸附量还是等温吸附曲线形态都明显优于配有千分之一精度的实验装置,特别是在高压条件,配有千分之一精度的实验装置的吸附量出现“跳跃”等不规则变化,而万分之一精度的实验其吸附量变化相对稳定,符合Langmuir定律指出的曲线形态。 温度传感器精度的大小同样会对页岩吸附量的测定产生一定的影响,主要是由于精度的不足可能会导致采集错误的温度数据计算压缩因子和吸附量,造成一定的实验误差。国内外实验室常用的温度传感器精度为0.1℃。通过误差分析可以看出(图6),对于页岩的甲烷吸附实验而言,温度传感器对吸附量的影响不是很明显,小于压力传感器的影响。当温度偏差+0.1℃、+1℃时页岩的吸附量与实际的吸附量相差不大。本文研究的结果与Gaspaik等[22]的认识基本一致,Gasparik等[22]指出对于页岩吸附甲烷实验,压力传感器引起的误差远大于温度传感器所引起的误差,同时还指出页岩吸附二氧化碳与其不同,当压力大于10MPa时,温度传感器所引起的误差大于压力传感器。因此,为了减少压力和温度传感器对页岩吸附量测量的影响,尽可能的使用高精度和稳定性的传感器,同时还应定期对传感器进行保养和修正,尤其是压力传感器,长期使用会出现一定的漂移。
图5 不同压力传感器精度对吸附量测定的影响
Fig.5 Diagram showing the effect of pressure sensor accuracy on the methane adsorption capacity measurement on shale
图6 温度传感器对页岩吸附量的影响
Fig.6 Diagram showing the effect of temperature sensor accur- acy on the methane adsorption capacity measurement on shale
2.4 空白测试
页岩等温吸附装置是由多个缸体、传感器、阀门以及控制系统组成,在吸附量测定过程中肯定存在一些上述影响因素之外的其他未知误差,如压力传感器未知的系统误差、EOS方程的误差、气体纯度以及氦气与甲烷气体的相互作用的影响等。通过空白吸附测试可以减小这些未知的误差对页岩吸附量测定的影响。空白测试就是利用等温吸附测量装置对没有吸附能力的物质或材料(如钢球等)在相同的条件下开展吸附实验。理论上讲,没有吸附能力的物质实验所得出的吸附量在任何压力下都应该为0,然后正是由于一些其他未知误差的影响,导致没有吸附能力的物质的等温吸附曲线并不是一条等于0的直线。以超低吸附能力的塔里木盆地奥陶系黑土凹组泥页岩为例开展等温吸附实验,吸附量的计算采用了Se-W气体状态方程,同时经过了自由空间体积和压力传感器的校正,在此条件下探讨空白测试对页岩吸附量的影响。研究发现(图7),空白测试中钢球的甲烷吸附线随压力增加呈逐渐降低的趋势,并在测试开始阶段吸附量的值就低于0。黑土凹组泥页岩的初始甲烷吸附量比较低,均不超过0.2cm3/g,可以看出样品的甲烷吸附量明显受到了一些未知系统误差的影响。通过空白测试校正(即最初吸附量测定结果扣除空白测试)后,样品甲烷吸附量均有所增加,高压条件下吸附量能增加一倍。空白测试和校正是页岩吸附量测定的重要组成部分,其引起的误差不小于气体状态方程和压力传感器,如果不进行此校正,页岩的吸附量就会被低估。但是,现在多数文献中报道的页岩吸附实验并没有进行空白测试和校正,需要引起广大学者的重视。
图7 空白测试对页岩吸附量的影响
Fig.7 Diagram showing the effect of blank test on the methane adsorption capacity measurement on shale
3 结论
(1)页岩的吸附能力低,对实验的参数和环境敏感,吸附气含量的测定主要受气体状态方程、自由空间体积、压力传感器和空白测试(未知系统误差)等影响. (2)对于页岩甲烷吸附量的测定,气体状态方程选择不恰当导致吸附量较大误差,压力越高相对误差越大;从适用性讲,Se-W方程最好,其次是S-R-K方程,最差的是P-R方程,建议页岩甲烷吸附量的测定实验中选用Se-W方程. (3)自由空间体积的测定误差会导致吸附量不准确,自由空间体积偏大,吸附量比实际减小;相反,如果自由空间体积偏小,吸附量结果比实际偏大,高压条件下对吸附量的影响更为明显. (4)压力传感器精度对吸附量的影响大于温度传感器。对比实验结果表明,万分之一压力传感器的等温吸附曲线优于千分之一精度。页岩吸附气含量的测定尽量选用高精度的压力和温度传感器. (5)空白测试校正可以消除一些未知的系统误差是页岩吸附量,未经过空白测试校正的页岩吸附量通常比实际吸附量低,可能会导致吸附量出现负值。空白测试校正是页岩吸附气含量测定过程中必不可少的部分。
参考文献(References)
[1] Brown S P A,Krupnick A.Abundant Shale Gas Resources:Long-Term Implications for U.S.Natural Gas Markets[J].Ssrn Electronic Journal,2010(dp-10-41):1-33.
[2] Iii K B M.Modeling the implications of expanded US shale gasproduction[J].Energy Strategy Reviews,2012,1(1):33-41.
[3] Weijermars R.US shale gas production outlook based on well roll-out rate scenarios[J].Applied Energy,2014,124(1):283-297.
[4] EIA.WorldShale Gas Resource:An Initial Assessment of 14 Regions outside the United States[R].www.eia.gov,2011:4-56.
[5] Jia Chengzao,Zheng Min,Zhang Yongfeng.Unconventional hydrocarbon resources in China and the prospect of exploration and development[J].Petroleum Exploration and Development,2012,39(2):129-136.[贾承造,郑民,张永峰.中国非常规油气资源与勘探开发前景[J].石油勘探与开发,2012,39(2):129-136.]
[6] DongDazhong,Zou Caineng,Yang Hua,et al.Progress and prospects of shale gas exploration and development in China[J].Acta Petrolei Sinica,2012,33(supplement1):107-114.[董大忠,邹才能,杨桦,等.中国页岩气勘探开发进展与发展前景[J].石油学报,2012,33(增刊1):107-114.]
[7] Gasparik M,Ghanizadeh A,Gensterblum Y,et al.“Multi-temperature” method for high-pressure sorption measurements on moist shales[J].Review of Scientific Instruments,2013,84(8):1-9.
[8] Ross D J K,Bustin R M.Impact of mass balance calculations on adsorption capacities in microporous shale gas reservoirs[J].Fuel,2007,86(17-18):2696-2706.
[9] Ross D J K,Bustin R M.Sediment geochemistry of the Lower Jurassic Gordondale member,northeastern British Columbia[J].Bulletin of Canadian Petroleum Geology,2006,54(4):337-365.
[10] Nie Haikuang,Zhang Jinchuang,Ma Xiaobin,et al.A preliminary study of negative adsorption phenomena of shale adsorption gas content by isothermal adsorption[J].Earth Science Frontiers,2013,20(6):282-288.[聂海宽,张金川,马晓彬,等.页岩等温吸附气含量负吸附现象初探[J].地学前缘,2013,20(6):282-288.]
[11] Ma Xingzhi,Song Yan,Liu Shaobo,et al.Quantitative research on adsorption capacity evolution of middle-high rank coal reservoirs in geological history:A case study from Hancheng area in Ordos Basin[J].Acta Petrolei Sinica,2014,35(6):1080-1084.[马行陟,宋岩,柳少波,等.中高煤阶煤储层吸附能力演化历史定量恢复——以鄂尔多斯盆地韩城地区为例[J].石油学报,2014,35(6):1080-1084.]
[12] Jiang Wenping,Zhang Qun,Li Jianwu.Coal reservoir properties and coalbed gas controlling factors of Jiaozuo coalfield[J].Natural Gas Geoscience,2009,20(3):442-445.[降文萍,张群,李建武.不同实验条件下 Langmuir体积随煤级变化机理研究[J].天然气地球科学,2009,20(3):442-445.]
[13] Krooss B M,Bergen F V,Gensterblum Y,et al.High-pressure methane and carbon dioxide adsorption on dry and moisture-equilibrated Pennsylvanian coals[J].International Journal of Coal Geology,2002,51(2):69-92.
[14] Wiliam D,Mcain Jr.Petroleum Fluids[M].Oklahoma:Penn Well Publishing Company,1990:22-35.
[15] QinJishun,Li Aifen.Physical Properties Petroleum Reservoir[M].Dongying:China University of Petroleum Press,2006:41-43.[秦积舜,李爱芬.油层物理学[M].东营:中国石油大学出版社,2006:41-43.]
[16] SY/T6132-1995.Determination of Methane Adsorption Quantity of Coal Rock.Volumetric Method[S].Beijing:China National Petroleum Company,1996.[SY/T6132-1995,煤岩中甲烷吸附量测定容量法[S].北京:中国石油天然气总公司,1996.]
[17] Redlich O,Kwong J.On the thermodynamics of solutions.V:An equation of state fugacities of gaseous solutions[J].Chemical Reviews,1949,44(1):233-244.
[18] Soave G.Equilibrium constants from a modifiedRedlich-Kwong equation of state[J].Chemical Engineering Science,1972,27(6):1197-1203.
[19] Robinson D B,Peng D,Chung S Y.The development of the Peng-Robinson equation and its application to phase equilibrium in a system containing methanol[J].Fluid Phase Equilibria,1985,24(1):25-41.
[20] Benedict M,Webb G B,Rubin L C.An empirical equation for thermodynamics properties of light hydrocarbons and their mixture[J].Journal of Physical Chemistry,1940(8):334-345.
[21] Setzmann U,Wagner W.A New Equation of State and Tables of Thermodynamic Properties for Methane Covering the Range from the Melting Line to 625 K at Pressures up to 100 MPa[J].Journal of Physical & Chemical Reference Data,1991,20(6):1061-1155.
[22] Gasparik M,Rexer T F T,Aplin A C,et al.First international inter-laboratory comparison of high-pressure CH4,CO2 and C2H6 sorption isotherms on carbonaceous shales[J].International Journal of Coal Geology,2014,132:131-146.







