×
模态框(Modal)标题
在这里添加一些文本
关闭
关闭
提交更改
取消
确定并提交
×
模态框(Modal)标题
×
ISSN 1672-1926
CN 62-1177/TE
RSS服务
|
Email Alert
Toggle navigation
首页
关于本刊
期刊简介
编委会
数据库收录情况
获奖情况
期刊在线
当期目录
优先出版
过刊浏览
阅读排行
下载排行
作者中心
征稿简则
投稿指南
写作模版
文字重合率自检
下载中心
道德声明
JNGGS
联系我们
English
图/表 详细信息
不同类型有机质生烃动力学特征——以渤海湾盆地KL⁃A构造为例
王晓东, 王波, 杨纪磊, 郝鹏, 程焱, 李阔
天然气地球科学, 2025, 36(
2
): 354-366. DOI:
10.11764/j.issn.1672-1926.2024.08.005
图5
渤海湾盆地KL
-
A构造烃源岩样品
E
均
与
E
m
关系
本文的其它图/表
图1
渤海湾盆地莱州湾凹陷区域位置(根据文献[
20
]修改)
表1
渤海湾盆地KL-A构造烃源岩样品基本信息及地球化学参数汇总
图2
渤海湾盆地KL
-
A构造古近系主力烃源岩热解
T
max
—
I
H
(a)及干酪根元素H/C—O/C原子比(b)关系
图3
开放体系下烃源岩样品热解过程的生烃动力学拟合结果
图4
渤海湾盆地KL
-
A构造烃源岩样品活化能分布
表2
渤海湾盆地KL-A构造不同烃源岩样品活化能参数的比较
图6
渤海湾盆地KL
-
A构造烃源岩平均活化能与镜质体反射率的关系
图7
渤海湾盆地KL
-
A构造烃源岩平均活化能与最大热解峰温度和氢指数的关系
图8
渤海湾盆地KL
-
A构造烃源岩平均活化能与不同显微组分含量及类型指数的关系
图9
渤海湾盆地KL
-
A构造烃源岩平均活化能与H/C、O/C原子比值的关系
图10
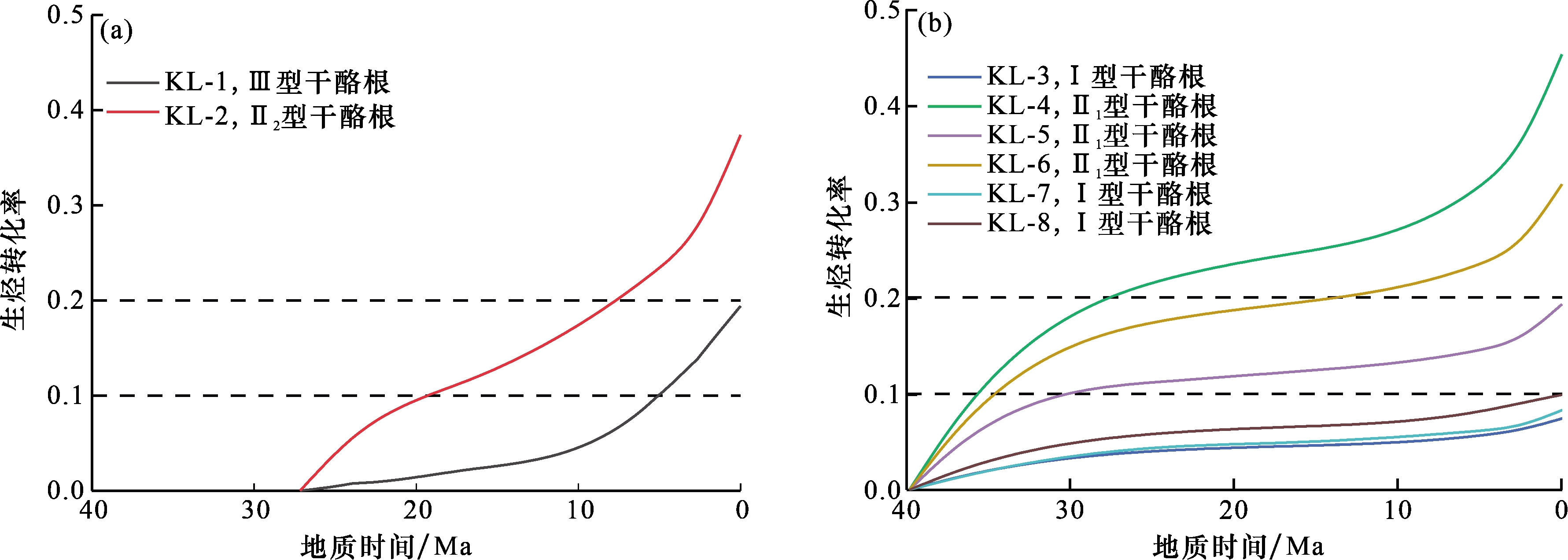
开放体系下不同类型干酪根动力学参数地质外推生烃转化率(升温速率3.3 ℃/Ma)
图11
不同类型干酪根动力学参数在莱州湾凹陷中央构造带的应用
(a)东三段;(b)沙三中段
图12
莱州湾凹陷中央构造带埋藏史(来自于文献[
42
])