0 引言
1 吸附势理论
1.1 吸附势定义函数
1.2 理想气体吸附势方程
2 页岩气超临界吸附势方程
2.1 超临界吸附势方程推导
2.2 吸附相压力
2.3 吸附特征曲线
2.4 绝对吸附量的校正
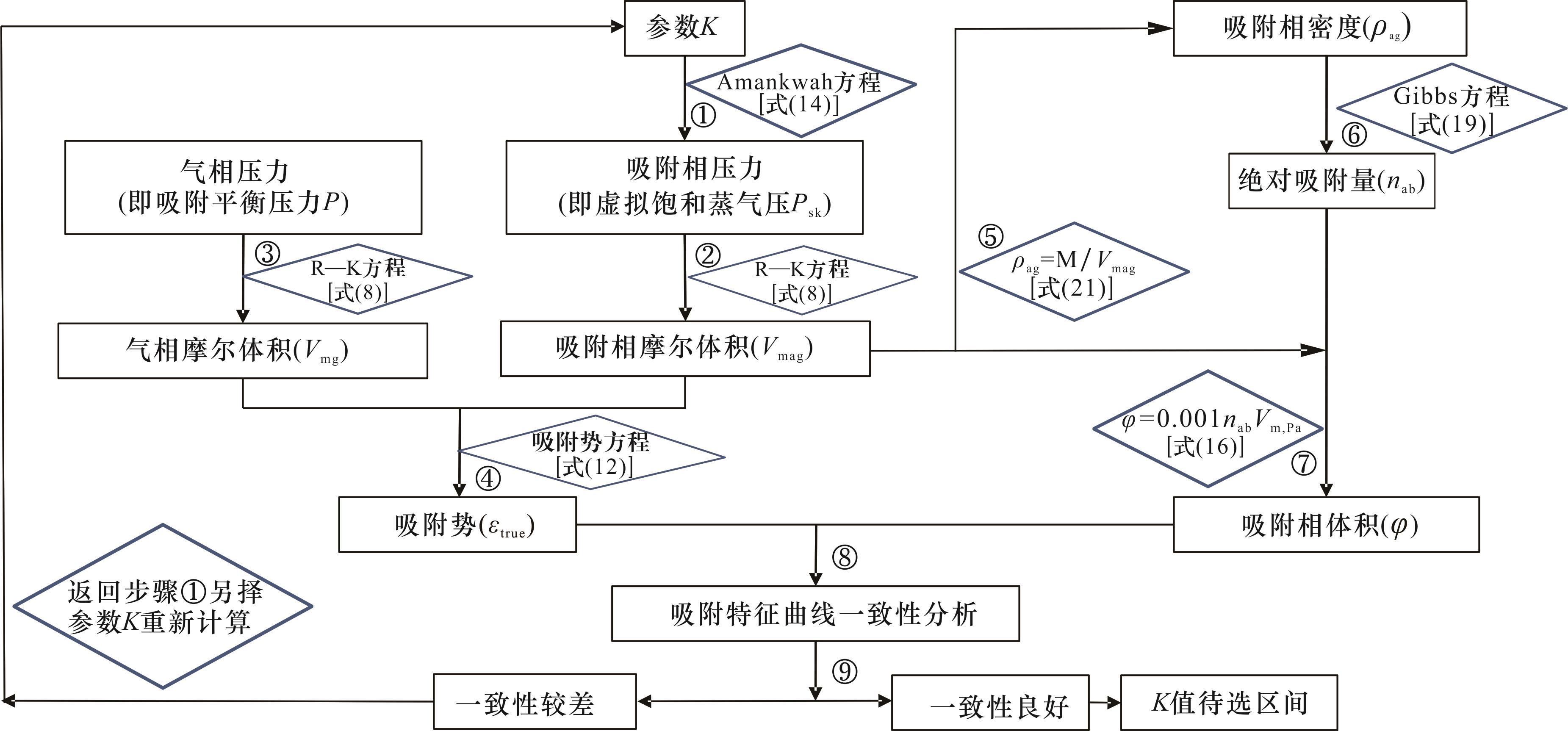
2.5 Amankwah方程中参数K的确定方法
2.5.1 基于吸附特征曲线一致性确定参数K值的待选区间
2.5.2 基于等温吸附曲线预测结果准确性确定最优K值
3 应用实例
3.1 页岩等温吸附实验数据
3.2 页岩吸附CH4体系的参数K值计算
表1 不同K值的吸附特征曲线的Langmuir EXT2方程拟合参数Table 1 Langmuir EXT2 equation fitting parameters for adsorption characteristic curves with different K values |
| K | a | b | c | R 2 |
|---|---|---|---|---|
| 2.4 | 6.164 74×10-5 | 0.018 31 | 2.187 47 | 0.995 40 |
| 2.5 | 6.089 5×10-5 | 0.018 5 4 | 2.183 90 | 0.995 26 |
| 2.6 | 6.802 92×10-5 | 0.025 49 | 2.301 26 | 0.999 38 |
| 2.7 | 5.934×10-5 | 0.018 66 | 2.174 23 | 0.994 98 |
| 2.8 | 5.854 11×10-5 | 0.018 54 | 2.168 28 | 0.994 82 |
| 2.9 | 5.773 14×10-5 | 0.018 31 | 2.161 76 | 0.994 61 |
| 3.0 | 5.691 42×10-5 | 0.017 99 | 2.154 82 | 0.994 31 |
| 3.1 | 5.609 28×10-5 | 0.017 60 | 2.147 64 | 0.993 88 |
| 3.2 | 5.527 03×10-5 | 0.017 15 | 2.140 41 | 0.993 28 |
| 3.3 | 5.444 96×10-5 | 0.016 67 | 2.133 29 | 0.992 44 |
| 3.4 | 5.363 34×10-5 | 0.016 16 | 2.126 49 | 0.991 29 |
| 3.5 | 5.282 44×10-5 | 0.015 65 | 2.120 17 | 0.989 77 |
| 3.6 | 5.202 44×10-5 | 0.015 16 | 2.114 52 | 0.987 79 |
| 3.7 | 5.123 56×10-5 | 0.014 69 | 2.109 72 | 0.985 27 |
| 3.8 | 5.045 93×10-5 | 0.014 26 | 2.105 95 | 0.982 11 |
| 3.9 | 4.969 68×10-5 | 0.013 89 | 2.103 40 | 0.978 23 |
| 4.0 | 4.894 92×10-5 | 0.013 57 | 2.102 25 | 0.973 52 |
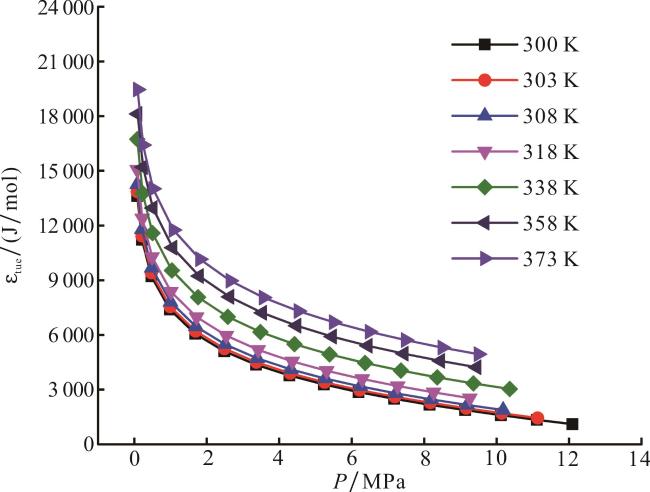
3.3 霍尔姆页岩吸附CH4的吸附相压力、吸附势与吸附特征曲线
图8 温度300~373 K范围内霍尔姆页岩吸附CH4的吸附相压力曲线Fig.8 Adsorption phase pressure curve of Holm shale adsorbing CH4 within the temperature range of 300-373 K |
4 讨论
4.1 理想气体与超临界气体吸附特征曲线的差异
4.2 理想气体与超临界气体吸附势的差异
图11 不同温度下理想气体吸附势与超临界态气体吸附势曲线(a)300 K;(b)303 K;(c)308 K;(d)318 K;(e)338 K;(f)358 K Fig.11 Curves of ideal gas adsorption potential at different temperatures and supercritical state gas adsorption potential |
表2 理想气体吸附势和超临界态气体吸附势曲线的拟合函数参数Table 2 The fitting function parameters of the adsorption potential curves of ideal gases and supercritical gases |
| 温度/K | 吸附势类型 | R 2 | |||
|---|---|---|---|---|---|
| 300 | 421 897.193 86 | -414 521.663 17 | 0.005 98 | 0.999 91 | |
| 420 617.891 04 | -414 521.666 05 | 0.005 98 | 0.999 91 | ||
| 303 | 412 711.563 38 | -405 163.932 81 | 0.006 19 | 0.999 92 | |
| 411 382.314 29 | -405 163.988 07 | 0.006 19 | 0.999 92 | ||
| 308 | 397 750.970 55 | -389 912.863 97 | 0.006 54 | 0.999 92 | |
| 396 336.308 07 | -389 912.846 21 | 0.006 54 | 0.999 92 | ||
| 318 | 374 152.110 31 | -365 719.806 49 | 0.007 21 | 0.999 93 | |
| 372 559.164 37 | -365 719.806 49 | 0.007 21 | 0.999 93 | ||
| 338 | 340 639.085 21 | -330 964.108 26 | 0.008 5 | 0.999 94 | |
| 338 658.354 31 | -330 964.100 8 | 0.008 5 | 0.999 94 | ||
| 358 | 306 220.387 34 | -295 230.404 36 | 0.010 11 | 0.999 95 | |
| 303 808.940 61 | -295 230.410 93 | 0.010 11 | 0.999 95 |

甘公网安备 62010202000678号