0 引言
1 方法
1.1 页岩干酪根纳米孔隙模型构建
1.2 模拟和计算细节
2 结果和讨论
2.1 纯组分氦气吸附特征
2.1.1 吸附能力
2.1.2 吸附热力学特征
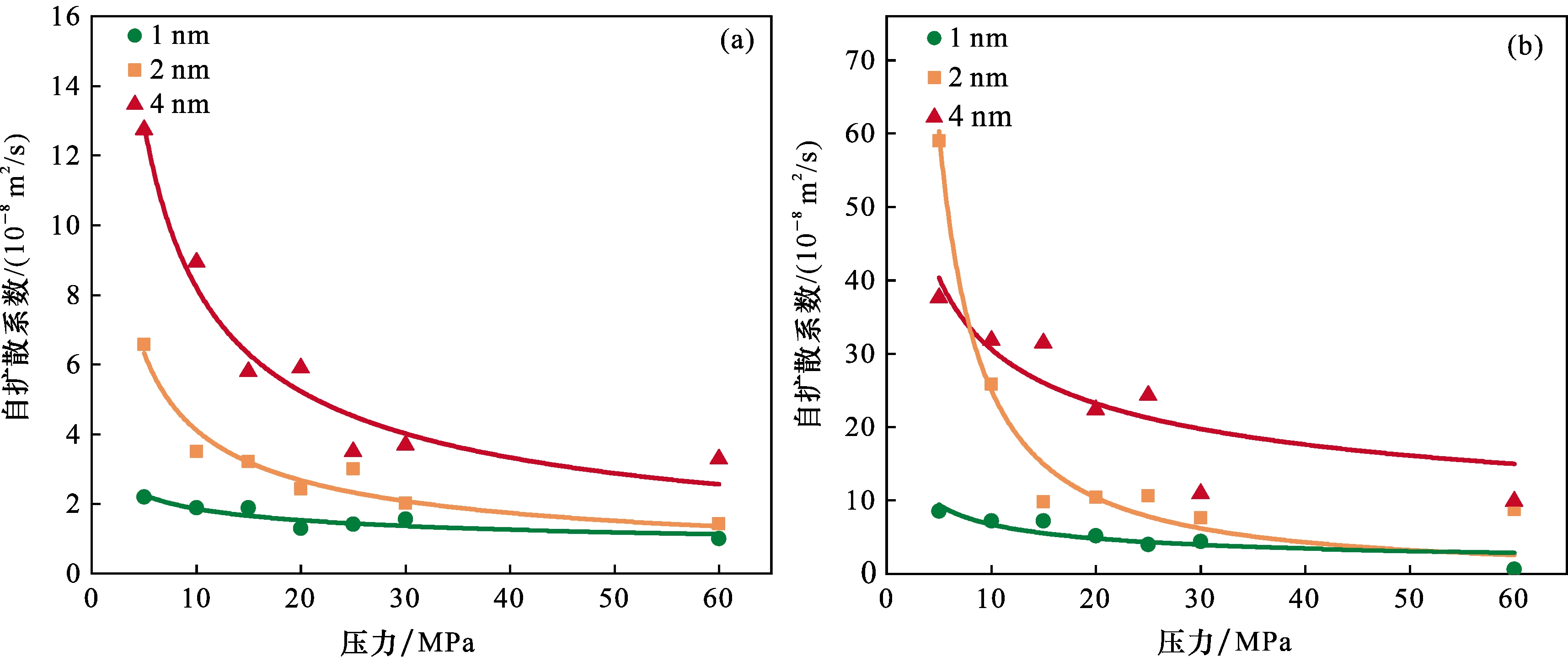
2.1.3 微观分布特征
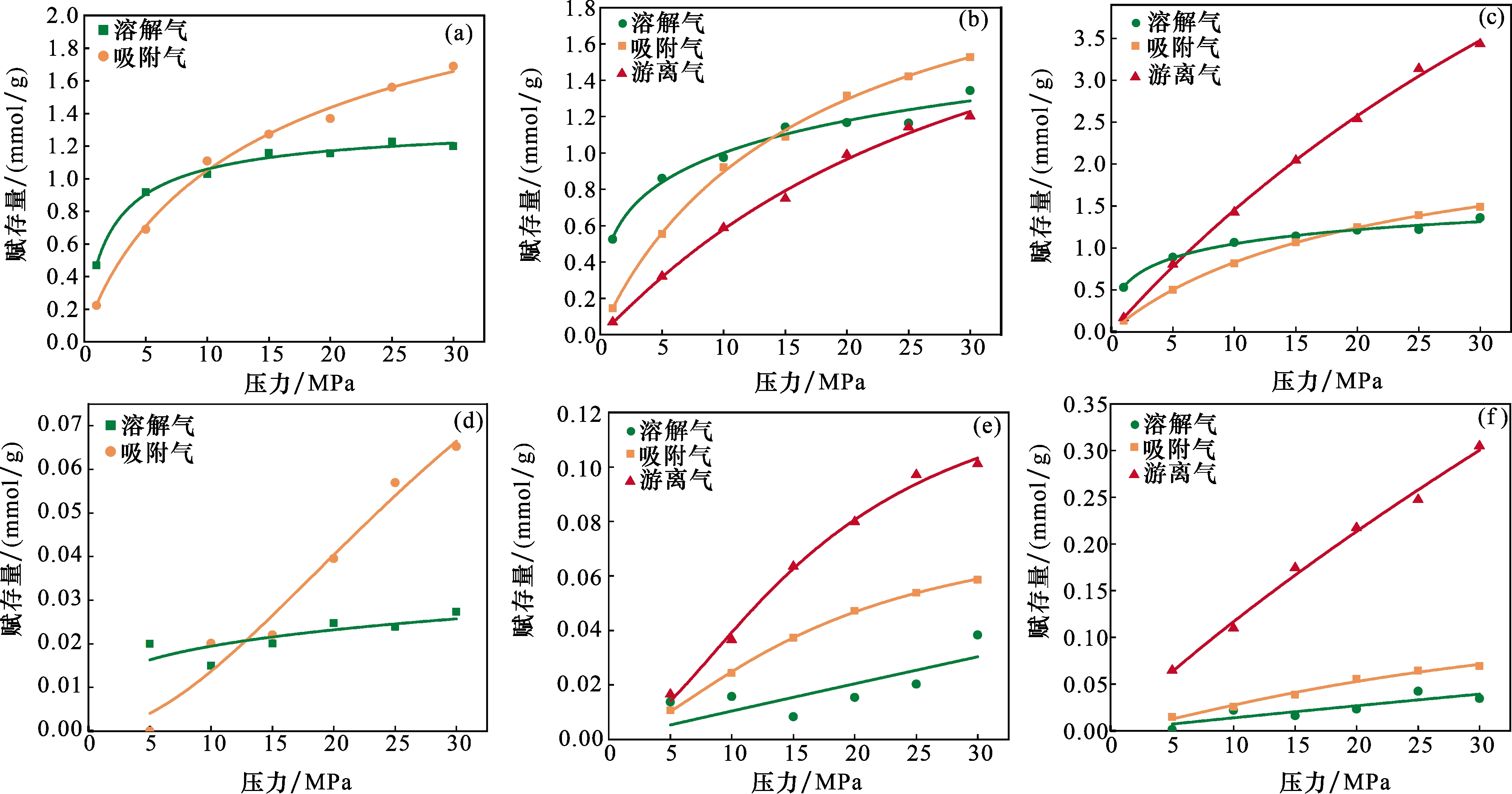
2.2 氦气和甲烷混合组分吸附特征
2.2.1 吸附能力
2.2.2 吸附热力学特征
2.2.3 微观分布特征
图8 沿干酪根狭缝孔模型Z方向混合气体中甲烷(a—c) 和氦气(d—f) 的密度分布曲线(a) 甲烷,1 nm; (b) 甲烷,2 nm; (c) 甲烷,4 nm; (d) 氦气,1 nm; (e) 氦气,2 nm; (f) 氦气,4 nm Fig.8 Density profiles of methane(a-c)and helium(d-f) in the binary mixture along the Z -direction of the kerogen slit model |

甘公网安备 62010202000678号