0 引言
1 地质背景
2 岩心及镜下特征
2.1 岩心特征
图2 三边地区长7段典型岩心照片(a)M20井,长7段,2 172.06 m,黑色泥页岩,泥质纯,页理局部发育;(b)M6井,长7段,2 090.17 m,深灰色泥岩,页理不发育;(c)M20井,长7段,2 160.10 m,油斑粉砂岩,可见石油浸出;(d)B1井,长7段, 1 886.39 m, 灰黄色凝灰岩,疏松,层理发育;(e)M20井,长7段,2 177.9 m,粉砂岩,断面上见鱼鳞化石;(f)H173井,长7段,2 152.79 m,灰黑色泥页岩,局部页理发育 Fig.2 Typical photos of core in Chang 7 Member, Sanbian area |
2.2 镜下特征
3 生烃潜力评价
3.1 有机质类型
表1 三边地区长7段泥页岩有机质类型Table 1 The organic matter types of mud shale in Chang 7 Member, Sanbian area |
| 井号 | 顶深/m | 无定形/% | 壳质组/% | 惰质组/% | 镜质组/% | 类型指数 | 干酪根类型 |
|---|---|---|---|---|---|---|---|
| X36 | 2 175 | 90.40 | 0.80 | 2.20 | 83.70 | Ⅰ | |
| X36 | 2 175.40 | 98.40 | 97.20 | Ⅰ | |||
| X20 | 2 012.60 | 92.20 | 4.00 | 2.00 | 90.85 | Ⅰ | |
| X20 | 2 012.80 | 90.40 | 7.70 | 1.00 | 91.95 | Ⅰ | |
| X20 | 2 012.90 | 93.20 | 2.40 | 2.60 | 90.45 | Ⅰ | |
| D50 | 2 167.90 | 67.00 | 2.00 | 41.75 | Ⅱ1 | ||
| H169 | 1 849.77 | 81.27 | 0.37 | 18.35 | 67.69 | Ⅱ1 | |
| H169 | 1 852.48 | 67.50 | 7.50 | 25.00 | 52.50 | Ⅱ1 | |
| H169 | 1 856.98 | 44.85 | 2.21 | 0.37 | 52.57 | 6.16 | Ⅱ2 |
| Y19 | 1 988.70 | 86.82 | 4.65 | 75.77 | Ⅱ1 | ||
| Y32 | 1 934.50 | 88.00 | 3.00 | 35.01 | Ⅱ2 | ||
| Y50 | 1 777.60 | 51.20 | 3.20 | 11.20 | 15.80 | Ⅱ2 | |
| Y76 | 1 979.61 | 77.78 | 11.48 | 0.74 | 10.00 | 75.28 | Ⅱ1 |
| M20 | 2 171.9 | 84.78 | 6.54 | 8.18 | 85.40 | Ⅰ | |
| M20 | 2 172.9 | 65.55 | 12.03 | 15.30 | 7.05 | 70.30 | Ⅱ1 |
| M20 | 2 177.6 | 38.12 | 13.25 | 30.08 | 18.43 | 30.68 | Ⅱ2 |
| M10 | 2 067.9 | 21.22 | 38.15 | 25.10 | 15.53 | 21.29 | Ⅲ |
图4 三边地区干酪根典型镜下照片(a)H174井,2 182.78 m,藻类体;(b) H176井,2 270.95 m,藻类体;(c)M20井,2 171.90 m,富氢组分;(d)H176井,2 270.95 m,镜质体、壳质体;(e)M10井,2 067.90 m,壳质体、孢粉体;(f)M20井,2 169.85 m,镜质体;(g)M20井,2 169.85 m,壳质体;(h)M20井,2 177.60 m,无定形体、壳质体;(i)M10井,2 067.90 m,壳质体 Fig.4 Typical photos of kerogen under microscope, Sanbian area |
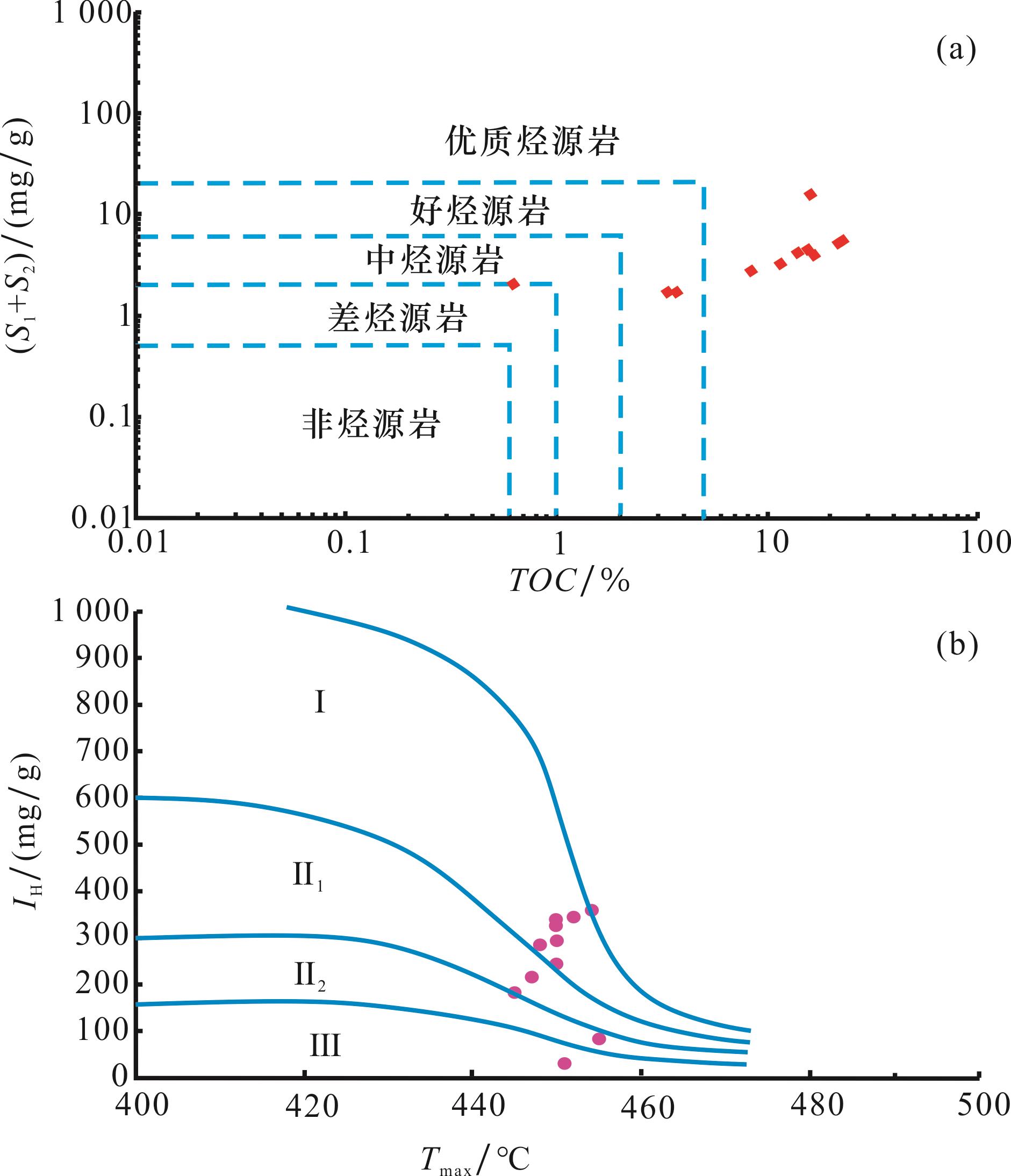
图5 三边地区有机质丰度评价(a)和有机质类型(b)的岩石热解测试结果Fig.5 Evaluation of organic matter abundance (a) and rock pyrolysis test results of organic matter types (b) in sanbian area |
图6 M20井长7段单井沉积相柱状图Fig.6 The single well sedimentary facies histogram of Chang 7 Member in Well M20 |
图7 三边地区长7段烃源岩多井对比结果Fig.7 Multi-well comparison results of Chang 7 Member source rock in Sanbian area |
3.2 有机质丰度
表2 三边地区长7段泥页岩有机质丰度测试结果Table 2 Test results of organic matter abundance from mud shale in Chang 7 Member, Sanbian area |
| 井号 | 顶深/m | T max/℃ | S 1 /(mg/g) | S 2 /(mg/g) | S 3(CO2) /(mg/g) | TOC/% | I H/(mg/g) | I O /(mg/g) | (S 1+S 2) /(mg/g) | 氯仿沥青“A” /% |
|---|---|---|---|---|---|---|---|---|---|---|
| X185 | 1 937.88 | 450 | 1.97 | 9.56 | 0.02 | 3.25 | 294.154 | 0.615 | 11.53 | 0.37 |
| T16 | 1 928.00 | 445 | 0.14 | 3.22 | 0.01 | 1.74 | 185.057 | 0.575 | 3.36 | 0.20 |
| T19 | 1 933.00 | 447 | 0.14 | 3.59 | 0.02 | 1.68 | 213.69 | 1.19 | 3.73 | 0.18 |
| T32 | 1 918.00 | 451 | 0.01 | 0.62 | 0.02 | 2.02 | 30.693 | 0.99 | 0.63 | 0.21 |
| X20 | 2 012.60 | 450 | 0.79 | 14.85 | 0.26 | 4.56 | 325.66 | 5.7 | 15.64 | 0.40 |
| X20 | 2 012.80 | 450 | 0.89 | 15.10 | 0.22 | 4.48 | 337.05 | 4.91 | 15.99 | 0.50 |
| X20 | 2 012.90 | 448 | 0.67 | 7.72 | 0.24 | 2.73 | 282.78 | 8.79 | 8.39 | 0.49 |
| X36 | 2 175.40 | 452 | 4.34 | 18.86 | 0.16 | 5.49 | 343.53 | 2.91 | 23.20 | 1.11 |
| X36 | 2 175.00 | 454 | 3.56 | 18.67 | 0.27 | 5.21 | 358.35 | 5.18 | 22.23 | 1.16 |
| M20 | 2 172.06 | 455 | 2.93 | 13.25 | 0.10 | 15.83 | 83.70 | 6.32 | 16.18 | 0.85 |
| M20 | 2 174.76 | 450 | 3.97 | 10.11 | 0.11 | 4.17 | 242.45 | 26.38 | 14.08 | 0.90 |
| M20 | 2 177.46 | 454 | 2.66 | 14.12 | 0.11 | 3.93 | 359.29 | 27.99 | 16.78 | 0.80 |
3.3 有机质成熟度
表3 三边地区长7段泥页岩镜质体反射率(R O)测定结果Table 3 Measurement results of vitrinite reflectance (R O) of mud shale in Chang 7 Member, Sanbian area |
| 井号 | 层位 | 深度/m | R O平均值/% | R O反射率分布范围/% | 标准差 | 测点数/个 | 室温/℃ | 样品类型 |
|---|---|---|---|---|---|---|---|---|
| M20 | 长73亚段 | 2 155.3 | 0.75 | 0.65~0.88 | 0.101 | 30 | 20 | 泥岩 |
| M20 | 长73亚段 | 2 169.85 | 0.78 | 0.59~0.91 | 0.306 | 30 | 20 | 泥岩 |
| M20 | 长73亚段 | 2 171.9 | 0.76 | 0.61~0.81 | 0.089 | 30 | 20 | 泥岩 |
| M20 | 长73亚段 | 2 172.9 | 0.80 | 0.75~0.87 | 0.099 | 30 | 20 | 泥岩 |
| M20 | 长73亚段 | 2 177.6 | 0.82 | 0.68~0.95 | 0.212 | 30 | 20 | 泥岩 |
| H176 | 长73亚段 | 2 270.95 | 0.92 | 0.85~1.06 | 0.136 | 30 | 20 | 泥岩 |
| M10 | 长73亚段 | 2 067.9 | 0.81 | 0.76~0.93 | 0.149 | 30 | 20 | 泥岩 |
| H174 | 长71亚段 | 2 182.78 | 0.68 | 0.52~0.82 | 0.188 | 30 | 20 | 泥岩 |
| H173 | 长73亚段 | 2 156.76 | 0.71 | 0.66~0.78 | 0.123 | 30 | 20 | 泥岩 |

甘公网安备 62010202000678号