0 引言
1 地质背景与煤质特征
1.1 煤层发育地质背景
1.2 煤质特征
表1 鄂尔多斯盆地本溪组8#煤岩工业组分Table 1 Industrial components of No.8 coal rock in Benxi Formation, Ordos Basin |
| 层位 | 煤层 | 水分/% | 灰分/% | 挥发分/% | 固定碳/% |
|---|---|---|---|---|---|
| 本溪组 | 8#煤 |
|
2 样品信息及实验测试方法
3 煤岩地球化学特征
3.1 有机质丰度
3.2 有机质类型
3.3 有机质成熟度
4 煤岩储层及含气性特征
4.1 煤岩储层特征
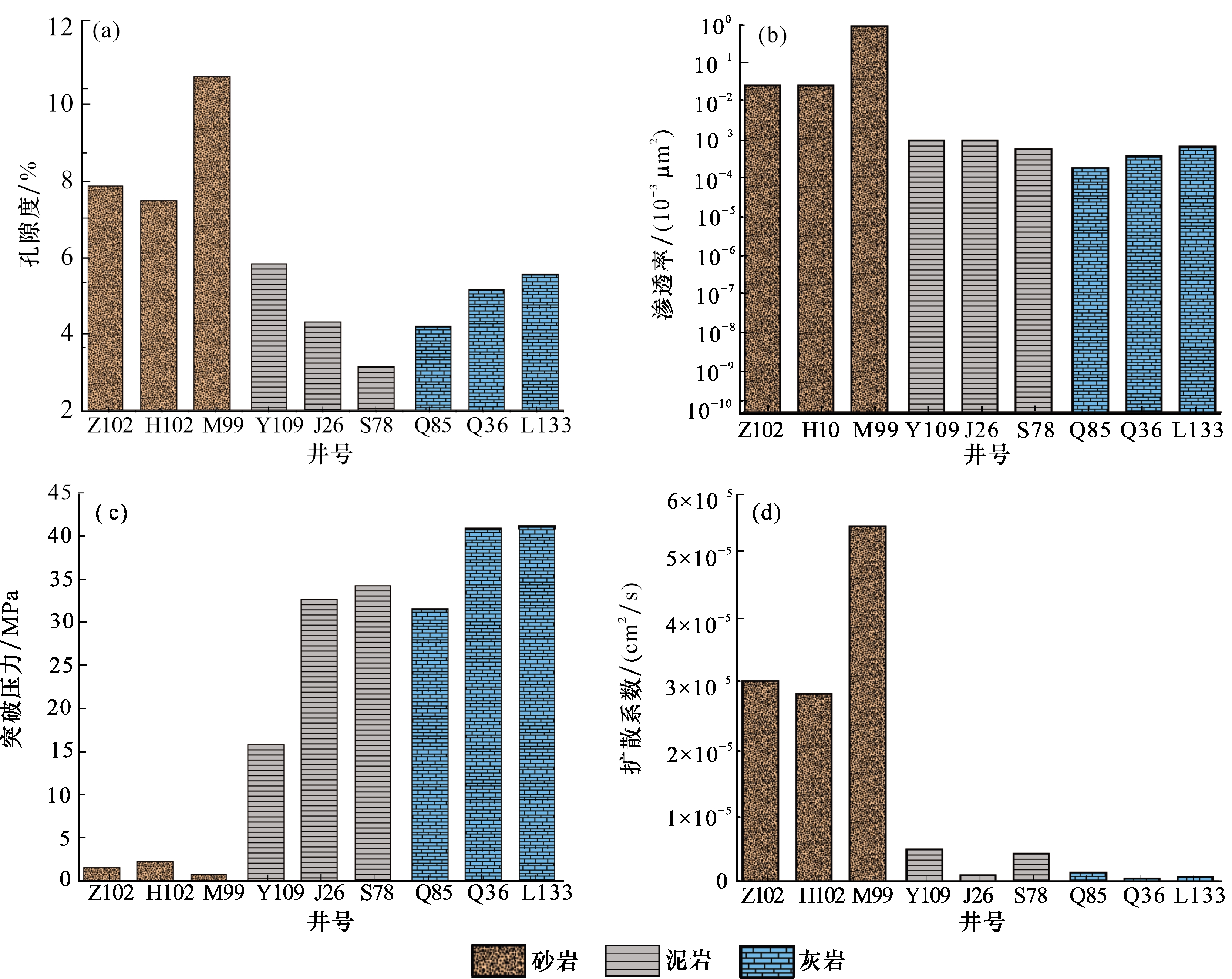
4.1.1 储层物性特征
4.1.2 煤岩孔隙类型
图6 鄂尔多斯盆地本溪组8#煤岩孔隙类型扫描电镜和岩心照片(a)气孔和微裂隙,S55井,2 177.7 m;(b). 气孔和变形胞腔孔,S96井,2 454.85 m;(c) 气孔和变形胞腔孔,S96井,2 453.5 m;(d)变形胞腔孔和微裂隙,S116井,2 132 m;(e)丝质体,被矿物充填,Q85井,2 634.9 m;(f) 图e放大,可见充填矿物中存在裂隙和矿物晶间孔;(g)割理发育,方解石填充,Y88井,2 510 m;(h)割理及裂缝发育,裂缝被方解石填充,M109井,3 774.95 m;(i)割理发育,ZT2H井,2 677.75 m Fig.6 Scanning electron microscope photos and core photos of pore types of No.8 coal rock in Benxi Formation of Ordos Basin |
4.1.3 煤岩孔隙结构特征
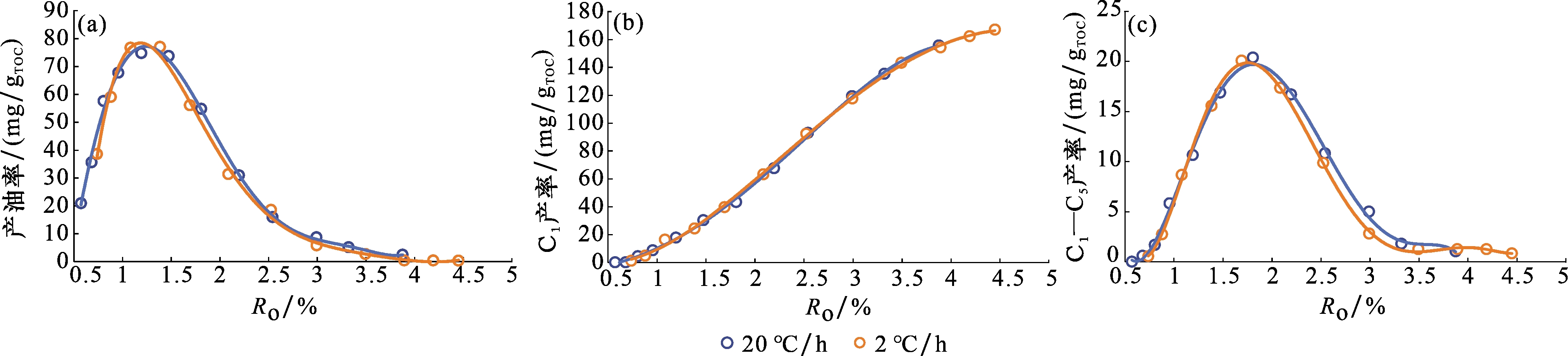
4.2 煤岩含气性特征
5 煤岩气富集控制因素
5.1 生气能力强,产气周期长,为煤岩气富集奠定了物质基础
5.2 有机质微孔和割理裂缝发育,储集性能好,控制了煤岩气赋存特征
5.3 不同岩性组合封闭性能的差异控制了煤岩气差异富集
图12 鄂尔多斯盆地8#煤岩顶板岩性组合模式(a)Q32井,3 260 m,煤—砂组合模式;(b)M109井,2 352.8 m,煤—砂组合模式;(c)H10井,2 055 m,煤—砂组合模式;(d)Y88井,2 504 m,煤—泥组合模式;(e)JT3井,2 952 m,煤—砂组合模式;(f)S78井,2 353 m,煤—泥组合模式;(g)J26井,3 100 m,煤—泥组合模式;(h)Q36井,2 801 m,煤—灰组合模式;(i)L133井,3 860 m,煤—灰组合模式 Fig.12 Lithological combination mode of No. 8 coal and rock roof in Ordos Basin |

甘公网安备 62010202000678号