0 引言
1 模型与方法
1.1 矿物结构模型
1.2 势能函数
表1 各原子对应的力场参数Table 1 Potential energy parameters of each atom |
| 物质 | 分子式 | 原子类型 | m/(g/mol) | q/e | ε/(kcal/mol) | σ/Å |
|---|---|---|---|---|---|---|
| 高岭石 | Al4Si4O10(OH)8 | St | 28.086 | 2.100 | 1.84×10-6 | 3.302 |
| Ao | 26.982 | 1.575 | 1.33×10-6 | 4.271 | ||
| Ob | 15.999 | -1.050 | 0.155 4 | 3.165 5 | ||
| Oh | 15.999 | -0.950 | 0.155 4 | 3.165 5 | ||
| Ho | 1.0080 | 0.425 | 0 | 0 | ||
| 蒙脱石 | CaMg2Al6Si16O48H8 | St | 28.086 | 2.100 | 1.84×10-6 | 3.302 |
| Ao | 26.982 | 1.575 | 1.33×10-6 | 4.271 | ||
| Mg | 24.305 | 2.0 | 9.03×10-7 | 5.264 3 | ||
| Ca | 40.078 | 2.0 | 0.100 0 | 2.871 99 | ||
| Ob | 15.999 | -1.050 | 0.155 4 | 3.165 5 | ||
| Obos | 15.999 | -1.180 8 | 0.155 4 | 3.165 5 | ||
| Oh | 15.999 | -0.950 | 0.155 4 | 3.165 5 | ||
| Ohs | 15.999 | -1.080 8 | 0.155 4 | 3.165 5 | ||
| Ho | 1.008 0 | 0.425 | 0 | 0 | ||
| 石膏 | CaSO4·2H2O | Ca | 40.078 | 1.7 | 0.22 | 2.76 |
| S | 32.065 | 0.5 | 0.3 | 3.74 | ||
| Osulfate | 15.999 | -0.55 | 0.12 | 3.03 | ||
| Hw | 1.008 | 0.41 | 0 | 0 | ||
| Ow | 15.999 | -0.82 | 0.155 | 3.165 | ||
| 岩盐 | NaCl | Na | 22.990 | 0.85 | 0.351 9 | 2.217 37 |
| Cl | 35.453 | -0.85 | 0.018 385 | 4.849 06 | ||
| 方解石 | CaCO3 | Ca | 40.078 | 1.668 | 0.478 1 | 2.37 |
| C | 12.011 | 0.999 | 0.088 2 | 3.823 | ||
| O | 15.999 | -0.889 | 0.139 1 | 3.091 | ||
| 氦气 | He | He | 4.003 | 0 | 0.021 8 | 2.640 |
| 甲烷 | CH4 | CT | 12.011 | -0.240 | 0.066 0 | 3.500 |
| HC | 1.008 | 0.060 | 0.030 0 | 2.500 | ||
| 氮气 | N2 | N | 14.007 | 0 | 0.071 5 | 3.310 |
| 水 | H2O | O* | 15.999 | -0.847 6 | 0.155 4 | 3.165 5 |
| H* | 1.008 | 0.423 8 | 0 | 0 |
1.3 模拟设置
2 氦气在盖层孔隙中的吸附、扩散与流动
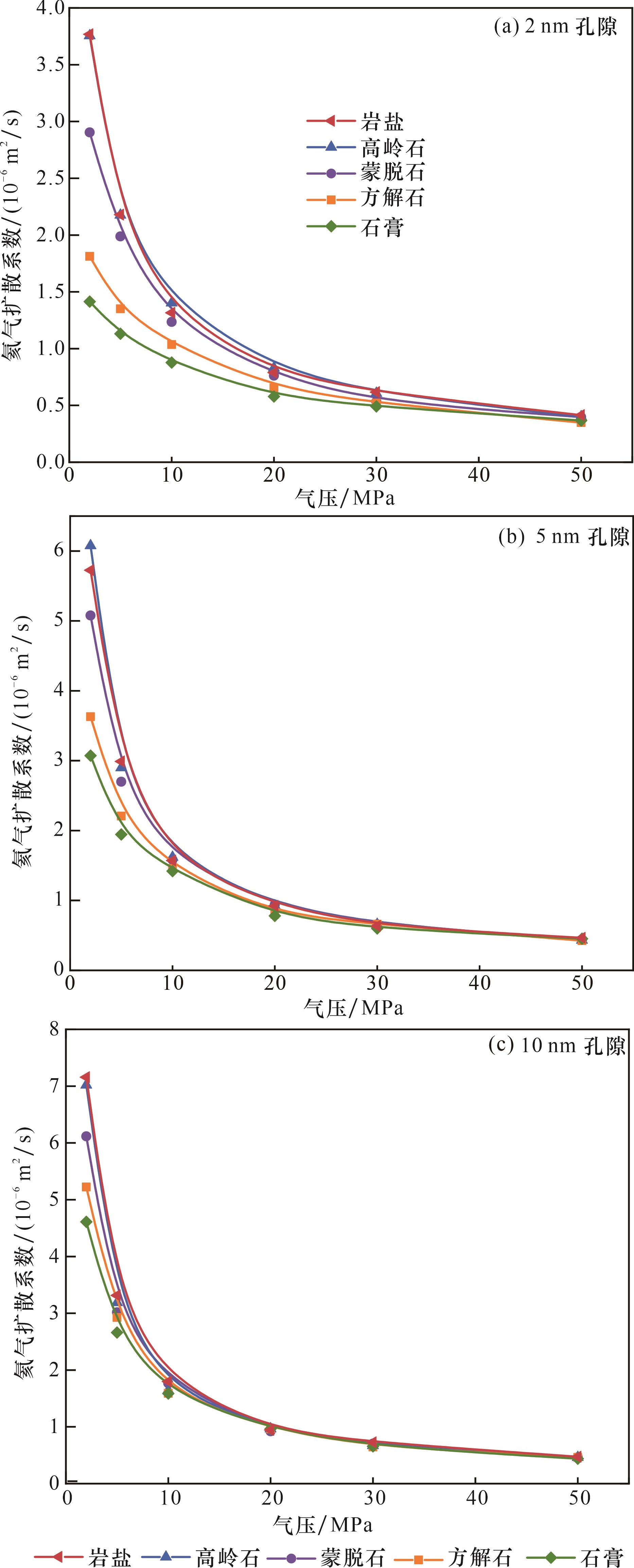
2.1 氦气吸附与扩散
2.2 氦气的定向流动
2.3 实际盖层孔喉中氦气的扩散
3 伴生气体对氦气封闭的影响
3.1 甲烷与氮气的扩散
3.2 盖层孔隙中的甲烷对氦气扩散的影响
图9 几种盖层孔隙中氦气和甲烷沿z方向的分子数量密度分布[孔径为2 nm,总气压5 MPa。图中x(He)指氦气、甲烷混合气中氦气所占的体积比例]Fig.9 The molecular number density distribution of helium and methane along the z-direction in several caprock pores. [the pore size is 2 nm, and the total pressure is 5 MPa. In the figure, x(He) refers to the volume proportion of helium in the mixture of helium and methane] |
3.3 孔隙水对盖层密封性的影响
图11 高岭石孔隙中含有不同比例的水时,氦气与水的赋存状态[从左到右,孔隙含水量分别为10%、30%、50%、70%、90%、100%。孔隙直径为 2 nm (a) 和5 nm (b)]Fig.11 The occurrence states of helium and water in kaolinite pores with varying water contents [from left to right, the pore water content is 10%,30%,50%,70%,90%,and 100%,respectively. The pore apertures are 2 nm(a) and 5 nm(b)] |

甘公网安备 62010202000678号