0 引言
1 地质背景
2 实验样品及方法
2.1 实验样品
表1 岩样基础物性测试结果Table 1 Test results of basic physical properties of rock samples |
| 岩性 | 深度/m | 密度/(g/cm3) | 孔隙度/% | 渗透率/(10-3 μm2) | 横波速度/(m/s) | 纵波速度/(m/s) |
|---|---|---|---|---|---|---|
| 砂屑白云岩 | 4 386.21 | 2.53 | 2.24 | 0.004 8 | 2 644.92 | 4 830.07 |
| 砂屑白云岩 | 4 386.26 | 2.53 | 2.75 | 0.006 5 | 2 647.89 | 4 885.32 |
| 砂屑白云岩 | 3 027.9 | 2.51 | 3.91 | 0.008 6 | 2 602.53 | 4 842.66 |
| 泥质石灰岩 | 3 728.9 | 2.51 | 2.00 | 0.003 2 | 2 736.94 | 4 790.06 |
| 泥质石灰岩 | 3 269.17 | 2.45 | 3.12 | 0.003 5 | 2 700.22 | 4 794.78 |
| 泥质石灰岩 | 3 283.6 | 2.49 | 2.88 | 0.004 6 | 2 740.75 | 4 749.05 |
| 泥质粉砂岩 | 3 480.3 | 2.41 | 3.45 | 0.005 6 | 2 705.66 | 4 669.87 |
| 泥质粉砂岩 | 3 282.7 | 2.40 | 2.15 | 0.002 2 | 2 663.10 | 4 596.74 |
| 泥质粉砂岩 | 3 341.8 | 2.48 | 1.72 | 0.001 2 | 2 602.00 | 4 634.80 |
| 粉砂质泥岩 | 4 361.5 | 2.50 | 2.71 | 0.005 2 | 2 579.21 | 4 514.91 |
| 粉砂质泥岩 | 4 361.56 | 2.51 | 3.20 | 0.007 6 | 2 593.66 | 4 691.35 |
| 粉砂质泥岩 | 4 361.59 | 2.50 | 3.22 | 0.007 2 | 2 448.99 | 4 579.85 |
| 泥岩 | 3 594.5 | 2.40 | 2.64 | 0.002 4 | 2 546.12 | 4 629.94 |
| 泥岩 | 3 627.3 | 2.39 | 2.67 | 0.002 5 | 2 458.08 | 4 517.87 |
| 泥岩 | 4 396.91 | 2.43 | 1.12 | 0.001 4 | 2 519.20 | 4 453.50 |
2.2 实验仪器及方法
2.2.1 XRD全岩分析测试
2.2.2 岩石力学测试
3 岩石力学特征及预测方法
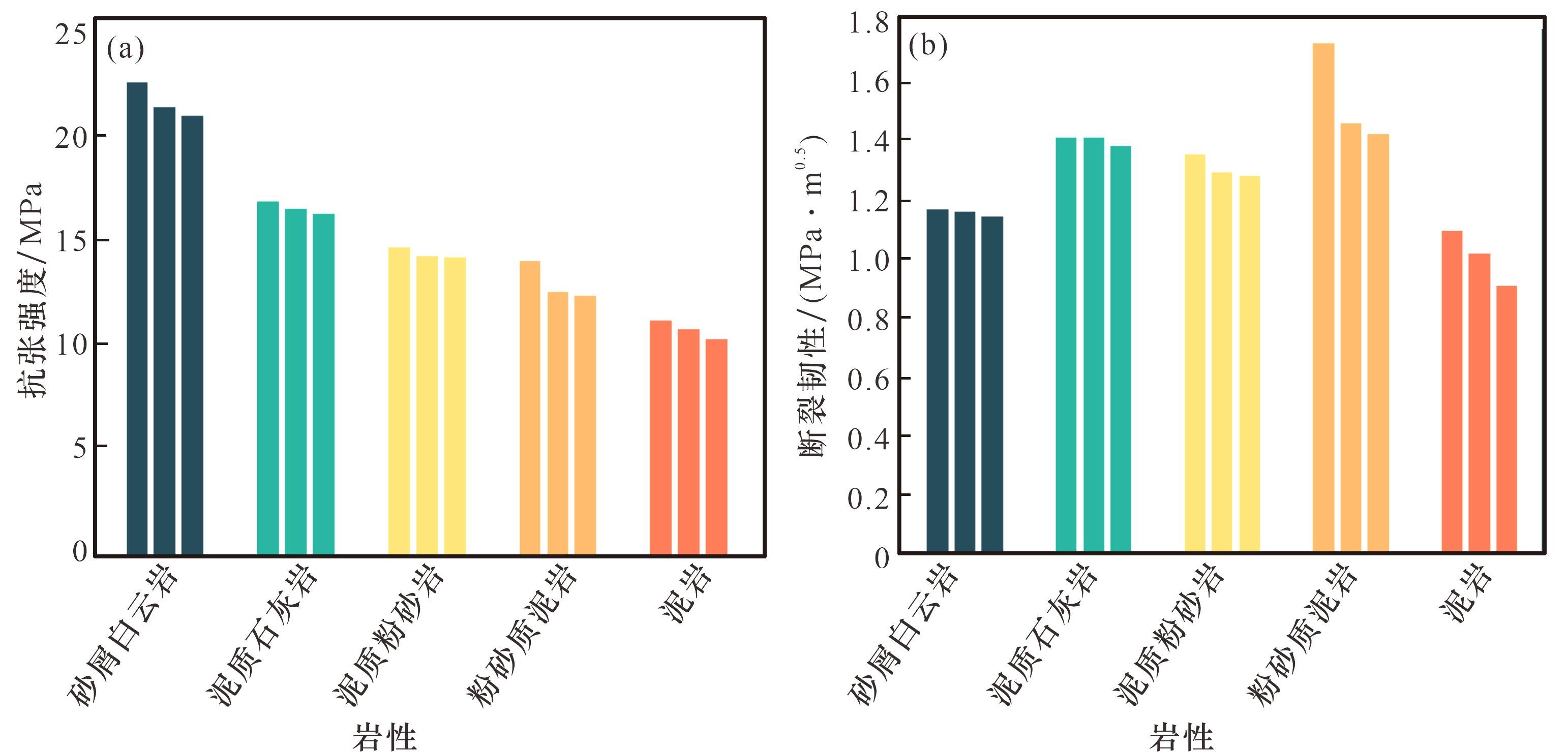
3.1 岩石力学及破坏特征
3.2 岩石力学参数影响因素分析
3.3 岩石力学预测模型
表2 不同岩石力学参数预测模型Table 2 Prediction models for different rock mechanics parameters |
| 预测参数 | 预测模型 |
|---|---|
| 单轴抗压强度 | |
| 抗张强度 | |
| 弹性模量 | |
| 泊松比 | |
| 内聚力 | |
| 内摩擦角 | |
| 断裂韧性 |
|

甘公网安备 62010202000678号