0 引言
1 区域地质概况
2 下沟组页岩岩相分类及特征
2.1 矿物组成特征
2.2 沉积构造
2.3 岩相分类
3 主要岩相基本特征及储集层特征
3.1 云质页岩相
3.1.1 富有机质纹层状云质页岩
表1 青西凹陷下沟组不同岩相孔隙结构参数Table 1 Pore structure parameters of different lithofacies in Xiagou Formation, Qingxi Sag |
| 样品编号 | 岩相 | 总孔隙体积 /(mg/g) | 孔隙体积/(mg/g) | 孔隙体积占比/% | 平均孔径 /nm | ||||
|---|---|---|---|---|---|---|---|---|---|
| 微孔 | 介孔 | 宏孔 | 微孔 | 介孔 | 宏孔 | ||||
| 17-36 | 富有机质块状长英质页岩 | 0.139 0 | 0.015 7 | 0.046 0 | 0.077 3 | 11.27 | 33.12 | 55.61 | 56.15 |
| 10-26 | 富有机质脉状云质页岩 | 0.196 7 | 0.009 5 | 0.030 4 | 0.156 8 | 4.84 | 15.46 | 79.70 | 110.26 |
| 10-38 | 0.076 5 | 0.003 7 | 0.018 5 | 0.054 3 | 4.86 | 24.14 | 71.00 | 102.38 | |
| 23-8 | 含有机质块状云质页岩 | 0.119 4 | 0.006 0 | 0.064 8 | 0.048 6 | 5.00 | 54.31 | 40.69 | 42.63 |
| 19-83 | 0.205 3 | 0.007 5 | 0.160 9 | 0.037 0 | 3.64 | 78.35 | 18.01 | 23.03 | |
| 22-57 | 0.133 3 | 0.005 6 | 0.094 8 | 0.032 9 | 4.17 | 71.13 | 24.70 | 31.81 | |
| 10-36 | 富有机质斑点状云质页岩 | 0.097 9 | 0.007 1 | 0.039 0 | 0.051 9 | 7.23 | 39.79 | 52.98 | 66.28 |
| 14-46 | 0.171 3 | 0.047 8 | 0.068 5 | 0.055 1 | 28.73 | 39.97 | 32.14 | 38.34 | |
| 20-11 | 富有机质纹层状云质页岩 | 0.060 2 | 0.005 4 | 0.025 0 | 0.029 8 | 8.92 | 41.50 | 49.58 | 71.25 |
| 14-2 | 含有机质块状混合质页岩 | 0.130 2 | 0.006 6 | 0.068 5 | 0.055 1 | 7.12 | 49.28 | 43.60 | 49.70 |
| 24-55 | 含有机质含砾混合质页岩 | 0.197 2 | 0.002 4 | 0.087 2 | 0.107 7 | 1.22 | 44.19 | 54.58 | 40.80 |
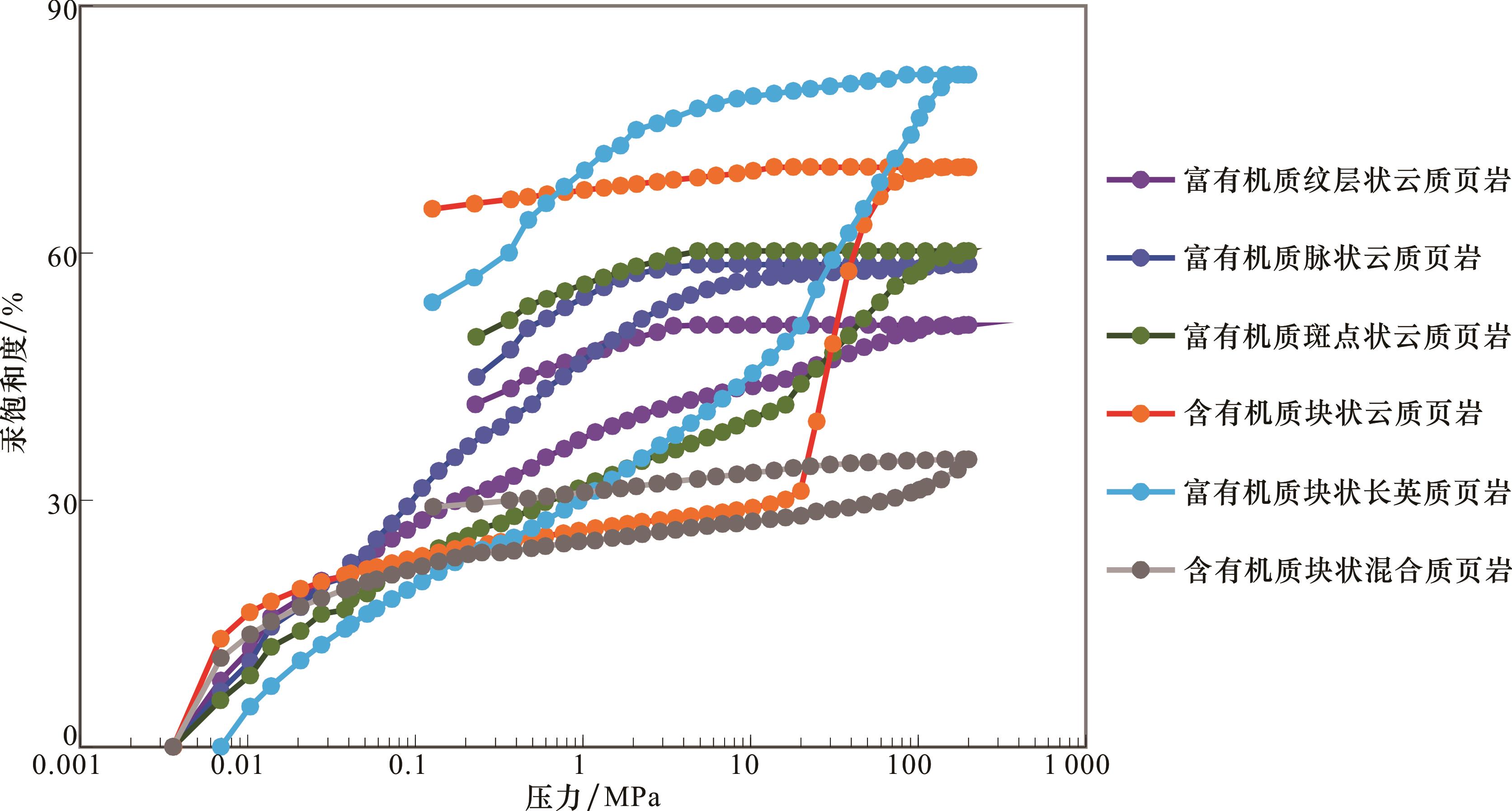
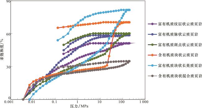
图6 青西凹陷下沟组主要岩相高压压汞进汞—退汞曲线Fig.6 High-pressure mercury injection-withdrawal curves of major lithofacies in Xiagou Formation, Qingxi Sag |

甘公网安备 62010202000678号