非常规天然气

鄂尔多斯盆地东缘临兴地区深层煤层气成藏条件及主控因素

  • 米洪刚 , 1, 2 ,
  • 朱光辉 1, 2 ,
  • 吴见 1, 2 ,
  • 张守仁 1, 2 ,
  • 施辉 , 3, 4, 5 ,
  • 晁巍巍 1 ,
  • 冯兴强 3 ,
  • 周磊 3 ,
  • 杨勇 3
展开
  • 1. 中联煤层气有限责任公司,北京 100015
  • 2. 三气共采省技术创新中心,山西 太原 030000
  • 3. 中国地质科学院地质力学研究所,北京 100081
  • 4. 自然资源部古地磁与古构造重建重点实验室,北京 100081
  • 5. 中国地质调查局油气地质力学重点实验室,北京 100081
施辉(1983-),男,湖北黄冈人,博士,副研究员,主要从事油气地质及非常规油气成藏研究.E-mail: .

米洪刚(1975-),男,山东聊城人, 博士,教授级高级工程师,主要从事致密气和煤层气生产和勘探研究.E-mail: .

收稿日期: 2025-01-23

  修回日期: 2025-04-17

  网络出版日期: 2025-05-12

基金资助

中海油“十四五”重大科技项目“陆上非常规天然气勘探开发关键技术”(KJGG-2022-1002)

Accumulation conditions and controlling factors of deep coalbed methane in the Linxing area, eastern margin of the Ordos Basin

  • Honggang MI , 1, 2 ,
  • Guanghui ZHU 1, 2 ,
  • Jian WU 1, 2 ,
  • Shouren ZHANG 1, 2 ,
  • Hui SHI , 3, 4, 5 ,
  • Weiwei¹ CHAO 1 ,
  • Xingqiang³ FENG 3 ,
  • Lei³ ZHOU 3 ,
  • Yong³ YANG 3
Expand
  • 1. China United Coalbed Methane Co. ,Ltd. ,Beijing 100015,China
  • 2. Provinical Technology Innovation Center for Three Gas Coextration,Taiyuan 030000,China
  • 3. Institute of Geomechanics,Chinese Academy of Geological Sciences,Beijing 100081,China
  • 4. Key Laboratory of Paleomagnetism and Tectonic Reconstruction,Ministry of Natural Resources,Beijing 100081,China
  • 5. Key Laboratory of Petroleum Geomechanics,China Geological Survey,Beijing 100081,China

Received date: 2025-01-23

  Revised date: 2025-04-17

  Online published: 2025-05-12

Supported by

The Major Science and Technology Project of CNOOC during the 14th Five-Year Plan Period(KJGG-2022-1002)

摘要

鄂尔多斯盆地东缘(鄂东缘)成为深层煤层气勘探开发的重点区域,临兴地区8+9号深层煤层气分布规律及富集主控因素不清楚制约了资源高效动用进程。基于钻测井、地震与地质资料研究了深部煤层生烃、储集和温压等成藏条件,分析了热演化、构造和保存等多个因素对煤层气成藏的影响,厘定关键构造期与煤层气及上覆致密砂岩气成藏时序关系,并明确构造保存对深层煤层气富集起关键作用。研究结果表明:①8+9号煤层生烃和储集条件充分,煤系烃源岩经历早侏罗世—中侏罗世缓速和晚侏罗世—早白垩世快速生排烃史,煤层气藏最早形成于早白垩世;②燕山早—中期高角度逆冲、喜马拉雅期Ⅲ幕压扭和Ⅳ幕张扭等3期构造活动造成叠瓦状断阶带、低幅隆起区和断陷带相间的构造格局,断阶带和低幅隆起区的正向构造区煤层气藏遭受紫金山隆起和喜马拉雅期Ⅲ—Ⅳ幕构造的调整,断陷带负向构造区煤层气藏仅受喜马拉雅期Ⅳ幕的改造,断陷带煤层含气量优于正向构造单元;③建立了深层煤层气断裂调整型成藏模式,为煤层气资源利用部署提供依据。

本文引用格式

米洪刚 , 朱光辉 , 吴见 , 张守仁 , 施辉 , 晁巍巍 , 冯兴强 , 周磊 , 杨勇 . 鄂尔多斯盆地东缘临兴地区深层煤层气成藏条件及主控因素[J]. 天然气地球科学, 2025 , 36(9) : 1603 -1617 . DOI: 10.11764/j.issn.1672-1926.2025.04.015

Abstract

The eastern margin of the Ordos Basin has emerged as a critical area for the exploration and development of deep coalbed methane (CBM). However, the unclear distribution patterns and controlling factors of deep CBM in the Linxing area, particularly within the Nos.8+9 coalbeds, have impeded the efficient utilization of these resources. This study investigates the hydrocarbon generation, reservoir conditions, and the thermal, pressure, and geological factors influencing the accumulation of deep coalbed methane through an analysis of drilling, logging, seismic, and geological data. It examines the effects of thermal evolution, tectonics, and preservation on coalbed methane accumulation, clarifying the temporal relationship between key tectonic events and the accumulation of both coalbed methane and overlying tight sandstone gas, while highlighting the essential role of structural preservation in the enrichment of deep CBM. The findings indicate that: (1) The hydrocarbon generation and reservoir conditions in the Nos.8+9 coalbeds are adequate, with the coal-bearing source rocks undergoing a slow hydrocarbon generation phase during the Early to Middle Jurassic, followed by a rapid generation phase during the Late Jurassic to Early Cretaceous, resulting in the earliest formation of coalbed methane reservoirs in the Early Cretaceous. (2) Three phases of tectonic activity-Early to Middle Yanshanian (characterized by high-angle reverse thrusting), Himalayan Period III (compressional twisting), and Himalayan Period IV (extensional twisting)-have produced a structural pattern comprising step-faulted zones, low-amplitude uplift areas, and graben zones. The CBM reservoirs in the positive structural areas of the step-faulted zones and low-amplitude uplifts have been influenced by adjustments from the Zijinshan uplift and the tectonics of Himalayan Periods III and IV, while the negative structural areas of the graben zones have been modified solely by Himalayan Period IV, resulting in higher gas content in the graben zones compared to the positive structural units. (3) A model for the accumulation of deep coalbed methane influenced by fault adjustments has been developed, providing a foundation for the strategic deployment of coalbed methane resource utilization.

0 引言

深层煤层气作为战略接替能源,其资源潜力与开发技术突破已成为全球非常规天然气领域的研究热点。最新评价表明1-4,我国埋深大于2 000 m的深层煤层气资源量为(18.4~40.71)×1012 m3,蕴藏巨大勘探潜力。鄂尔多斯盆地5-8、准噶尔盆地9和四川盆地10等区块相继在1 500 m以深的煤层获得高产工业气流,标志着我国深层煤层气开发进入规模化阶段,对保障国家能源安全意义重大。鄂尔多斯盆地东缘(简称鄂东缘)地区是我国深层煤层气勘探开发的重点区域,其上古生界煤系地层厚度大、分布广,且煤层多、煤岩质量好、组合丰富,完全具备形成大型深层煤层气田的物质基础11-13。2019年以来,大宁—吉县区块实施开发先导项目并落实气井产能,深煤层单井最高日产量和累计产气分别保持在10.1×104 m3和2 601.9×104 m3以上,区块日产气量突破300×104 m3[514-15;临兴—神府地区首口深煤层气水平井测试产量达6.0×104 m3/d16,探明地质储量超千亿方,证实鄂东缘具备万亿方级大气区资源基础。
深层煤层气定义正从单一埋深阈值(中国>1 000 m,美国>1 524 m)向多参数耦合阈值(埋深、温压系统、地应力场、吸附—游离气转换临界点)演进。研究表明517,当埋深>1 500~2 000 m时,煤层温压梯度与地应力场转换共同驱动甲烷赋存状态由吸附主导向吸附—游离共生转变,同时渗流通道从宏观裂缝过渡为内生微裂隙,导致深/浅层煤层气成藏机理呈现显著分异18-19。当前浅层开发经验难以指导深部资源开发,其核心瓶颈在于含气分布规律、产量控制因素、富集区分类评价、增产提效措施等基础理论尚未突破5,严重阻碍国内深煤层气藏勘探开发的步伐。
本文聚焦临兴区块8+9号深层煤层气藏,系统分析了煤系生烃源岩岩性、组分、有机质类型及热演化程度,煤岩储层宏观物性、孔喉大小及甲烷吸附性能,以及深部煤层温度与压力等成藏基本条件,研究热演化、构造和保存等多个因素在深层煤层气富集过程中的影响作用,厘定关键构造期与煤层气及上覆致密砂岩气成藏时序关系,在此基础上建立了深层煤层气断裂调整型综合成藏模式,为该地区深层煤层气资源的高效利用及开发部署提供基础依据。

1 地质背景

鄂尔多斯盆地作为华北克拉通重要含油气盆地20,呈近南北向展布,总面积达2.3×105 km2,包含伊陕斜坡、西缘逆冲带、天环坳陷、伊盟隆起、晋西挠褶带与渭北隆起等构造带[图1(a)]。鄂东缘地跨伊盟隆起、晋西挠褶带和渭北隆起3个二级构造单元,整体为西倾的单斜构造;临兴区块位于晋西挠褶带中段,可细分为临兴西、临兴中、临兴东 3个次级单元,其东部边界受离石断裂带控制,中部受紫金山岩浆侵入体上隆作用影响形成局部穹隆构造[图1(b)]。
图1 临兴地区构造位置(a)及地层综合柱状图(b)(修改自文献[611])

Fig.1 Structural location(a) and stratigraphic composite column(b) of the Linxing area(modified from Refs.[611])

鄂尔多斯盆地基底由早太古代硅铝质古陆核组成,经晋宁运动后拉贴至华北克拉通21。早古生代,该区遭受加里东运动(沉积间断约140 Ma),导致中奥陶统—上奥陶统至下石炭统区域性缺失,仅保留下奥陶统风化壳;晚古生代华北克拉通南—北向俯冲碰撞触发陆内坳陷,沉积序列包括上石炭统海陆交互相含煤建造、下二叠统近海沼泽相及中二叠统—上二叠统河流相地层22。中生代印支运动促使扬子—华北板块碰撞,形成NE向基底断裂活化,控制三叠纪大型湖盆与早侏罗世河流相沉积体系;晚侏罗世受燕山运动影响,盆地东部形成伊陕斜坡,西缘发育前缘坳陷23-24。新生代喜马拉雅运动导致盆缘逆冲带与盆内克拉通稳定区分异,塑造现今“西冲东抬、南北隆升”的构造格局25-26
研究区上古生界发育完整煤系地层系列[图1(b)]:①本溪组为潮坪—潟湖相沉积体系,以灰岩为主,顶部发育8+9号煤层;②太原组属障壁海岸沉积,以潮道砂—潟湖泥岩互层为特征,顶部发育2套高挥发分烟煤;③山西组呈现浅水三角洲沉积序列,砂体呈NW—SE向条带状展布,山二段顶部4+5号煤层为区域稳定标志层;④下石盒子组具辫状河三角洲特征,以砂岩及泥岩为主611。全剖面形成煤层—砂岩—泥岩旋回式生储盖组合,构成煤系气立体成藏系统5

2 成藏条件

2.1 生烃条件

2.1.1 岩性及组分

8+9号煤层作为主力生气源岩,形成于潮坪沼泽成煤环境,具有厚度大(2~20 m)、横向连续性好的特点。煤岩类型涵盖镜煤[图2(a)]、亮煤[图2(b)]和暗煤,煤岩有机质组分约为85.2%~99.2%(均值为94.2%),灰分产率低,以黏土矿物为主(0.7%~12.1%,均值为5.1%),含少量硫化物(均值为0.8%)及碳酸盐矿物(<0.2%),见图3(a)。煤层所夹泥页岩段岩性主要为黑色—灰黑色炭质页岩、粉砂质泥岩等,矿物成分主要为石英(25%~52%,均值为37.0%)和黏土矿物(25%~73%,均值为52.7%),含少量长石和碳酸盐矿物,偶见黄铁矿,有机质呈纹层状分布,见部分炭屑[图2(c)]、炭质条带[图2(d)]。
图2 临兴地区8+9号煤层岩心和镜下照片

(a)镜煤,LX-A井,2 090.20 m;(b)亮煤,LX-A井,2 067.80 m;(c)炭屑,LX-D井,1 870.60 m;(d)炭质条带,LX-D井,1 872.75 m;

(e)高岭石,LX-D井,1 875.75 m;(f)伊利石,LX-D井,1 925.85 m。OM为有机质;Kln为高岭石;Ill为伊利石

Fig.2 Core and microscopic photos of the Nos. 8+9 coalbeds in the Linxing area

图3 8+9号煤层煤岩矿物组分构成

(a)煤岩矿物组分;(b)黏土矿物组分

Fig.3 Mineral composition of coal rocks in the Nos. 8+9 coalbeds

碳酸盐矿物含量较少,偶见方解石充填微裂缝、铁白云石胶结交代碎屑颗粒。胶结物主要为泥质,在颗粒间呈不均匀分布,主要呈纹层状、条带状或斑状聚集。黏土矿物组分以高岭石(平均为49.9%)和伊利石(平均为45.3%)为主,其次是绿泥石(4.8%),见图3(b)。扫描电镜(SEM)下观察,高岭石常以蠕虫或书页状形式出现[图2(e)],赋存于粒间孔隙之中,或为长石蚀变的高岭石化产物;伊利石则多以片状、丝片状或丝状形态出现[图2(f)],镜下可观察到伊利石与炭质颗粒有机质相伴生,片状伊利石逐渐丝缕伊利石化。

2.1.2 有机质丰度及类型

临兴地区8+9号煤层有机质丰度(TOC=86.5%~99.2%,均值为94.2%)与生烃潜量(S 1 +S 2=1.86~307.8 mg/g,均值为87.0 mg/g)显著优于夹层泥页岩(TOC=0.6%~17.1%,均值为1.7%;S 1 +S 2=0.2~31.6 mg/g,均值为1.2 mg/g);按照煤系烃源岩评价标准27,煤层属优质烃源岩,泥页岩为一般烃源岩。显微组分分析显示,煤岩镜质组(50.6%~97.8%,均值为82.4%)、惰质组(2.1%~49.3%,均值为17.4%)和壳质组(~3.2%,均值为0.2%),组分占比指示其有机质类型为Ⅲ型[图(4)],符合海陆过渡相煤岩特征。SEM显微表征揭示2类典型有机质赋存状态:①炭质颗粒(长度为50~200 μm)与自生石英、黄铁矿共生,黄铁矿沿黏土矿物层理定向排列[图2(c),图2(d)];②无定形有机质呈分散状填充于黏土矿物片晶(厚度为0.1~0.5 μm)间,片晶无序堆积形成纳米级吸附孔隙(直径<10 nm),见图2(e)和图2(f),该结构显著增强甲烷吸附容量。
图4 8+9号煤层有机质类型

Fig.4 Organic matter types of the Nos. 8+9 coalbeds

2.1.3 热演化程度

研究区8+9号煤层镜质体反射率(R O)空间分异显著,主体埋深1 700~2 700 m范围内R O值介于0.84%~4.79%之间(均值为1.35%),其中80%以上样品R O值在1.0%~1.5%范围内(图5)。临兴中区紫金山岩浆岩体的隆起区附近有零星样品R O值在2.1%~4.9%之间(图5R O>2.0%的值已均值化处理)。
图5 8+9号煤层煤岩镜质体反射率与含气量

Fig.5 Vitrinite reflectance and gas content of the Nos. 8+9 coalbeds

深部煤层有机质总体处于成熟—高成熟演化阶段,紫金山岩体附近的局部煤层受岩浆侵入作用影响而进入过成熟热演化阶段。总体而言,临兴地区8+9号煤层呈现出自东北至西南方向R O值逐渐增大的趋势,与埋藏深度趋势基本一致,说明煤系热演化主控因素为埋藏热效应,岩浆叠加改造作用影响范围局限。

2.2 储集条件

2.2.1 宏观物性

8+9号煤层样品(N=5)孔隙度(POR)在1.28%~6.79%之间(均值为3.53%),渗透率(K)约为(0.15~5.69)×10-3 µm2(均值为1.37×10-3 µm2),宏观物性较差,但“低孔高渗”现象反映煤岩普遍发育裂缝系统,这可能是煤层气的主要渗流通道。SEM镜下揭示煤岩主要发育2类微裂隙系统:①内生微裂缝(割理),由煤化作用中凝胶化物质收缩形成319,缝宽小于0.05 µm,连通有机质气孔[图6(a)];②外生构造裂缝(压/张/剪/松弛裂隙)3,受构造应力控制形成多尺度裂缝网络(缝宽为0.1~100 µm)[图6(b),图6(c)]。
图6 煤岩样品微裂缝SEM照片

(a)有机质气孔,LX-D井,1 873.00 m;(b)构造裂缝,LX-D井,1 866.70 m;(c)构造裂缝,LX-D井,1 870.60 m

Fig.6 SEM images of microfractures in coal samples

覆压孔渗实验结果显示随覆压从5 MPa增大至25 MPa,孔隙度先迅速减小再缓慢减小,从3%~5%的孔隙度减至1.5%~2%[图7(a)];空气渗透率衰减的速率基本一致,从(0.1~0.2)×10-3 µm2的渗透率减小至(0.003~0.005)×10-3 µm2,渗透率值衰减2个数量级[图7(b)]。以上测试数据说明煤岩的原位孔隙度可能小于3%,原位渗透率仅为地面空气渗透率的1/100。
图7 8+9号煤层覆压孔渗

(a)覆压—孔隙度;(b) 覆压—渗透率

Fig.7 Overburden porosity and permeability of the Nos. 8+9 coalbeds

2.2.2 孔喉大小

基于成因分类体系15,煤岩孔隙可划分为:①原生孔隙(粒间孔、晶间孔);②次生孔隙(溶蚀孔、摩擦孔);③有机质孔隙(组织孔、气孔)。8+9号煤岩储层主要由有机质(平均含量>90%)组成,有机质的原生组织孔[图8(a),图8(b)]和排烃以后形成的气孔[图8(c)]组成主体孔隙及喉道。
图8 煤岩样品有机质孔隙SEM照片

(a)有机质孔,LX-D井,1 867.00 m;(b)组织孔,LX-D井,1 938.63 m;(c)气孔,LX-D井,1 870.00 m

Fig.8 SEM images of organic matter pores in coal samples

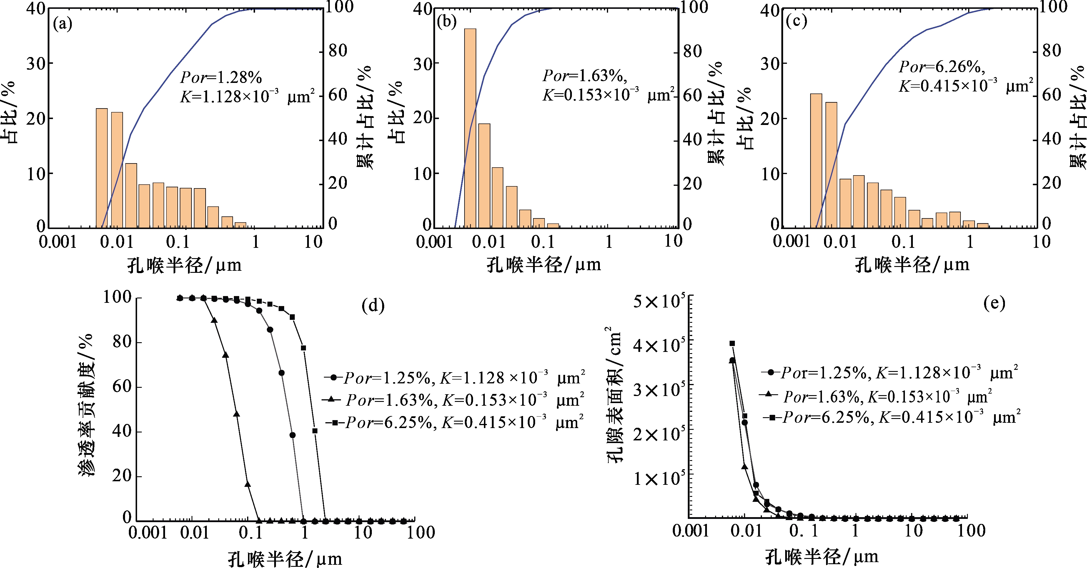
高压压汞测试(N=3)表明,8+9号煤层(埋深1 800~1 900 m)平均喉道半径在0.02~0.24 μm之间[图9(a)—图9(c)],证实亚微米级孔喉系统主导。按大孔(>1 μm)、中孔(0.1~1 μm)、小孔(0.01~0.1 μm)和微孔(<0.01 μm)的孔径分级标准,8+9号煤层煤岩孔喉以中—小孔为主。0.05~5 μm大小的孔喉对宏观渗透率的影响较大,且随孔隙度的增大,主力贡献孔径有减小趋势[图9(d)]。孔隙表面积方面,小孔和微孔贡献了绝大多数的孔隙表面积[图9(e)],特别是微孔的数量对孔隙表面积的贡献度较显著。煤岩孔隙表面积的增长有利于对甲烷气体分子的吸附,说明小孔和微孔的数量直接控制了煤岩的吸附性能。
图9 煤层孔喉半径分布及其与渗透率及孔隙表面积关系

(a)—(c) 煤岩孔喉半径分布;(d)煤岩孔喉半径对渗透性能的贡献;(e) 煤岩孔喉半径对孔隙表面积的贡献

Fig.9 Distribution of pore throat radius and its relationship with permeability and pore surface area

2.2.3 甲烷吸附性能

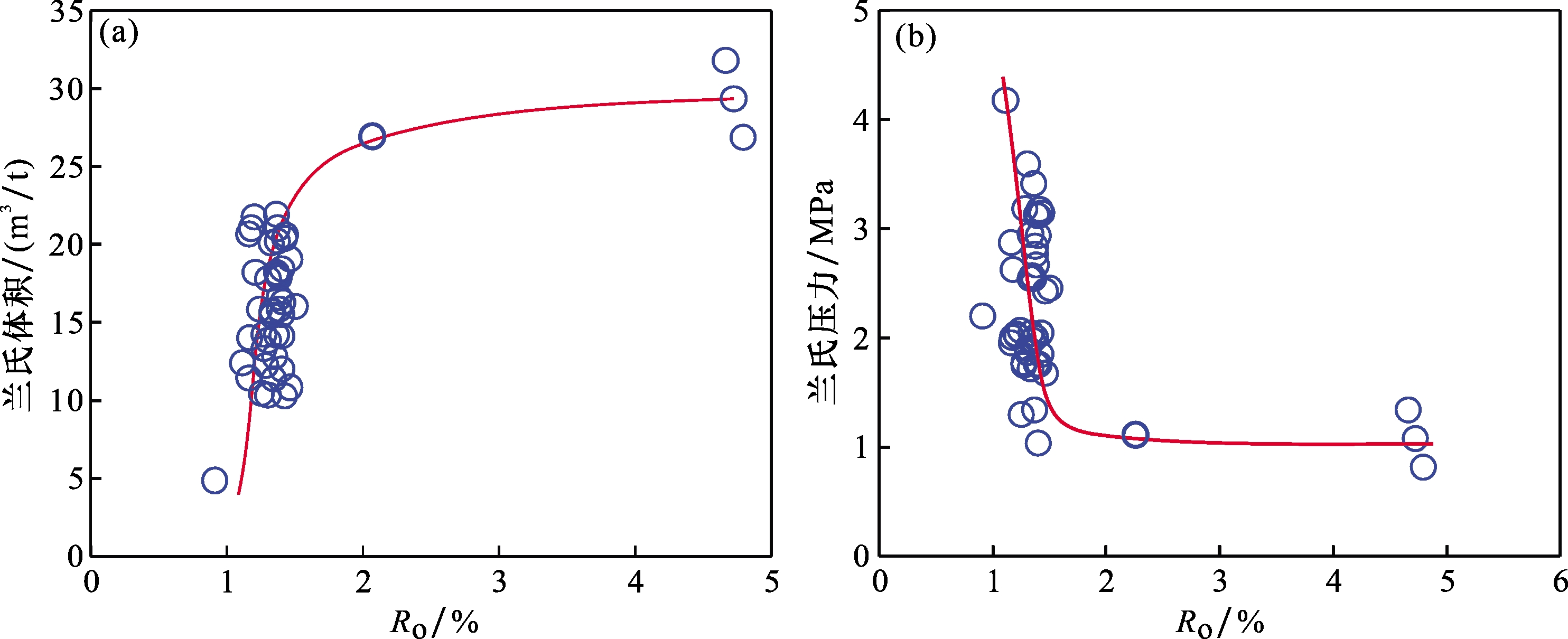
Langmuir体积(兰氏体积,VL)与Langmuir压力(兰氏压力,PL)作为煤储层吸附特征的评价参数,其中储层吸附能力与Langmuir体积成正相关,气体吸附的难易程度与Langmuir压力相关28。临兴地区8+9号煤层Langmuir体积分布在10~29 m³/t之间[图10(a)],平均值约为15 m³/t,Langmuir压力值为1.04~4.18 MPa(均值为2.8 MPa),见图10(b),说明深部煤层对甲烷气体的理论吸附能力较强,具备形成深煤层气藏的基础条件。
图10 8+9号煤层吸附性能参数与R O关系

(a)兰氏体积—R O;(b)兰氏压力—R O

Fig.10 The relationship between adsorption performance parameters and R O of the Nos. 8+9 coalbeds

2.3 温压流体条件

临兴区块上古生界实测地温梯度为2.43 ℃/100 m,目的层(埋深1 200~2 250 m)温度场呈线性分布(45~85 °C),见图11(a)。8+9号煤层压力系统分析显示,地层压力为12.56~20.20 MPa(均值为15.31 MPa),压力系数为0.81~1.07(均值各0.96),其压力—深度关系符合静水压力模型(偏离度<5%),证实为正常压力封闭系统[图11(b),图11(c)]。
图11 临兴地区上古生界温度与压力深度剖面

(a)温度—埋深剖面;(b)地层压力—埋深剖面;(c)压力系数—埋深剖面

Fig.11 Temperature and pressure depth profiles of the Upper Paleozoic in Linxing area

研究区8+9号煤层附近层位地层水总矿化度为27 172~50 000 mg/L29,平面分布具显著分带性30-31:①东部浅层(埋深<1 000 m)受离石断裂带导水作用影响,形成局部径流区,单位涌水量为0.01~0.12 L/(s·m);②深部滞留区(埋深>1 000 m),单位涌水量趋近于0。紫金山隆起区NE向断裂(图1),构成深部流体垂向运移优势通道,但深部煤层气藏仅10%~15%区域受水动力扰动影响,主体区块保存条件完整(水文封闭指数>0.85)30-31

3 富集因素分析

3.1 热演化影响煤层气储集空间和甲烷赋存状态

镜质体反射率与Langmuir参数呈非线性耦合关系(图10):当R O=1.0%~2.0%时,Langmuir体积从5 m³/t急剧增至22.5 m³/t(增幅350%),Langmuir压力从4 MPa骤降至1.5 MPa;R O>2.0%后,Langmuir体积增速减缓至30 m³/t(增幅33%),Langmuir压力稳定于1.0~1.2 MPa之间。该趋势揭示成熟阶段煤岩吸附势显著增强,过成熟阶段煤岩吸附性能增长的幅度趋于平缓,且甲烷气从煤岩中解吸附能力变差,相对较难克服分子吸引力变成游离气。
以上分析说明热演化过程驱动煤岩孔隙系统和甲烷气赋存状态发生动态重构。R O>1.0%以后干酪根C—C键断裂形成小于0.1 μm 的微小孔隙,这类孔隙对宏观渗透率影响较小,但对比表面积的贡献度较大,能快速增强煤岩对甲烷气体的吸附能力32R O>2.0%的过成熟阶段,液态烃在高温条件下裂解成短链烃类,有机质微小孔隙增幅缓慢,故煤岩对甲烷的吸附能力增长趋势变缓,此时甲烷气体分子被有机质微孔吸附得相对牢靠,且微孔系统迂曲度较高,被吸附的甲烷气较难被解吸附而形成游离气。

3.2 深部煤层吸附气聚集受负向构造控制

临兴地区8+9号煤层含气量(现场煤岩岩心的直接解吸附气量)等值线与构造叠合分析表明,负向构造区含气量均值达18.9 m³/t,较正向构造(13.5 m³/t)提升40%(图12),该现象说明 “煤层气向斜富集模式”33-34在本区具有一定适用性。
图12 8号煤层顶界构造及8+9号煤层含气量分布叠合图

Fig.12 Structural map of No. 8 coalbed superimposed with gas content distribution of Nos. 8+9 coalbeds

研究区石炭系—二叠系主要经历了燕山早—中期高角度逆冲、喜马拉雅期Ⅲ幕压扭和Ⅳ幕张扭性共3期断裂活动。①燕山期高角度逆冲—压扭性断裂主要为NNE向或近SN向分布,断距较小,被紫金山岩体侵入;侵入岩体二长岩和正长岩的锆石U⁃Pb测年数据(133.1~130.4 Ma)2535说明高角度逆冲断裂形成于早白垩世以前(燕山期Ⅰ—Ⅲ幕),其形成与秦岭—天山兴蒙—太平洋多元汇聚的挤压应力相关36-37,导致低幅隆起区的发育(图13)。②新生代喜马拉雅期Ⅲ幕,由于印度板块与欧亚板块碰撞和太平洋板块向欧亚板块俯冲2种构造应力的远程效应,NE—NW向挤压叠加改造燕山期断裂系统38,并发育继承性叠瓦状逆冲—走滑断裂,见图13。③喜马拉雅晚期(Ⅳ幕),受青藏高原东北缘地块的持续推挤及其构造应力向东传递的影响,研究区发生引张伸展、斜张走滑和挤压变形2639,发育NNE向走滑—张裂性质断裂与次级断裂组成负花状构造(图13)。自西向东临兴地区依次可划分出2个低幅隆起区与断陷带,以及最东边的断阶带(图13)。低幅隆起区由燕山早—中期高角度逆冲及喜马拉雅早期压扭共同作用的继承性断裂所控制,断阶带的继承性叠瓦状逆冲—走滑断裂极有可能叠加了中生代以来3期主要断裂活动,惟有断陷带的走滑—张扭性断裂形成于中新世晚期。断裂系统的差异性活动引起8+9号深部煤层吸附甲烷气的差异性聚集,断陷带煤层含气性相对优于低幅隆起区和断阶带(图12)。
图13 临兴地区二维地震剖面及解释(近EW向剖面)

Fig.13 Two-dimensional seismic profile and interpretation of the Linxing area (near EW-oriented profile)

3.3 喜马拉雅期构造保存对深层煤层气富集起关键作用

临兴地区8+9号煤层经历了“先沉降后抬升”的埋藏过程(图14)。上石炭统本溪组煤系地层依次经历了P1—T2快速埋藏、T3—J3缓速埋藏和K1加速埋藏,在缓速埋藏阶段煤系烃源岩达到105~125 °C缓慢生排烃,液态烃充注煤层顶板砂岩储层,其同期盐水包裹体测温(100~115 °C)40-41反映充注高峰期约为195~190 Ma29,与高角度逆冲—压扭性断裂形成时间基本对应(图14)。加速埋藏阶段时(>125 °C)烃源岩迅速生排出甲烷气,煤层顶板砂岩溶蚀孔隙或石英颗粒微裂缝中含气包裹体(盐水包裹体温度125~140 °C)40-41说明其充注高峰期在135~110 Ma之间29。8+9号煤层首先吸附大量甲烷气体而形成煤层气藏,吸附饱和以后由于紫金山岩体隆升(133~134 Ma)的影响向上排出游离气并进入顶板致密砂岩储层中聚集成藏,上古生界致密砂岩气聚集成藏可能持续至晚白垩世早期42-43
图14 临兴地区上古生界全油气系统成藏过程

Fig.14 The reservoir-forming process of the whole oil and gas system in the Upper Paleozoic of the Linxing area

晚白垩世以后的抬升阶段,煤系烃源岩的生烃停滞,不再产生原生气藏。喜马拉雅期Ⅲ幕NE—NW向压扭应力活化了燕山期断裂系统,中生代形成的原生气藏包括煤层气藏在断裂活化背景下向上调整,于中二叠统—上二叠统砂岩储层中聚集成次生致密砂岩型气藏,如盆地东北部上二叠统接近30 Ma成藏的次生致密砂岩气44。喜马拉雅晚期(Ⅳ幕)的NW—SE向张应力发生伸展断陷作用产生负花状构造且形成低幅负向构造区,即图13所呈现的断陷带。该类张扭性断裂发育时间相对较晚(~10 Ma),对断陷带内中生代原生油气藏的破坏作用相对较弱,故8+9号煤层深部吸附状态为主的深煤层气藏获得一定程度的保存(图14),表现出高于正向构造区的含气性规律。

4 深层煤层气成藏模式

临兴地区8+9号煤层发育于潮坪相泥坪—沼泽成煤环境,煤层厚度稳定且有机质含量高;成熟—高成熟演化阶段的海陆过渡相III型干酪根不仅生成大量甲烷气,也产出液态烃类,如煤层顶板砂岩储层中可见液态烃类包裹体40。8+9号煤层宏观物性较差,原位孔隙度和渗透率分别低于3%和0.01×10-3 µm2,生烃过程中产生大量约0.05 µm大小的内生微裂隙,说明深部煤岩储层的宏观渗流性能极差;煤岩孔喉半径在0.02~0.24 µm之间,以小孔—中孔为主,小于100 nm的小孔—微孔对孔隙表面积贡献度最大,也是分子甲烷被吸附的主要场所,而小孔—微孔数量随有机质热演化程度升高而增多,反映深部中阶—高阶煤层足以满足对甲烷气体的吸附性能和空间。基于生烃和储集条件,8+9号深部煤层具备形成大型煤层气藏的潜力。
鄂东缘临兴地区煤系地层内共发育3期断裂(图13):①燕山早—中期高角度的继承性逆冲—压扭性断裂形成低幅隆起区;②喜马拉雅期Ⅲ幕继承性叠瓦状逆冲—走滑断裂形成断阶带并活化燕山期断裂系统;③喜马拉雅晚期Ⅳ幕产生走滑—张扭性断裂形成断陷带,再次活化前2期断裂系统。这3期构造活动在空间上形成“断阶带—隆起区—断陷带”的构造格局,在时间上构成“挤压—压扭—张扭”的应力场转换序列,对深层煤层气藏产生重要影响。
大量研究表明2940-4245,8+9号煤层的煤系烃源岩自早侏罗世开始缓慢生排烃,早白垩世以后加速生排烃,晚白垩世由于整体构造抬升而停止生烃作用;煤层顶板砂岩接受早侏罗世—中侏罗世液—气相烃类和早白垩世气相烃类的2期充注,分别与燕山早—中期和紫金山岩体侵入等构造活动相关,故推测深部煤层吸附型气藏在2期充注之间,约为J3晚期—K1早期,与紫金山岩体侵入相对应的构造变动加速了煤系烃源岩向上排出气相烃类并在下二叠统致密砂岩储层中聚集成藏。喜马拉雅期Ⅲ幕压扭性质应力结构活化了燕山期断裂系统,对8+9号原生煤层气藏造成了一次破坏和调整,向上运移的气态烃类进入中二叠统—上二叠统发育为次生型致密砂岩气藏。
喜马拉雅晚期Ⅳ幕张扭性构造活动再次活化先存断裂并产生由负花状构造组成的断陷带,先存断裂活化无疑引起低幅隆起区和断阶带煤层气藏的再次破坏调整。由此可见,临兴地区断陷带的8+9号煤层气藏仅在喜马拉雅晚期遭受过一次调整逸散,低幅隆起区和断阶带经历过至少3期次构造活动的影响,实际吸附气量低于该压力条件下煤的最大吸附能力而呈吸附气的欠饱和状态,这也是断陷带深部煤层含气量相对大于其他构造单元煤层的根本原因。
基于以上认识,综合判断临兴地区8+9号深层煤层气为中生代—新生代多期次断裂调整改造过的残留型煤层气藏,其成藏模式见图15。断阶带和低幅隆起区的正向构造单元发育燕山早—中期高角度逆冲断裂系统,在喜马拉雅期Ⅲ幕压扭和Ⅳ幕张扭性构造应力作用下再次活化并叠加走滑活动性质,这2个构造单元内深层煤层气藏均遭受过多次调整改造,煤层以上致密砂岩储集体成为承接运移气的重要场所,故断阶带和低幅隆起区煤层吸附气量相对较低,赋存少量游离气(图15)。断陷带内煤层吸附气藏仅被喜马拉雅晚期Ⅳ幕张扭性断裂系统所影响,从保存角度而言,气藏遭受调整改造的时间较短,程度也较轻,吸附气量或饱和度相对高于断阶带和低幅隆起区煤层,是该地区深层煤层气勘探开发重点关注的有利目标区带。
图15 临兴地区深层煤层气断裂调整型综合成藏模式

Fig.15 Fault-adjusted composite accumulation model for deep coalbed methane in the Linxing area

5 结论

(1)鄂尔多斯盆地东缘临兴地区8+9号煤层厚度稳定,有机质组分含量高,处于成熟—高成熟演化阶段,中煤阶—高煤阶煤岩储层发育大量有机质孔隙足以满足对甲烷气体分子的吸附性能和空间,从生烃和储集要素而言,深部煤层形成大型煤层气藏的条件较充分。
(2)石炭系及以上地层主要经历了燕山早—中期高角度逆冲、喜马拉雅期(Ⅲ幕)压扭和喜马拉雅晚期(Ⅳ幕)张扭性共3期断裂活动,燕山早—中期高角度逆冲断裂系统形成叠瓦状断阶带和低幅隆起区等正向构造单元,喜马拉雅期Ⅲ幕压扭和Ⅳ幕张扭性构造应力活化了燕山期断裂并叠加走滑性质活动,喜马拉雅晚期Ⅳ幕张扭性断裂系统形成断陷带负向构造单元。
(3)8+9号深部煤层表现为以晚白垩世为界限先沉降后抬升的埋藏史特征,经历早侏罗世—中侏罗世缓速和晚侏罗世—早白垩世快速的生排烃史,煤层气藏最早形成于紫金山岩体侵入前后的约135~125 Ma时间段内,断阶带和低幅隆起区煤层气藏可能遭受过紫金山岩体侵入、喜马拉雅期Ⅲ幕和Ⅳ幕构造活动的强烈改造,而断陷带深部煤层只经历喜马拉雅晚期Ⅳ幕构造活动的调整,故断陷带煤层气藏保存条件相对优于正向构造单元。
(4)综合判断8+9号深层煤层气藏为中生代—新生代多期次断裂调整改造过的残留型煤层气藏,喜马拉雅期构造保存对深层煤层气富集起关键作用,中生代—新生代持续活动的断阶带和低幅隆起区深部煤层因构造调整次数多而呈吸附气欠饱和状态,断陷带煤层遭受断裂改造时间短且程度轻,吸附气含量相对优于正向构造单元,是该地区深层煤层气勘探开发重点关注的有利目标区带。
[1]
张懿, 朱光辉, 郑求根, 等. 中国煤层气资源分布特征及勘探研究建议[J]. 非常规油气, 2022,9(4):1-8.

ZHANG Y, ZHU G H, ZHENG Q G, et al. Distribution characteristics of coalbed methane resources in China and recommendations for exploration research[J].Unconventional Oil & Gas,2022, 9(4):1-8.

[2]
门相勇, 娄钰, 王一兵, 等. 中国煤层气产业“十三五”以来发展成效与建议[J]. 天然气工业, 2022,42(6):173-178.

MEN X Y,LOU Y,WANG Y B,et al. Development achievements of China's CBM industry since the 13th Five-Year Plan and suggestions[J].Natural Gas Industry,2022,42(6):173-178.

[3]
秦勇. 中国深部煤层气地质研究进展[J]. 石油学报, 2023,44(11):1791-1811.

QIN Y. Progress on geological research of deep coalbed methane in China[J].Acta Petrolei Sinica,2023,44(11):1791-1811.

[4]
龙胜祥, 李辛子, 叶丽琴, 等. 国内外煤层气地质对比及其启示[J]. 石油与天然气地质, 2014,35(5):696-703.

LONG S X, LI X Z, YE L Q, et al. Comparison and enlightenment of coalbed methane geology at home and abroad[J]. Oil & Gas Geology, 2014, 35(5): 696-703.

[5]
徐凤银, 王成旺, 熊先钺, 等. 深部(层)煤层气成藏模式与关键技术对策——以鄂尔多斯盆地东缘为例[J]. 中国海上油气, 2022,34(4):30-42.

XU F Y,WANG C W,XIONG X Y, et al. Deep (layer) coalbed methane reservoir forming modes and key technical countermeasures-Taking the eastern margin of Ordos Basin as an example[J].China Offshore Oil and Gas,2022,34(4):30-42.

[6]
刘建忠, 朱光辉, 刘彦成, 等. 鄂尔多斯盆地东缘深部煤层气勘探突破及未来面临的挑战与对策——以临兴—神府区块为例[J]. 石油学报, 2023,44(11):1827-1839.

LIU J Z,ZHU G H,LIU Y C,et al. Breakthrough, future challenges and countermeasures of deep coalbed methane in the eastern margin of Ordos Basin:A case study of Linxing-Shenfu block[J].Acta Petrolei Sinica, 2023,44(11):1827-1839.

[7]
郭广山, 徐凤银, 刘丽芳, 等. 鄂尔多斯盆地府谷地区深部煤层气富集成藏规律及有利区评价[J]. 煤田地质与勘探, 2024, 52(2):81-91.

GUO G S, XU F Y, LIU L F, et al. Enrichment and accumulation patterns and favorable area evaluation of deep coalbed methane in the Fugu area,Ordos Basin[J].Coal Geology & Exploration, 2024, 52(2): 81-91.

[8]
何发岐, 董昭雄. 深部煤层气资源开发潜力——以鄂尔多斯盆地大牛地气田为例[J]. 石油与天然气地质, 2022,43(2):277-285.

HE F Q, DONG Z X. Development potential of deep coalbed methane: A case study in the Daniudi Gas Field,Ordos Basin[J]. Oil & Gas Geology, 2022, 43(2): 277-285.

[9]
桑树勋, 李瑞明, 刘世奇, 等. 新疆煤层气大规模高效勘探开发关键技术领域研究进展与突破方向[J]. 煤炭学报, 2024, 49(1): 563-585.

SANG S X, LI R M, LIU S Q, et al. Research progress and breakthrough directions of the key technical fields for large scale and efficient exploration and development of coalbed methane in Xinjiang[J].Journal of China Coal Society,2024,49(1): 563-585.

[10]
明盈,孙豪飞,汤达祯,等.四川盆地上二叠统龙潭组深—超深部煤层气资源开发潜力[J].煤田地质与勘探,2024,52(2):102-112.

MING Y, SUN H F, TANG D Z, et al. The development potential of deep-ultradeep coalbed methane resources in the Longtan Formation of the Upper Permian in the Sichuan Basin[J] .Coal Geology & Exploration, 2024,52(2):102-112.

[11]
朱光辉, 李本亮, 李忠城, 等. 鄂尔多斯盆地东缘非常规天然气勘探实践及发展方向——以临兴—神府气田为例[J]. 中国海上油气, 2022,34(4):16-29.

ZHU G H, LI B L, LI Z C, et al. Practices and development trend of unconventional natural gas exploration in eastern margin of Ordos Basin: Taking Linxing Shenfu Gas Field as an example[J].China Offshore Oil and Gas, 2022, 34(4):16-29.

[12]
李勇, 徐立富, 吴鹏, 等. 鄂尔多斯盆地东缘海陆过渡相页岩岩相特征及储层差异[J]. 天然气工业, 2023,43(8):38-54.

LI Y,XU L F,WU P,et al.Lithofacies characteristics and reser-voir differences of marine-continental transitional shale in the eastern margin of the Ordos Basin[J].Natural Gas Industry, 2023, 43(8): 38-54.

[13]
刘雯, 赵群, 邱振, 等. 鄂尔多斯盆地东缘海陆过渡相页岩气成藏条件研究现状与展望[J]. 天然气地球科学, 2023,34(5):868-887.

LIU W,ZHAO Q,QIU Z, et al. Research status and prospect of accumulation conditions of transitional facies shale gas in the eastern margin of Ordos Basin[J].Natural Gas Geoscience, 2023, 34(5): 868-887.

[14]
聂志宏, 徐凤银, 时小松, 等. 鄂尔多斯盆地东缘深部煤层气开发先导试验效果与启示[J]. 煤田地质与勘探, 2024, 52(2): 1-12.

NIE Z H,XU F Y,SHI X S,et al. Outcomes and implications of pilot tests for deep coalbed methane production on the eastern margin of the Ordos Basin[J].Coal Geology & Exploration,2024,52(2):1-12.

[15]
徐凤银, 聂志宏, 孙伟, 等. 大宁—吉县区块深部煤层气高效开发理论技术体系[J/OL]. 煤炭学报:1-17. https://doi.org/10.13225/j.cnki.jccs. YH23.1290.

XU F Y, NIE Z H, SUN W, et al. Theoretical and technological system for highly efficient development of deep coalbed methane in Daning-Jixian Block[J/OL].Journal of China Coal Society:1-17. https://doi.org/10.13225/j.cnki.jccs. YH23.1290.

[16]
徐长贵. 双碳背景下中国海油三个万亿大气区勘探战略思考[J]. 中国海上油气, 2023,35(6):1-12.

XU C G. Strategic thinking on exploration of three tilling cubic meters gas provinces of CNOOC under the dual carbon target background[J]. China Offshore Oil and Gas,2023,35(6):1-12.

[17]
李勇, 徐立富, 张守仁, 等. 深煤层含气系统差异及开发对策[J]. 煤炭学报, 2023,48(2):900-917.

LI Y, XU L F, ZHANG S R, el al. Gas bearing system difference in deep coal seams and corresponded development strategy[J].Journal of China Coal Society, 2023, 48(2): 900-917.

[18]
江同文, 熊先钺, 金亦秋. 深部煤层气地质特征与开发对策[J]. 石油学报, 2023,44(11):1918-1930.

JIANG T W, XIONG X Y, JIN Y Q. Geological characteristics and development countermeasures of deep coalbed methane[J]. Acta Petrolei Sinica, 2023, 44(11):1918-1930.

[19]
许浩, 汤达祯, 陶树, 等. 深部和浅部煤层气地质条件差异及其形成机制[J]. 煤田地质与勘探, 2024, 52(2): 33-39.

XU H, TANG D Z, TAO S, et al. Differences in geological conditions of deep and shallow coalbed methane and their formation mechanisms[J].Coal Geology & Exploration,2024,52(2): 33-39.

[20]
康玉柱, 邢树文, 李会军, 等. 中国北方地区构造体系控盆作用与控油分布规律[J]. 地质力学学报, 2019,25(6):1013-1024.

KANG Y Z, XING S W, LI H J, et al. Features of structural systems in northern China and its control on basin and hydrocarbon distribution[J].Journal of Geomechanics,2019,25(6): 1013-1024.

[21]
KUSKY T, MOONEY W. Is the Ordos Basin floored by a trapped oceanic plateau?[J]. Earth and Planetary Science Letters, 2015,429:197-204.

[22]
CHEN R, WANG F, LI Z, et al. Late Paleozoic provenance shift in the east-central Ordos Basin: Implications for the tectonic evolution of the north China Craton[J]. Journal of Asian Earth Sciences, 2021,215:104799.

[23]
MENG Q R, WU G L, FAN L G, et al. Tectonic evolution of Early Mesozoic sedimentary basins in the North China block[J]. Earth-Science Reviews, 2019,190:416-438.

[24]
QIU H B,LIN W,CHEN Y,et al.Jurassic-Early Cretaceous tec-tonic evolution of the North China Craton and Yanshanian intracontinental orogeny in East Asia:New insights from a general review of stratigraphy,structures,and magmatism[J].Earth-Science Reviews, 2023,237:104320.

[25]
何登发,包洪平,开百泽,等. 鄂尔多斯盆地及其邻区关键构造变革期次及其特征[J].石油学报,2021,42(10):1255-1269.

HE D F, BAO H P, KAI B Z, et al. Critical tectonic modification periods and its geologic features of Ordos Basin and adjacent area[J]. Acta Petrolei Sinica, 2021, 42(10): 1255-1269.

[26]
SHI W, DONG S W, HU J M. Neotectonics around the Ordos Block, North China:A review and new insights[J]. Earth-Science Reviews, 2020,200:102969.

[27]
石油地质勘探专业标准化委员会. SY/T 5735—2019 烃源岩地球化学评价方法[S]. 北京:国家能源局, 2019.

Petroleum Geological Exploration Professional Standardization Committee. SY/T 5735-2019 Geochemical evaluation methods of source rocks[S].Beijing:National Energy Administration,2019.

[28]
俞雨溪, 王宗秀, 冯兴强, 等. 剪切作用对页岩有机质孔发育特征和吸附能力的影响[J]. 地质力学学报, 2020,26(6):830-839.

YU Y X, WANG Z X, FENG X Q, et al. Effect of shear on the development and adsorption capacity of organic pores in shale[J]. Journal of Geomechanics,2020,26(6):830-839.

[29]
姜福杰, 邵新荷, 李林涛, 等. 断裂调整型致密砂岩气藏成藏过程模拟与成藏模式[J].石油科学通报,2021,6(4):539-552.

JIANG F J, SHAO X H, LI L T,et al. Accumulation process simulation and an accumulation model of a fault-adjusted tight sandstone gas reservoir[J].Petroleum Science Bulletin,2021, 6(4): 539-552.

[30]
蔡益栋, 高国森, 刘大锰, 等. 鄂尔多斯盆地东缘临兴中区煤系气富集地质条件及成藏模式[J]. 天然气工业, 2022,42(11):25-36.

CAI Y D, GAO G S, LIU D M, et al. Geological conditions for coal measure gas enrichment and accumulation models in Linxingzhong block along the eastern margin of the Ordos Basin[J].Natural Gas Industry, 2022, 42(11): 25-36.

[31]
刘畅, 张道旻, 李超, 等. 鄂尔多斯盆地临兴区块上古生界致密砂岩气藏成藏条件及主控因素[J]. 石油与天然气地质, 2021,42(5):1146-1158.

LIU C, ZHANG D M, LI C, et al. Upper Paleozoic tight gas sandstone reservoirs and main controls, Linxing block, Ordos Basin[J].Oil & Gas Geology, 2021, 42(5): 1146-1158.

[32]
胡锦杰, 唐友军, 何大祥, 等. 不同类型烃源岩排烃模式对比及差异性探究[J]. 地质力学学报, 2020,26(6):941-951.

HU J J,TANG Y J,HE D X,et al.Comparison and exploration of hydrocarbon expulsion patterns of different types of source rocks[J].Journal of Geomechanics,2020,26(6):941-951.

[33]
赵贤正, 杨延辉, 陈龙伟, 等. 高阶煤储层固—流耦合控产机理与产量模式[J]. 石油学报, 2015,36(9):1029-1034.

ZHAO X Z, YANG Y H, CHEN L W, et al. Production controlling mechanism and mode of solid-fluid coupling of high rank coal reservoirs[J]. Acta Petrolei Sinica, 2015, 36(9): 1029-1034.

[34]
赵贤正, 金凤鸣, 蒲秀刚, 等. 负向构造区油气成藏理论认识与勘探实践[J]. 石油实验地质, 2022,44(1):11-23.

ZHAO X Z, JIN F M, PU X G, et al. Theoretical understanding of oil and gas accumulation in negative tectonic area and exploration practice[J].Petroleum Geology & Experiment,2022,44(1):11-23.

[35]
陈刚, 丁超, 徐黎明, 等. 鄂尔多斯盆地东缘紫金山侵入岩热演化史与隆升过程分析[J]. 地球物理学报, 2012,55(11):3731-3741.

CHEN G, DING C, XU L M, et al. Analysis on the thermal history and uplift process of Zijinshan intrusive complex in the eastern Ordos Basin[J].Chinese Journal of Geophysics,2012, 55(11): 3731-3741.

[36]
张岳桥, 董树文. 晚中生代东亚多板块汇聚与大陆构造体系的发展[J]. 地质力学学报, 2019,25(5):613-641.

ZHANG Y Q,DONG S W.East Asia multi-plate convergence in Late Mesozoic and the development of continental tectonic systems[J].Journal of Geomechanics,2019,25(5):613-641.

[37]
田朝阳, 陈虹, 刘新社, 等. 鄂尔多斯西缘牛首山—罗山地区裂变径迹年龄与中生代构造抬升[J]. 地质力学学报, 2023,29(5):599-617.

TIAN Z Y, CHEN H, LIU X S, et al. Fission track ages and Mesozoic tectonic uplift in the Niushoushan-Luoshan area on the western edge of the Ordos Basin[J].Journal of Geomechanics, 2023, 29(5): 599-617.

[38]
杨秀春, 屈争辉, 姜波, 等. 山西大宁—吉县地区中新生代构造特征及其演化[J]. 中国煤炭地质, 2013,25(5):1-6.

YANG X C, QU Z H, JIANG B, et al. Mesozoic-Cenozoic structural features and their evolution in Daning-Jixian area, Shanxi[J].Coal Geology of China, 2013,25(5):1-6.

[39]
张岳桥, 施炜, 董树文. 华北新构造:印欧碰撞远场效应与太平洋俯冲地幔上涌之间的相互作用[J]. 地质学报, 2019,93(5):971-1001.

ZHANG Y Q, SHI W, DONG S W. Neotectonics of North China:Interplay between far-field effect of India-Eurasia collision and Pacific subduction related deep-seated mantle upwelling[J].Acta Geologica Sinica, 2019, 93(5):971-1001.

[40]
陶传奇,王延斌,倪小明,等.临兴地区上石炭统本溪组煤系气成藏关键时期[J].中国矿业大学学报,2018,47(3):531-537.

TAO C Q, WANG Y B, NI X M, et al. Key accumulation period for coal series gas reservoir in Upper Carboniferous Benxi Formation, Linxing block[J]. Journal of China University of Mining & Technology, 2018, 47(3):531-537.

[41]
陶传奇, 李勇, 倪小明, 等. 临兴地区上石炭统本溪组煤成熟度演化过程研究[J]. 中国矿业大学学报, 2022,51(2):344-353.

TAO C Q,LI Y,NI X M,et al.Study of the evolution process of coal maturity in Upper Carboniferous Benxi Formation, Linxing areal[J].Journal of China University of Mining & Te-chnology, 2022, 51(2):344-353.

[42]
郑定业,庞雄奇,姜福杰,等. 鄂尔多斯盆地临兴地区上古生界致密气成藏特征及物理模拟[J]. 石油与天然气地质, 2020, 41(4): 744-754.

ZHENG D Y, PANG X Q, JIANG F J, et al. Characteristics and physical simulation of the Upper Paleozoic tight gas accumulation in Linxing area,Ordos Basin[J].Oil & Gas Geology, 2020,41(4): 744-754.

[43]
李勇, 朱治同, 吴鹏, 等. 鄂尔多斯盆地东缘上古生界致密储层含气系统压力演化[J]. 石油与天然气地质, 2023,44(6):1568-1581.

LI Y, ZHU Z T, WU P, et al. Pressure evolution of gas-bearing systems in the Upper Paleozoic tight reservoirs at the eastern margin of the Ordos Basin[J]. Oil & Gas Geology, 2023, 44(6): 1568-1581.

[44]
陈刚, 丁超, 徐黎明, 等. 多期次油气成藏流体包裹体间接定年——以鄂尔多斯盆地东北部二叠系油气藏为例[J]. 石油学报, 2012,33(6):1003-1011.

CHEN G, DING C, XU L M, et al. Indirect dating of multi-stage hydrocarbon accumulations by fluid inclusion data: A case study of the Permian hydrocarbon accumulation in the northeast Ordos Basin[J]. Acta Petrolei Sinica, 2012,33(6):1003-1011.

[45]
李勇, 吴鹏, 高计县, 等. 煤成气多层系富集机制与全含气系统模式——以鄂尔多斯盆地东缘临兴区块为例[J]. 天然气工业, 2022,42(6):52-64.

LI Y, WU P, GAO J X, et al. Multilayer coal-derived gas enrichment mechanism and whole gas bearing system model: A case study on the Linxing Block along the eastern margin of the Ordos Basin[J]. Natural Gas Industry, 2022, 42(6): 52-64.

文章导航

/