0 引言
1 地质背景
2 样品与实验
2.1 实验样品
2.2 实验方法
3 实验结果
3.1 矿物学特征
3.2 页岩岩相划分
表1 延安地区山西组岩相类型特征对比Table 1 Comparison of lithofacies type characteristics of Shanxi Formation in Yan 'an area |
| 岩相 | 宏观沉积特征 | 显微构造 | ||
|---|---|---|---|---|
| 高有机质块状页岩相 (Ⅰ) | 岩石无明显颜色或粒度的变化,均质结构,整体呈泥质,可见裂缝 | ![]() | ![]() | 从岩相Ⅰ到岩相Ⅶ,纹层、层理等沉积构造愈发育,粉砂质—细砂质含量增大,黏土质含量降低,表明沉积时水体动荡、动力逐渐增大 |
| 高有机质层状页岩相 (Ⅱ) | 岩石发育沉积层理,亦见裂缝 | ![]() | ![]() | |
| 低有机质块状页岩相 (Ⅲ) | 岩心整体呈块状结构,无明显层理,岩石比较致密,可见植物化石 | ![]() | ![]() | |
| 低有机质层状页岩相 (Ⅳ) | 岩石发育沉积层理,沿层里面易裂开,裂开面可见植物化石 | ![]() | ![]() | |
| 低有机质纹层状页岩相 (Ⅴ) | 岩石具有泥质结构,明暗纹层构造,纹层厚度小于1 cm | ![]() | ![]() | |
| 低有机质纹层状粉砂岩相 (Ⅵ) | 岩石具有粉砂结构,暗色泥质纹层构造 | ![]() | ![]() | |
| 低有机质纹层状泥岩夹粉砂/细砂岩相 (Ⅶ) | 岩石具纹层状构造,由暗色泥岩夹浅色粉砂岩组成,粉砂层厚度低于10 cm | ![]() | ![]() | |
3.3 页岩岩相储层特征
3.3.1 微观孔隙特征
图5 延安地区山西组典型样品微观孔隙扫描电镜特征(a)高有机质块状页岩相,3 068.8 m,发育矿物粒间孔和高岭石层间缝,少量粒内溶孔;(b)高有机质块状页岩相,3 068.8 m,发育黏土矿物粒间孔、粒内溶孔;(c)高有机质层状页岩相,3 560.2 m,石英与黏土矿物形成粒间孔,粒间孔中有有机质充填;(d)高有机质层状页岩相,3 560.2 m,有机质呈侵染状分布在石英颗粒表面;(e)低有机质块状页岩相,3 077.3 m,石英粒间孔和丝状伊利石层间缝;(f)低有机质块状页岩相,3 077.3 m,石英粒内孔;(g)低有机质层状页岩相,3 572.2 m,发育伊利石层间缝;(h)低有机质层状页岩相,3 572.2 m,原油呈侵染状充填在粒内孔中;(i)低有机质纹层状页岩相,3 591.5 m,矿物顺层排列,孔缝呈长条状和零散状分布;(j)低有机质纹层状页岩相,3 591.5 m,黏土矿物粒间孔中有原油充填;(k)低有机质纹层状粉砂岩相,3 549.8 m,石英颗粒发育粒内溶孔;(l)低有机质纹层状粉砂岩相,3 549.8 m,矿物粒间孔中有原油充填;(m)低有机质纹层状泥岩夹粉砂/细砂岩相,3 100.9 m,片状高岭石粒间孔;(n)低有机质纹层状泥岩夹粉砂/细砂岩相,3 100.9 m,有机质呈侵染状分布在黏土矿物粒间孔中;(o)低有机质纹层状泥岩夹粉砂/细砂岩相,3 100.9 m,发育石英粒间孔、伊利石集合体间孔,石英颗粒表面见有微小的溶蚀孔 Fig.5 Microscopic pore scanning electron microscope characteristics of typical samples of Shanxi Formation in Yan'an area |
3.3.2 微观孔隙结构
表2 延安地区山西组不同岩相泥岩孔隙参数对比Table 2 Comparison of different lithofacies pore parameters of Shanxi Formation in Yan 'an area |
| 样品 编号 | 深度/m | 层位 | TOC/% | 岩相 类型 | BJH孔体积/(cm3/g) | BET比表面积/(m2/g) | 平均孔径/nm | ||||
|---|---|---|---|---|---|---|---|---|---|---|---|
| 微孔 | 介孔 | 宏孔 | 微孔 | 介孔 | 宏孔 | ||||||
| Y-14 | 3 589.1 | 山2段 | 8.71 | Ⅰ | 0.001 9 | 0.049 6 | 0.007 5 | 3.568 6 | 11.221 8 | 0.001 7 | 16.275 7 |
| Y-13 | 3 582.8 | 山2段 | 7.48 | Ⅱ | 0.002 4 | 0.015 0 | 0.001 3 | 0.697 2 | 4.914 2 | 0.000 3 | 10.595 6 |
| Q-5 | 3 068.8 | 山1段 | 0.08 | Ⅲ | 0.001 2 | 0.013 6 | 0.001 8 | 0.875 8 | 4.734 0 | 0.014 2 | 7.657 6 |
| Y-11 | 3 572.2 | 山2段 | 1.40 | Ⅳ | 0.002 1 | 0.016 4 | 0.009 1 | 0.235 5 | 4.696 6 | 0.001 9 | 12.082 9 |
| Q-10 | 3 083.3 | 山1段 | 1.08 | Ⅴ | 0.001 8 | 0.017 6 | 0.016 1 | 1.846 3 | 5.533 5 | 0.276 3 | 8.276 0 |
| Q-3 | 3 063.4 | 山1段 | 0.12 | Ⅵ | 0.000 2 | 0.009 5 | 0.002 1 | 0.466 5 | 2.081 4 | 0.120 2 | 6.408 1 |
| Q-15 | 3 100.9 | 山1段 | 0.19 | Ⅶ | 0.000 7 | 0.008 5 | 0.000 1 | 0.503 5 | 2.496 7 | 0.001 0 | 9.221 0 |
4 讨 论
4.1 孔隙结构主控因素
4.1.1 有机质含量
4.1.2 矿物含量
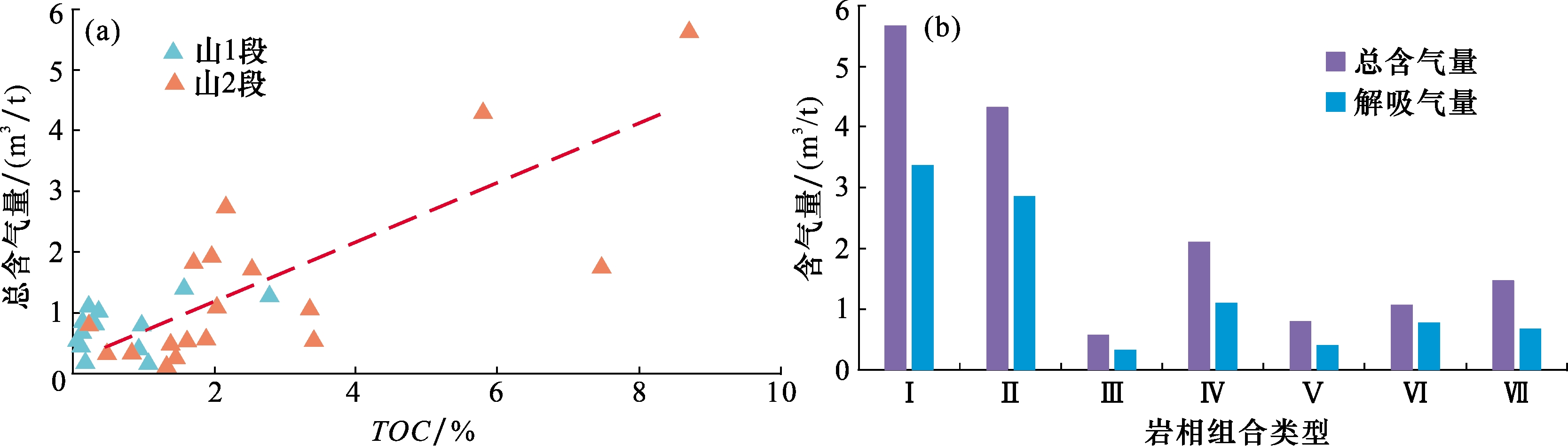
4.2 含气性分析
图9 延安地区山西组不同岩相含气性特征(a)TOC含量与含气量关系 ;(b)不同岩相含气量特征。注:岩相组合类型说明见图4(b) Fig.9 Gas-bearing characteristics of different lithofacies of Shanxi Formation in Yan 'an area |
表4 延安地区山西组不同岩相高压甲烷等温吸附特征Table 4 Isothermal adsorption characteristics of high pressure methane in different lithofacies of Shanxi Formation in Yan 'an area |
| 样品编号 | 深度/m | 吸附气量/(m3/t) | 兰氏压力/MPa | 兰氏体积/(m3/t) | 岩相类型 |
|---|---|---|---|---|---|
| Y-14 | 3 582.81 | 3.96 | 4.05 | 4.84 | 高有机质块状页岩相 |
| Y-13 | 3 589.09 | 6.84 | 1.19 | 7.57 | 高有机质层状页岩相 |
| Q-5 | 3 068.8 | 1.09 | 9.23 | 1.42 | 低有机质块状页岩相 |
| Q-14 | 3 096.1 | 1.30 | 10.03 | 1.74 | 低有机质层状页岩相 |
| Q-10 | 3 083.3 | 1.38 | 9.91 | 1.84 | 低有机质纹层状页岩相 |
| Q-11 | 3 085.4 | 1.09 | 9.76 | 1.45 | 低有机质纹层状粉砂岩相 |
| Y-5 | 3 553.38 | 0.88 | 5.22 | 1.2 | 低有机质纹层状泥岩夹粉砂/细砂岩相 |
















甘公网安备 62010202000678号