0 引言
1 研究区地质背景
2 煤系非常规天然气储层特征
2.1 煤层储层特征
2.1.1 煤层特征
2.1.2 煤层含气性特征
2.1.2.1 实测含气量分析
表1 研究区东部可采煤层煤层气成分及含量统计Table 1 Statistics on the composition and content of coalbed methane in recoverable coal seams in the eastern part of the study district |
| 煤层 编号 | 钻孔 编号 | 采样深度 /m | 煤层气成分/% | 煤层气含量/(cm3/g) | 煤层气分带 | ||||
|---|---|---|---|---|---|---|---|---|---|
| CH4 | CO2 | N2 | CH4 | CO2 | N2 | ||||
| 2 | 63-1 | 1 423.63~1 423.18 | 27.95 | 2.68 | 69.37 | 2.17 | 0.19 | 5.87 | 氮气—沼气带 |
| 2 | ZK1 | 1 440.53~1 441.53 | 45.61 | 8.62 | 45.77 | 0.70 | 0.12 | 1.42 | 氮气—沼气带 |
| 2 | ZK2 | 1 519.70~1 519.90 | 8.84 | 13.15 | 78.01 | 0.22 | 0.14 | 1.76 | 二氧化碳—氮气带 |
| 7 | 37-1 | 1 557.18~1 557.38 | 8.04 | 14.00 | 77.96 | 0.12 | 0.17 | 1.34 | 二氧化碳—氮气带 |
| 7 | 53-2 | 1 512.31~1 512.46 | 29.02 | 1.60 | 69.38 | 0.63 | 0.04 | 1.83 | 氮气—沼气带 |
| 7 | 63-1 | 1 468.35~1 468.50 | 17.13 | 4.80 | 78.07 | 0.91 | 0.18 | 3.91 | 氮气—沼气带 |
| 8 | 63-1 | 1 495.56~1 495.71 | 13.75 | 1.60 | 84.65 | 1.18 | 0.11 | 6.15 | 氮气带 |
| 8 | 67-1 | 1 425.75~1 425.85 | 14.40 | 1.78 | 83.82 | 1.06 | 0.08 | 5.14 | 氮气带 |
| 8 | ZK2 | 1 667.53~1 670.97 | 8.53 | 16.97 | 74.50 | 0.33 | 0.21 | 1.96 | 二氧化碳—氮气带 |
| 9 | 43-2 | 1 915.0~1 915.20 | 24.18 | 7.02 | 68.81 | 0.29 | 0.08 | 0.96 | 氮气—沼气带 |
| 9 | 53-2 | 1 550.15~1 550.30 | 23.66 | 1.47 | 74.87 | 0.59 | 0.04 | 2.05 | 氮气—沼气带 |
| 9 | 63-1 | 1 503.33~1 503.48 | 12.09 | 1.33 | 86.58 | 0.83 | 0.08 | 5.16 | 氮气带 |
表2 XJ1井煤样品无空气基气体组成统计数据Table 2 Statistical data table of airless base gas composition of coal samples from Well XJ1 |
| 煤层编号 | 样品编号 | CH4/(cm3/g) | C2H6/(cm3/g) | C3H8/(cm3/g) | H2/(cm3/g) | N2/(cm3/g) | CO2/(cm3/g) |
|---|---|---|---|---|---|---|---|
| 5 | XJ7 | 1.71 | / | / | 0.24 | 97.88 | 0.18 |
| 6 | XJ24 | 4.20 | / | / | / | 95.25 | 0.55 |
| 8 | XJ22 | 3.72 | / | / | / | 96.04 | 0.24 |
|
2.1.2.2 理论含气量分析
表3 巨鹿区块煤层吸附气含气量预测Table 3 Prediction table of adsorption gas content of coal seam in Julu block |
| 地层 | 埋深/m | 温度/℃ | 储层压力/MPa | 含气量/(cm3/g) |
|---|---|---|---|---|
| 山西组 | 500 | 34.5 | 4.9 | 5.34 |
| 1 000 | 49.0 | 9.8 | 4.93 | |
| 1 500 | 63.5 | 14.7 | 4.17 | |
| 2 000 | 78.0 | 19.6 | 3.45 | |
| 2 500 | 92.5 | 24.5 | 2.82 | |
| 3 000 | 107.0 | 29.4 | 2.29 | |
| 3 500 | 121.5 | 34.3 | 1.86 | |
| 太原组 | 500 | 34.5 | 4.9 | 7.24 |
| 1 000 | 49.0 | 9.8 | 6.50 | |
| 1 500 | 63.5 | 14.7 | 5.44 | |
| 2 000 | 78.0 | 19.6 | 4.47 | |
| 2 500 | 92.5 | 24.5 | 3.64 | |
| 3 000 | 107.0 | 29.4 | 2.95 | |
| 3 500 | 121.5 | 34.3 | 2.39 |
表4 山西组—太原组煤层游离气含量预测Table 4 Prediction of free gas content in coal seam of Shanxi Formation-Taiyuan Formation |
| 地层 | 埋深 /m | 游离气含气量 /(cm3/g) | 地层 | 埋深 /m | 游离气含气量 /(cm3/g) |
|---|---|---|---|---|---|
| 山西组 | 500 | 1.09 | 太原组 | 500 | 1.13 |
| 1 000 | 1.69 | 1 000 | 1.76 | ||
| 1 500 | 1.97 | 1 500 | 2.06 | ||
| 2 000 | 2.05 | 2 000 | 2.13 | ||
| 2 500 | 2.00 | 2 500 | 2.08 | ||
| 3 000 | 1.87 | 3 000 | 1.95 | ||
| 3 500 | 1.71 | 3 500 | 1.78 |
表5 山西组—太原组煤层气总含量预测Table 5 Total gas content prediction of Shanxi Formation-Taiyuan Formation coal seam |
| 地层 | 埋深 /m | 总含气量 /(cm3/g) | 地层 | 埋深 /m | 总含气量 /(cm3/g) | |
|---|---|---|---|---|---|---|
| 山西组 | 500 | 6.43 | 太原组 | 500 | 8.37 | |
| 1 000 | 6.62 | 1 000 | 8.26 | |||
| 1 500 | 6.14 | 1 500 | 7.50 | |||
| 2 000 | 5.50 | 2 000 | 6.60 | |||
| 2 500 | 4.82 | 2 500 | 5.72 | |||
| 3 000 | 4.16 | 3 000 | 4.90 | |||
| 3 500 | 3.57 | 3 500 | 4.17 |
2.2 页岩气储层特征
2.2.1 有机地球化学特征
2.2.1.1 有机质类型
2.2.1.2 有机质丰度
2.2.1.3 有机质成熟度
表6 XJ1井及邻区R O数据Table 6 R O data table for Well XJ1 and neighboring districts |
| 编号 | 层位 | 深度/m | R O/% |
|---|---|---|---|
| XJ1-4 | 山西组 | 3 054.46 | 0.64 |
| XJ1-6 | 3 055.31 | 0.75 | |
| XJ1-8 | 3 056.31 | 0.57 | |
| XJ1-10 | 3 057.21 | 0.61 | |
| XJ1-28 | 太原组 | 3 069.85 | 0.59 |
| XJ1-30 | 3 071.45 | 0.69 | |
| XJ1-39 | 3 075.90 | 0.56 | |
| XJ1-56 | 3 087.11 | 0.61 | |
| XJ1-58 | 3 089.75 | 0.61 | |
| XJ1-69 | 3 105.35 | 0.85 | |
| XJ1-71 | 3 105.84 | 0.49 | |
| XJ1-76 | 3 110.40 | 0.70 | |
| XJ1-128 | 3 131.75 | 0.55 | |
| XJ1-172 | 3 131.40 | 0.37 |
2.2.2 储层物性特征
2.2.2.1 扫描电镜实验
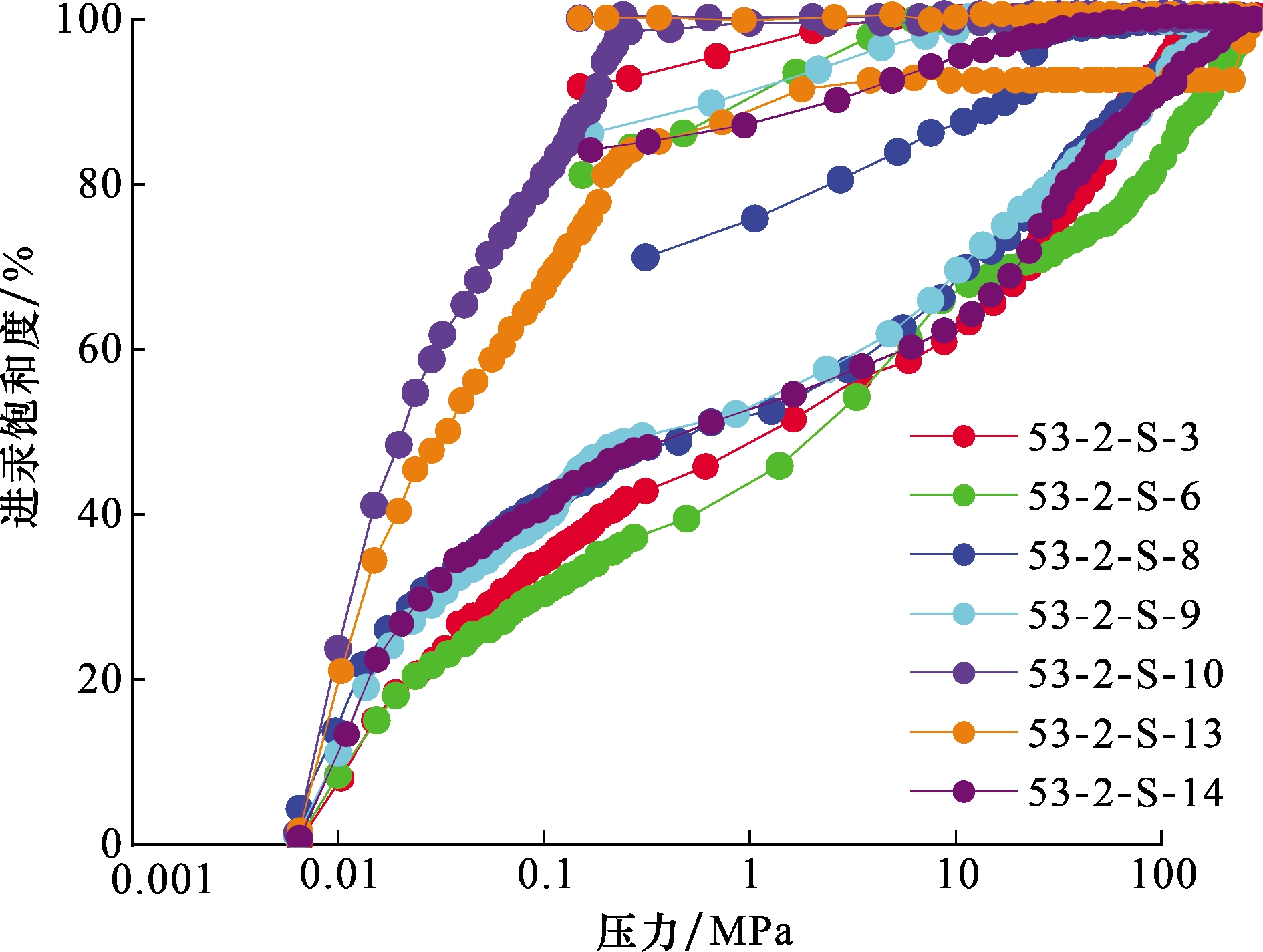
2.2.2.2 压汞实验
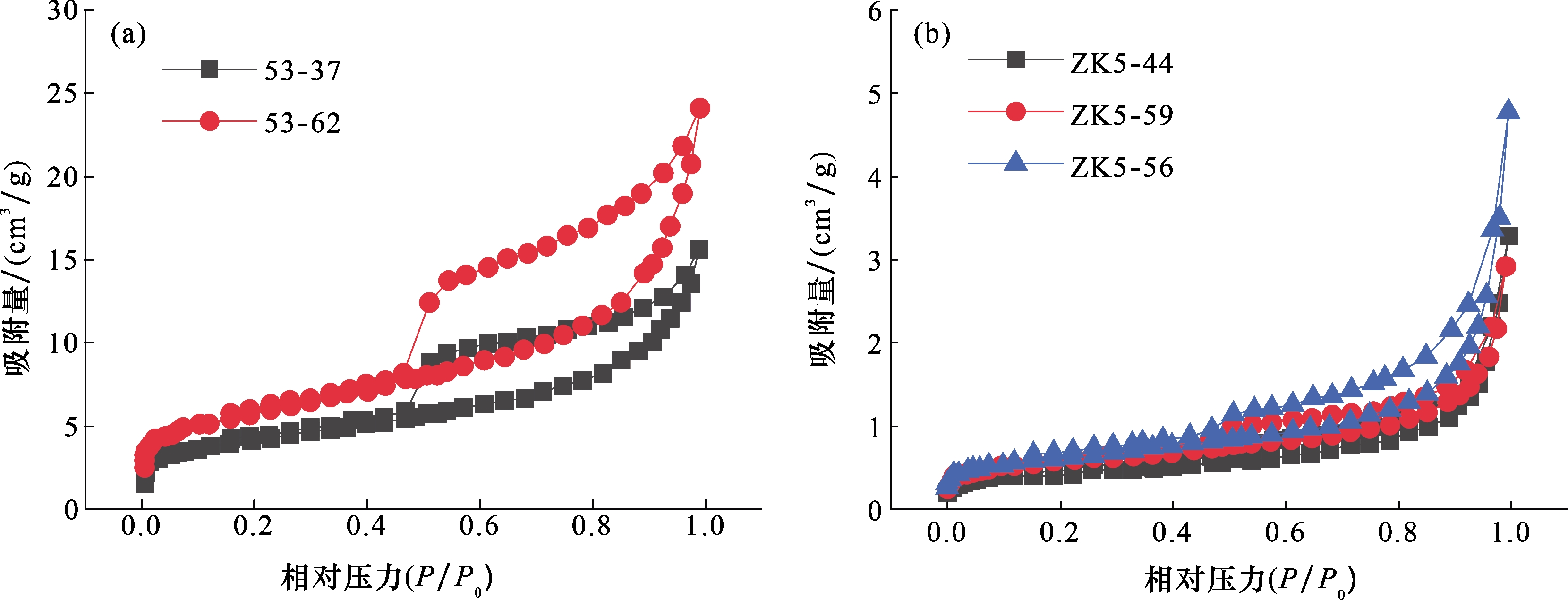
2.2.2.3 氮气吸附实验
表7 大城地区太原组—山西组样品液氮吸附实验孔隙结构参数Table 7 Pore structure parameters of liquid nitrogen adsorption experiments on samples from Taiyuan Formation and Shanxi Formation in Dacheng district |
| 参数 | 样品53-37 | 样品53-62 | 样品ZK5-44 | 样品ZK5-56 | 样品ZK5-59 |
|---|---|---|---|---|---|
| 孔比表面积/(m²/g) | 21.034 7 | 15.086 8 | 1.455 2 | 2.137 | 1.997 2 |
| 孔体积/(cm³/g) | 0.037 413 | 0.024 372 | 0.005 122 | 0.007 426 | 0.004 591 |
| 平均孔径/nm | 7.114 6 | 6.461 77 | 14.080 44 | 13.899 86 | 9.194 03 |
2.2.3 储层含气性特征
表8 等温吸附测试成果Table 8 Results of isothermal adsorption test |
| 区块名称 | 样品编号 | 地层 | 温度/℃ | TOC/% | 体积V L/(cm3/g) | 压力P L/MPa | 最大吸附量均值/(cm3/g) |
|---|---|---|---|---|---|---|---|
| 巨鹿区块 | D17 | 山西组 | 30 | — | 2.023 73 | 2.37 | 2.01 |
| D31 | 30 | — | 2.003 51 | 2.56 | |||
| 53-37 | 太原组 | 30 | 1.152 | 2.003 6 | 2.960 5 | 2.00 |
|
表9 巨鹿区块吸附气含量预测Table 9 Prediction of adsorbed gas content in Julu block |
| 目的层 | 埋深/m | 温度/℃ | 储层压力/MPa | a1 | 最大吸附量/(cm3/g) | a2 | 朗格缪尔压力/MPa | 吸附气含量/(cm3/g) |
|---|---|---|---|---|---|---|---|---|
| 太原组 | 500 | 30.13 | 4.9 | 2.13 | 1.35 | 2.87 | 2.54 | 0.89 |
| 1 000 | 44.63 | 9.8 | 2.13 | 1.31 | 2.87 | 2.39 | 1.05 | |
| 1 500 | 59.13 | 14.7 | 2.13 | 1.27 | 2.87 | 2.25 | 1.10 | |
| 2 000 | 73.63 | 19.6 | 2.13 | 1.23 | 2.87 | 2.12 | 1.11 | |
| 2 500 | 88.13 | 24.5 | 2.13 | 1.19 | 2.87 | 2.00 | 1.10 | |
| 3 000 | 102.63 | 29.4 | 2.13 | 1.16 | 2.87 | 1.88 | 1.09 | |
| 3 500 | 117.13 | 34.3 | 2.13 | 1.12 | 2.87 | 1.77 | 1.07 | |
| 4 000 | 131.63 | 39.2 | 2.13 | 1.09 | 2.87 | 1.67 | 1.04 | |
| 4 500 | 146.13 | 44.1 | 2.13 | 1.05 | 2.87 | 1.57 | 1.02 | |
| 山西组 | 500 | 30.13 | 4.9 | 2.13 | 1.35 | 2.87 | 2.54 | 0.89 |
| 1 000 | 44.63 | 9.8 | 2.13 | 1.31 | 2.87 | 2.39 | 1.05 | |
| 1 500 | 59.13 | 14.7 | 2.13 | 1.27 | 2.87 | 2.25 | 1.10 | |
| 2 000 | 73.63 | 19.6 | 2.13 | 1.23 | 2.87 | 2.12 | 1.11 | |
| 2 500 | 88.13 | 24.5 | 2.13 | 1.19 | 2.87 | 2.00 | 1.10 | |
| 3 000 | 102.63 | 29.4 | 2.13 | 1.16 | 2.87 | 1.88 | 1.09 | |
| 3 500 | 117.13 | 34.3 | 2.13 | 1.12 | 2.87 | 1.77 | 1.07 | |
| 4 000 | 131.63 | 39.2 | 2.13 | 1.09 | 2.87 | 1.67 | 1.04 | |
| 4 500 | 146.13 | 44.1 | 2.13 | 1.05 | 2.87 | 1.57 | 1.02 |
表10 巨鹿区块游离气量参数取值Table 10 Values of free gas volume parameters in Julu block |
| 目的层 | 压缩系数 /(MPa-1) | 初始孔隙度Φ 0 /% | 地应力梯度 /(MPa/m) | 地温梯度 /(℃/100 m) | 页岩密度 /(g/cm3) | 含气饱和度 /% |
|---|---|---|---|---|---|---|
| 太原组—山西组 | 0.015 | 1.85 | 0.009 8 | 2.90 | 2.63 | 70 |
表11 巨鹿区块暗色泥页岩游离气含量Table 11 Free gas content of dark shale in Julu block |
| 研究区 | 目的层 | 埋深/m | 温度/℃ | 储层压力 /MPa | 有效应力 /MPa | 孔隙度 /% | 孔隙体积 /(cm3/g) | 含气饱和度 /% | 游离气 /(cm3/g) |
|---|---|---|---|---|---|---|---|---|---|
| 巨鹿研究区 | 太原组 | 500 | 150.71 | 4.90 | 7.99 | 1.64 | 0.006 2 | 70 | 0.19 |
| 1 000 | 158.76 | 9.80 | 15.97 | 1.46 | 0.005 5 | 70 | 0.32 | ||
| 1 500 | 166.82 | 14.70 | 23.96 | 1.29 | 0.004 9 | 70 | 0.41 | ||
| 2 000 | 174.87 | 19.60 | 31.95 | 1.15 | 0.004 4 | 70 | 0.46 | ||
| 2 500 | 182.93 | 24.50 | 39.94 | 1.02 | 0.003 9 | 70 | 0.49 | ||
| 3 000 | 190.98 | 29.40 | 47.92 | 0.90 | 0.003 4 | 70 | 0.51 | ||
| 3 500 | 199.04 | 34.30 | 55.91 | 0.80 | 0.003 0 | 70 | 0.50 | ||
| 4 000 | 207.10 | 39.20 | 63.90 | 0.71 | 0.002 7 | 70 | 0.49 | ||
| 山西组 | 500 | 150.71 | 4.90 | 7.99 | 1.64 | 0.006 2 | 70 | 0.19 | |
| 1 000 | 158.76 | 9.80 | 15.97 | 1.46 | 0.005 5 | 70 | 0.32 | ||
| 1 500 | 166.82 | 14.70 | 23.96 | 1.29 | 0.004 9 | 70 | 0.41 | ||
| 2 000 | 174.87 | 19.60 | 31.95 | 1.15 | 0.004 4 | 70 | 0.46 | ||
| 2 500 | 182.93 | 24.50 | 39.94 | 1.02 | 0.003 9 | 70 | 0.49 | ||
| 3 000 | 190.98 | 29.40 | 47.92 | 0.90 | 0.003 4 | 70 | 0.51 | ||
| 3 500 | 199.04 | 34.30 | 55.91 | 0.80 | 0.003 0 | 70 | 0.50 | ||
| 4 000 | 207.10 | 39.20 | 63.90 | 0.71 | 0.002 7 | 70 | 0.49 |
表12 巨鹿区块暗色泥页岩含气量计算值Table 12 Calculation value of gas content of dark shale in Julu block |
| 目的层 | 埋深/m | 吸附气量/(cm3/g) | 游离气量/(cm3/g) | 总含气量/(cm3/g) | 目的层 | 埋深/m | 吸附气量/(cm3/g) | 游离气量/(cm3/g) | 总含气量/(cm3/g) |
|---|---|---|---|---|---|---|---|---|---|
| 太原组 | 500 | 0.89 | 0.19 | 1.08 | 山西组 | 500 | 0.89 | 0.19 | 1.08 |
| 1 000 | 1.05 | 0.32 | 1.37 | 1 000 | 1.05 | 0.32 | 1.37 | ||
| 1 500 | 1.10 | 0.41 | 1.51 | 1 500 | 1.10 | 0.41 | 1.51 | ||
| 2 000 | 1.11 | 0.46 | 1.57 | 2 000 | 1.11 | 0.46 | 1.57 | ||
| 2 500 | 1.10 | 0.49 | 1.59 | 2 500 | 1.10 | 0.49 | 1.59 | ||
| 3 000 | 1.09 | 0.51 | 1.60 | 3 000 | 1.09 | 0.51 | 1.60 | ||
| 3 500 | 1.07 | 0.50 | 1.57 | 3 500 | 1.07 | 0.50 | 1.57 | ||
| 4 000 | 1.04 | 0.49 | 1.53 | 4 000 | 1.04 | 0.49 | 1.53 |
图16 巨鹿区块太原组—山西组暗色泥页岩含气量变化Fig.16 Gas content variation of dark shale in the Taiyuan Formation -Shanxi Formation of Julu block |
2.3 致密砂岩储层特征
2.3.1 岩石组分特征
2.3.2 微观孔隙特征
2.3.3 含气性特征
表13 巨鹿区块致密砂岩含气量预测Table 13 Gas content prediction of tight sandstone in Julu block |
| 埋深/m | 温度/℃ | 储层压力/MPa | 孔隙度/% | 含气饱和度/% | 含气量/(cm3/g) | |
|---|---|---|---|---|---|---|
| 山西组 | 500 | 150.71 | 4.90 | 4.15 | 70 | 0.43 |
| 1 000 | 158.76 | 9.80 | 3.59 | 70 | 0.72 | |
| 1 500 | 166.82 | 14.70 | 3.10 | 70 | 0.89 | |
| 2 000 | 174.87 | 19.60 | 2.69 | 70 | 0.98 | |
| 2 500 | 182.93 | 24.50 | 2.32 | 70 | 1.02 | |
| 3 000 | 190.98 | 29.40 | 2.01 | 70 | 1.02 | |
| 3 500 | 199.04 | 34.30 | 1.74 | 70 | 0.99 | |
| 太原组 | 500 | 150.71 | 4.90 | 4.63 | 70 | 0.47 |
| 1 000 | 158.7 | 9.80 | 4.01 | 70 | 0.77 | |
| 1 500 | 166.82 | 14.70 | 3.47 | 70 | 0.96 | |
| 2 000 | 174.87 | 19.60 | 2.99 | 70 | 1.06 | |
| 2 500 | 182.93 | 24.50 | 2.59 | 70 | 1.10 | |
| 3 000 | 190.98 | 29.40 | 2.24 | 70 | 1.09 | |
| 3 500 | 199.04 | 34.30 | 1.94 | 70 | 1.06 |

甘公网安备 62010202000678号