0 引言
1 实验样品及方法
表1 模拟实验样品基本地球化学分析参数Table 1 Basic geochemical data of the initial sample for hydrocarbon generation simulation experiment |
| 层位 | 采样深度 /m | TOC /% | R O /% | T max /℃ | S 1 /(mg/g) | S 2 /(mg/g) | (S 1+S 2) /(mg/g) | I H /(mg/g) |
|---|---|---|---|---|---|---|---|---|
| E3 d 3 | 1 685~1 700 | 1.51 | 0.42 | 437 | 0.19 | 6.05 | 6.24 | 399 |
表2 模拟实验样品岩石矿物组成Table 2 Mineral composition of the initial sample for hydrocarbon generation simulation experiment |
| 矿物 | 石英 | 钾长石 | 斜长石 | 方解石 | 黄铁矿 | 硬石膏 | 铁白云石 | 黏土 | 石盐 | 辉石 | 黑云母 | 白云母 | 角闪石 |
|---|---|---|---|---|---|---|---|---|---|---|---|---|---|
| 含量/% | 20.4 | 4.9 | 0.1 | 25.5 | 0.8 | 0.0 | 0.0 | 42.5 | 5.9 | 0.0 | 0.0 | 0.0 | 0.0 |
表3 封闭体系黄金管生烃模拟实验设计方案Table 3 Design scheme of closed system gold tubes hydrocarbon generation simulation experiment |
| 模拟点 | 升温速率 /(℃/h) | 终止温度 /℃ | EasyR O /% | 升温时长 /h | 釜内压力 /MPa |
|---|---|---|---|---|---|
| 1 | 2 | 300 | 0.55 | 18.0 | 50 |
| 2 | 2 | 320 | 0.65 | 28.0 | 50 |
| 3 | 2 | 340 | 0.75 | 38.0 | 50 |
| 4 | 2 | 380 | 1.04 | 58.0 | 50 |
| 5 | 2 | 410 | 1.38 | 73.0 | 50 |
| 6 | 2 | 425 | 1.59 | 80.5 | 50 |
| 7 | 2 | 440 | 1.82 | 88.0 | 50 |
| 8 | 2 | 460 | 2.16 | 98.0 | 50 |
| 9 | 2 | 480 | 2.52 | 108.0 | 50 |
| 10 | 2 | 500 | 2.91 | 118.0 | 50 |
| 11 | 2 | 520 | 3.31 | 128.0 | 50 |
| 12 | 2 | 550 | 3.83 | 143.0 | 50 |
| 13 | 20 | 320 | 0.51 | 5.5 | 50 |
| 14 | 20 | 340 | 0.59 | 6.5 | 50 |
| 15 | 20 | 380 | 0.77 | 8.5 | 50 |
| 16 | 20 | 410 | 0.97 | 10.0 | 50 |
| 17 | 20 | 440 | 1.28 | 11.5 | 50 |
| 18 | 20 | 460 | 1.52 | 12.5 | 50 |
| 19 | 20 | 480 | 1.81 | 13.5 | 50 |
| 20 | 20 | 500 | 2.13 | 14.5 | 50 |
| 21 | 20 | 520 | 2.47 | 15.5 | 50 |
| 22 | 20 | 550 | 3.02 | 17.0 | 50 |
| 23 | 20 | 600 | 3.87 | 19.5 | 50 |
2 实验结果分析
2.1 产气特征分析
图3 模拟实验烃类气体产率及干燥系数的演化Fig.3 Evolution diagram of hydrocarbon gas yield and drying coefficient in simulated experiment |
2.2 产油特征分析
图5 东三段泥岩热模拟产出油的全烃气相色谱(RT:7.5~89.0 min)(a)2 ℃/h升温速率下320 ℃产出油;(b)2 ℃/h升温速率下340 ℃产出油;(c)2 ℃/h升温速率下380 ℃产出油;(d)2 ℃/h升温速率下410 ℃产出油; (e)2 ℃/h升温速率下425 ℃产出油;(f)2 ℃/h升温速率下440 ℃产出油 Fig.5 Total hydrocarbon gas chromatogram of the E3 d 3 mudstone produced by thermal simulation(RT:7.5~89.0 min) |
2.3 油饱和指数和气油比
3 封闭体系下的生烃特征分析
3.1 生烃动力学分析
3.2 生烃阶段划分
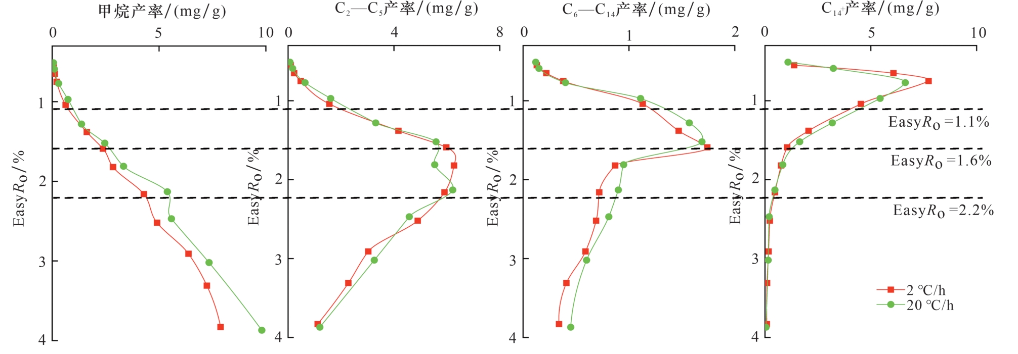
图10 封闭体系下的4种烃类产物的产率与EasyR O关系Fig.10 Relationship between the yield of four hydrocarbon products and EasyR O by closed gold tubes experiment |

甘公网安备 62010202000678号