0 引言
1 储层高温高压渗流规律
1.1 实验样品与条件
表1 岩心基础物性参数Table 1 Core physical property parameters |
| 样品编号 | 取样井号 | 取样深度/m | 长度/cm | 直径/cm | 气测渗透率/(10-3 μm2) | 孔隙度/% | 岩心类型 |
|---|---|---|---|---|---|---|---|
| AY-3 | MX-8 | 5 318.85~5 319.11 | 7.132 | 6.714 | 0.002 6 | 0.78 | 孔隙型 |
| AY-6 | MX-8 | 5 319.67~5 319.95 | 6.520 | 8.203 | 0.003 2 | 1.87 | 孔隙型 |
| AY-5 | MX-123 | 5 322.46~5 322.50 | 7.966 | 6.503 | 0.013 6 | 2.08 | 孔洞型 |
| AY-7 | MX-123 | 5 378.22~5 378.36 | 8.361 | 6.534 | 0.014 9 | 2.17 | 孔洞型 |
| AY-9 | GS-18 | 5 136.19~5 136.28 | 7.160 | 6.561 | 0.354 8 | 2.89 | 缝洞型 |
| AY-4 | GS-18 | 5 191.80~5 191.91 | 9.773 | 6.573 | 0.499 5 | 3.13 | 缝洞型 |
1.2 实验仪器与流程
1.3 储层特征岩心渗流规律
2 拟启动压力
3 高速非达西紊流系数
4 应力敏感性
5 水平井产能公式建立
5.1 储层内部气体渗流形式
5.2 气体渗流运动方程和产能方程
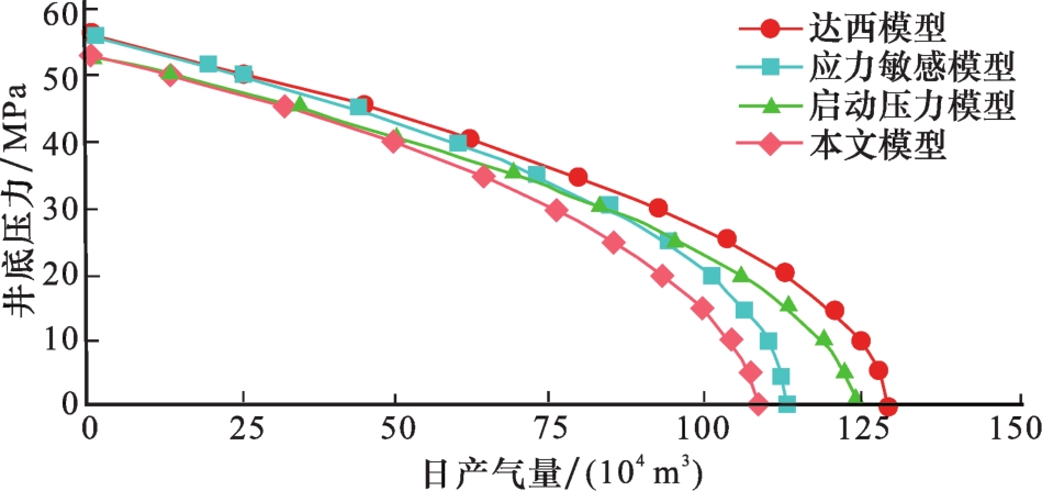
5.3 产能模型实例验证及碳酸盐岩不同类型储层产能评价
表2 各因素对不同类型储层造成的无阻流量损失Table 2 The open flow loss caused by various factors to different types of reservoirs |
| 储层类型 | 应力敏感 /% | 低速非达西 /% | 高速非达西 /% | 综合因素 /% |
|---|---|---|---|---|
| 孔隙型 | 8.62 | 23.42 | — | 29.07 |
| 孔洞型 | 12.53 | 3.93 | — | 16.57 |
| 缝洞型 | 26.58 | — | 34.20 | 41.82 |

甘公网安备 62010202000678号