0 引言
1 地质背景
2 样品与实验
2.1 样品情况
图2 川中北斜坡地区样品手标本照片及镜下薄片照片(a)PT101井,深度5 726.20~5 726.28 m; (b)PT103井,深度5 724.32~5 724.52 m; (c)PT102井,深度5 857.06~5 857.23 m;(d) PT102井,深度5 857.06~5 857.23 m,2.5×,(-);(e) PT101井,深度5 729.89~5 729.94 m,5×,(-); (f)PT101井,深度5 729.89~5 729.94 m,2.5×,(-);(g)PT101井,深度5 778.28~5 778.5 m,2.5×,(-)①围岩;②细粉晶白云岩;③叶片状白云岩;④薄膜状沥青;⑤晚期鞍状白云岩;⑥晚期沥青 Fig.2 Photographs of hand specimens and microscopically thin sections of samples from the north slope area of central Sichuan Basin |
图3 川中北斜坡地区流体包裹体均一温度测定(a)PT103井,深度5 928.54~5 928.63 m, 100×,(-);(b)PT102井,深度5 850.31~5 850.34 m, 20×,(-); (c) PT102井,深度5 850.31~5 850.34 m,10×,(-);(d)PT103井,深度6 104.00~6 104.15m注:烃类包裹体在红外光激发下显示蓝白色荧光;红色方框和温度为对应流体包裹体所测得的均一温度 Fig.3 Map of homogenization temperature of fluid inclusions in the north slope area of central Sichuan Basin |
2.2 U—Pb定年实验方法
表1 川中北斜坡地区U—Pb定年实验参数Table 1 U-Pb dating experiment parameters of the north slope area of central Sichuan Basin |
| 仪器名称 | 仪器型号 | 其他参数 | |||
|---|---|---|---|---|---|
| ICP-MS | Thermo Fisher iCAP RQ | 冷却气体流速/(L/min) 14 | 载气流速/(L/min) 0.8 | 雾化气体流速/(L/min) 0.8 | 持续时间/s 37 |
| LA | RESOLU- -TION SE | 剥蚀时间/s | 剥蚀频率/Hz | 束斑直径/μm | 能量强度/MJ |
| 20 | 15 | 120 | 5.6 | ||
2.3 团簇同位素(∆47)实验方法
2.3.1 样品前处理
2.3.2 重结晶和固态重排对∆47值的影响
3 结果与讨论
3.1 成岩时间与成岩温度恢复
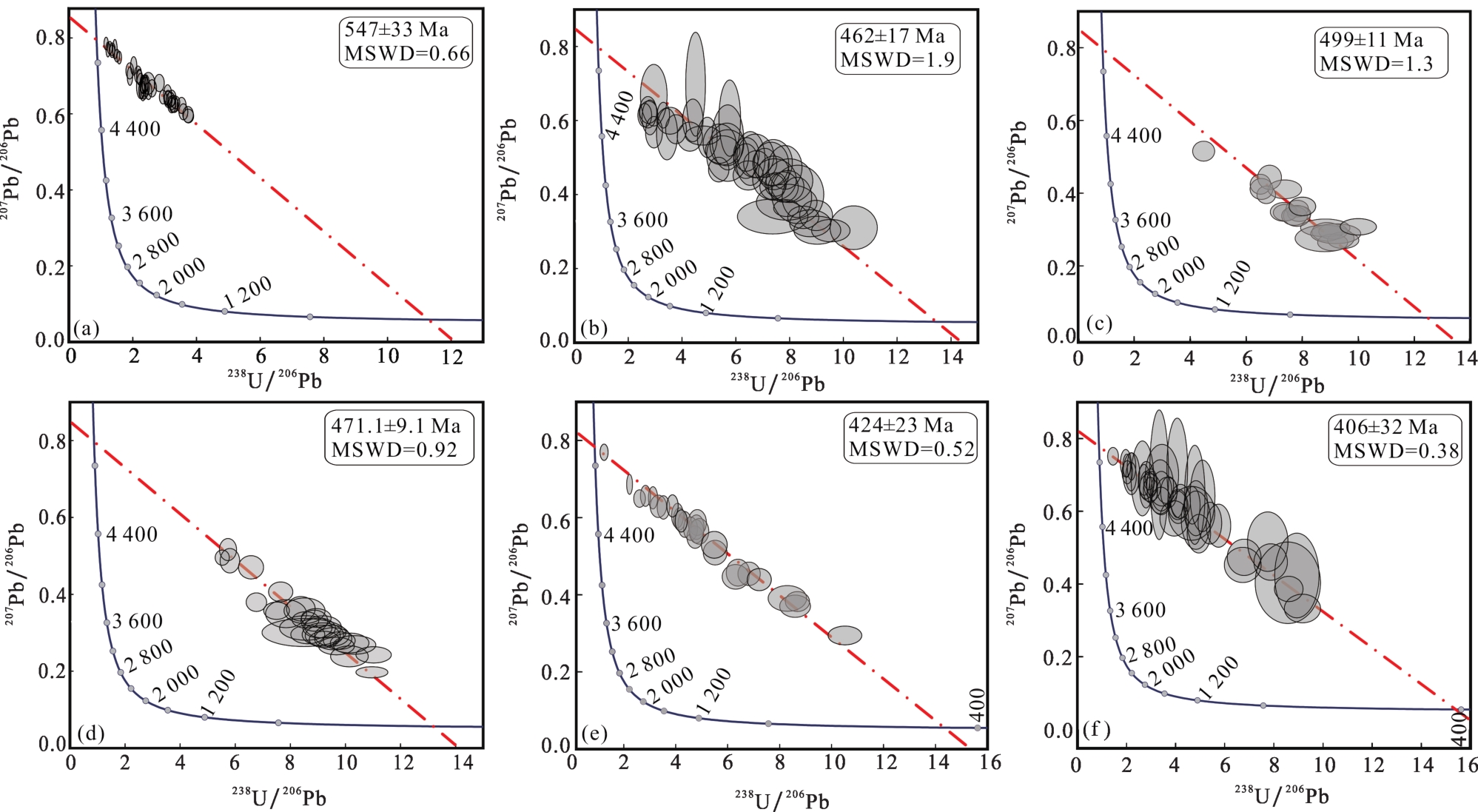
表2 川中北斜坡地区U—Pb定年结果统计Table 2 Statistical table of U-Pb dating results in the north slope of central Sichuan Basin |
| 编号 | 井号 | 取样深度/m | 产状 | 等式年龄/Ma | 时代范围 |
|---|---|---|---|---|---|
| 103-22c | PT103 | 6 101.27~6 101.37 | 围岩 | 547±33 | 震旦纪—早寒武世 |
| 101-4 | PT101 | 5 726.20~5 726.28 | 细粉晶白云岩 | 462±17 | 早奥陶世—晚奥陶世 |
| 101-6b | PT101 | 5 729.89~5 729.94 | 细粉晶白云岩 | 499±11 | 晚寒武世—早奥陶世 |
| 101-6c | PT101 | 5 729.89~5 729.94 | 细粉晶白云岩 | 471.7±9.1 | 早奥陶世—中奥陶世 |
| 101-6 | PT101 | 5 729.89~5 729.94 | 叶片状白云岩 | 424±23 | 晚奥陶世—早泥盆世 |
| 101-4b | PT101 | 5 726.20~5 726.28 | 叶片状白云岩 | 406±32 | 晚奥陶世—晚泥盆世 |
图5 川中北斜坡地区U—Pb同位素年龄谐和谱图(a) 产状为围岩;(b)—(d)产状为细粉晶白云岩;(e)—(f) 产状为叶片状白云岩图中蓝色线条为谐和年龄曲线,红色线条为年龄等时线(上交点通常指地球年龄,一般为5 000 Ma左右),红色线条周围的圆圈(灰色填充的椭圆)为测定的同位素值,圆越大代表误差范围越大,MSWD为数据离散程度,一般要求小于2 Fig.5 U-Pb isotopic age concordant spectrum in the north slope area of central Sichuan Basin |
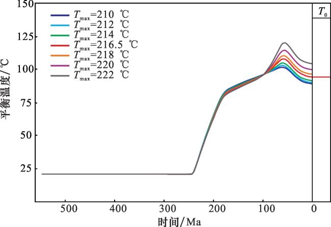
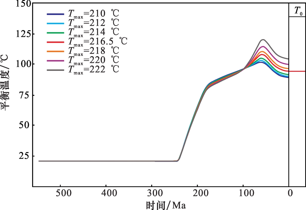
表3 川中北斜坡地区团簇同位素固态重排模拟结果统计(平衡温度计算引自文献[24]; 现今埋藏温度的计算引自文献[33])Table 3 Statistical table of simulation results of cluster isotope rearrangement in the north slope area of central Sichuan Basin(The equilibrium temperature was calculated by Ref.[24]; the calculation of current burial temperature was quoted from Ref.[33]) |
| 样品编号 | 产状 | 实测∆47/‰ | 标准偏差 | 视平衡温度/℃ | 模拟∆47初始值 /‰ | 模拟∆47终值 /‰ | 现今埋藏温度 /℃ | 成岩T ∆47 /℃ |
|---|---|---|---|---|---|---|---|---|
| 102-7-1 | 围岩 | 0.528 | 0.021 | 90.11 | 0.695 1 | 0.528 1 | 153.00 | 21.26 |
| 102-5-1 | 围岩 | 0.520 | 0.018 | 94.74 | 0.660 2 | 0.521 1 | 153.00 | 32.42 |
| 101-6-1 | 细粉晶白云岩 | 0.493 | 0.014 | 111.78 | 0.587 6 | 0.493 2 | 161.53 | 60.35 |
| 101-4-1 | 细粉晶白云岩 | 0.491 | 0.004 | 113.14 | 0.582 6 | 0.491 0 | 161.44 | 62.58 |
| 103-6-1 | 细粉晶白云岩 | 0.470 | 0.022 | 128.34 | 0.540 9 | 0.474 6 | 161.44 | 83.00 |
| 101-4-2 | 叶片状白云岩 | 0.479 | 0.014 | 121.61 | 0.552 3 | 0.479 4 | 161.44 | 77.07 |
| 101-6-2 | 叶片状白云岩 | 0.495 | 0.023 | 110.44 | 0.607 3 | 0.495 0 | 161.53 | 52.04 |
| 101-18-3 | 鞍状白云岩 | 0.422 | 0.023 | 171.13 | 0.419 8 | 0.422 5 | 162.73 | 173.43 |
| 102-5-3 | 鞍状白云岩 | 0.420 | 0.019 | 173.22 | 0.416 7 | 0.420 5 | 162.73 | 176.79 |

甘公网安备 62010202000678号