0 引言
1 地质背景
2 页岩油气地质特征
2.1 沉积与页岩分布特征
表1 TY1井凉高山组沉积相划分依据Table 1 Sedimentary facies division basis of Lianggaoshan Formation in Well TY1 |
| 相带 | 深度/m | 小层 | 厚度/m | 泥岩厚度/m | 泥地比/% | GR/API | TOC/% | 含气量/(m3/t) |
|---|---|---|---|---|---|---|---|---|
| 半深湖 | 2 536.5~2 561.7 | ④ | 25.2 | 24.53 | 97.6 | 104.25 | 1.56 | 1.81 |
| 浅湖 | 2 508.642~2 536.546 | ⑤ | 27.728 | 13.122 | 51.3 | 95.26 | 1.235 | 0.554 |
| 2 561.7~2 584.354 | ③ | 22.642 | 13.857 | 61.2 | 93.82 | 0.75 | 0.875 | |
| 2 584.354~2 598.44 | ② | 14.05 | 12.549 | 67.96 | 98.43 | 1.08 | 0.5 | |
| 滨湖 | 2 465.316~2 508.642 | ⑥ | 43.127 | 18.859 | 43.72 | 89.37 | 1.53 | 0.395 |
| 2 598.44~2 624.472 | ① | 26.032 | 12.548 | 48.2 | 92.45 | 0.498 | 0.304 |
2.2 优质页岩储层特征
2.2.1 有机地球化学
2.2.2 储集空间及储集特征
图4 TY1井凉高山组页岩储集空间类型(a)炭质泥岩(全貌),TY1井,2 547.26 m,凉高山组; (b)有机质孔(局部放大),TY1井,2 547.26 m,凉高山组;(c) 黏土矿物孔(局部放大),TY1井,2 547.26 m,凉高山组;(d) 炭质泥岩(全貌),TY1井,2 403.84 m,凉高山组;(e) 粒缘缝,TY1井,2 403.84 m,凉高山组;(f) 微裂缝,TY1井,2 403.84 m,凉高山组 Fig.4 Types of shale reservoir space in Lianggaoshan Formation of Well TY1 |
2.2.3 含气性特征
2.2.4 可压性特征
3 页岩油气富集规律
3.1 有利相带成烃控储
表2 涪陵地区部分井位储层参数Table 2 Parameter table of some well position reservoirs in Fuling area |
| 井名 | 相带 | TOC/% | 厚度/m | 油气显示/% | 测井解释孔隙度/% | R O/% |
|---|---|---|---|---|---|---|
| TY1 | 半深湖 | 1.56 | 25.2 | 100 | 3.52 | 1.34 |
| TL202 | 1.05 | 23 | 7.42 | 3.24 | 1.31 | |
| TL601 | 1.11 | 23.2 | 81.5 | 4.28 | 1.46 | |
| TL201 | 1.82 | 24.7 | 22.4 | 3.87 | 1.3 | |
| FY3-2 | 浅湖 | 0.76 | 14.1 | 1.4 | 2.51 | 1.1 |
| FY1 | 滨湖 | 0.7 | 7 | 6.66 | 2.51 | 1.03 |
图5 不同相带页岩厚度、油气显示及TOC对比图Fig.5 Shale thickness, oil and gas display and TOC comparison diagram of different facies zones |
3.2 热演化程度控藏
3.2.1 热演化程度
3.2.2 构造演化
3.3 良好的保存条件控富
3.3.1 构造部位与顶底板条件
3.3.2 现今最大水平主应力与断裂优势方位的夹角
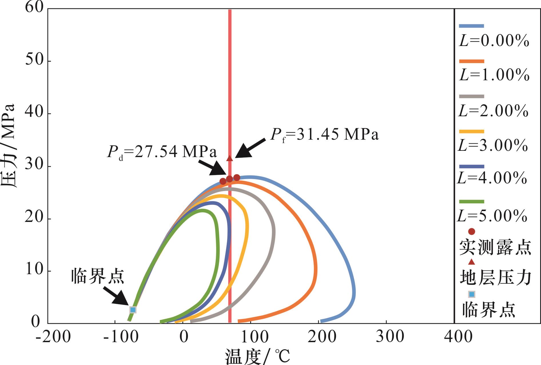
3.3.3 压力系数
3.4 微裂缝发育控产
表3 四川盆地陆相井位断裂分级、裂缝密度及产量关系Table 3 Fracture grade, fracture density and yield relationship of terrestrial well position in Sichuan Basin |
| 井号 | 断裂级别 | 裂缝密度/(条/m) | 测试产量/(104 m3/d) |
|---|---|---|---|
| YN9 | 一级断裂 | 2.87 | 0.26 |
| JJ1 | 3.66 | 微气 | |
| YF10 | 二级断裂 | 1.34 | 5.58 |
| PA1 | 三级或四级断裂 | 0.88 | 11.45 |
| TY1 | 0.73 | 7.8 |

甘公网安备 62010202000678号