The effect of particle size on low pressure gas adsorption experiments for high-maturity shale

  • Teng-fei LI , 1 ,
  • Hui TIAN , 1 ,
  • Xian-ming XIAO 2 ,
  • Peng CHENG 1 ,
  • Xing WANG 1, 3 ,
  • Yao-wen WU 1, 3 ,
  • Zi-jin WU 1, 3
Expand
  • 1. Guangzhou Institute of Geochemistry, Chinese Academy of Sciences, Guangzhou 510640, China
  • 2. China University of Geosciences, Beijing 100083, China
  • 3. University of Chinese Academy of Sciences, Beijing 100049, China

Received date: 2020-02-25

  Revised date: 2020-04-26

  Online published: 2020-09-04

Highlights

To evaluate the effect of particle size on the determination of shale physical parameters and explore the suitable particle size range for such analysis, three samples with different TOC content from the Lower Cambrian Niutitang Formation in southeast Chongqing area were investigated. Combined with low pressure N2/CO2 adsorption experiments, organic petrology, laser Raman spectroscopy and XRD mineralogical results, the influence of crushing and sieving on the measurement of mineral composition, specific surface area and pore size distribution were discussed. The results are as follows:(1) Pores within organic matter and intergranular of clay minerals are the main types in shale samples, and the development of organic pores are heterogeneous;(2) The procedure of sieving can cause irregular differentiation to mineral composition of shale samples;(3) The results of low pressure N2 adsorption experiment indicate that when the particle size is less than 0.425 mm(>40 Mesh), smaller particle size can increase the specific surface area and obviously affect pore volume of mesopores and macropores; However, when the particle size is greater than 2 mm(<10 Mesh), further increase in particle size will significantly increase the experimental time; (4) Particle size has no distinct impact on the micropores in shales. Combining the experimental reliability and time efficiency as well as the heterogeneous nature of shale samples, particle sizes between 10-40 Mesh are recommended for the experimental analysis of shale physical parameters.

Cite this article

Teng-fei LI , Hui TIAN , Xian-ming XIAO , Peng CHENG , Xing WANG , Yao-wen WU , Zi-jin WU . The effect of particle size on low pressure gas adsorption experiments for high-maturity shale[J]. Natural Gas Geoscience, 2020 , 31(9) : 1271 -1284 . DOI: 10.11764/j.issn.1672-1926.2020.04.021

0 引言

原地气量是页岩气商业性评价的重要参数[1-3],涉及到多项物性参数指标。其中,孔隙是页岩含气性评价的基本参数,具有类型多样、分布广泛的特点,其孔径分布的范围可从纳米级到微米级[4-7]。目前,已有多种方法用于页岩孔隙结构的表征。例如,利用高分辨扫描电镜(SEM)、透射电镜(TEM)、原子力显微镜(AFM)、核磁共振(NMR)等方法[4, 8-12]可对页岩中的孔隙类型及分布情况进行较直观的定性或半定量的评价。依据孔隙发育的位置,可将其划分为矿物粒间孔、矿物粒内孔、有机质孔和微裂缝等[8]。但是为了评估页岩的原地气量还需要结合多种定量指标,如通过压汞法、氦气扩算法、低压N2/CO2等温吸附法等方法[7, 13-15]得到页岩的孔隙度、比表面积及孔径分布等物性参数,并结合相应的地质模型进行评价。通常在开展上述页岩物性测试工作时需要对样品进行研磨、破碎及筛分等前处理来获取一定粒径范围的样品,但是研磨破碎过程会不可避免地导致样品产生新的颗粒表面[16-17]、微裂缝[18]及造成内部微孔的连通等现象[19]。所以为了更合理地表征页岩的物性参数需要回答以下几个问题:选取不同粒径对样品物性参数测定的结果是否会存在影响?引起差异的原因有哪些方面?是否存在相对合适的粒径范围?通过对上述问题进行合理的讨论,有利于后期相关实验工作的开展。
近年来关于样品粒径对于页岩物性参数测定可能的影响已得到了较多学者的重视,如CHEN 等[19]对比了4目、20目、60目3个不同粒径样品的测试结果,认为介孔的孔体积会随着粒径降低而增大,而且粒径的差异会影响迟滞回环的形状;WEI等[20]则对比了60~80、80~100、100~120、120~140、140~200等5个目数梯度样品的等温吸附实验结果,推荐60~140目的样品适合于低压气体等温吸附实验,而LI 等[21]推荐20~80目的粒径范围用于低压N2等温吸附实验。HAN等 [22]则对粒径范围在4~0.058 mm之间的下志留统龙马溪组页岩样品开展了对比实验,认为粒径为0.113 mm(130目)的样品最适合于页岩的低压气体等温吸附实验;MASTALERZ等 [23]分析了粒径对不同成熟度页岩样品测试结果的影响,推荐采用200目的粒径来开展页岩的低压气体等温吸附实验,并认为粒径大的样品测试结果的可重现性低主要是由于平衡条件的问题;李勃等[24]通过对不同TOC含量的上奥陶统五峰组—下志留统龙马溪组页岩开展了粒径对比分析实验,认为粒径对页岩比表面积测量值的影响较小,但对孔体积和孔径分布的影响较大,推荐选择180~250 μm(60~80目)的页岩样品进行低压N2等温吸附实验。可见关于粒径大小对页岩低压气体吸附实验结果的影响尚未形成完全统一的认识,此外样品粒径过小会在颗粒之间发生类似于毛细管凝聚的作用,从而影响对孔径分布的判识。理论上讲,页岩样品的粒径越大越能代表原始页岩样品的物性特征,但是样品粒径过大,由于页岩中孔隙之间的连通性小,气体扩散速率慢,从而会增加达到吸附平衡条件所需的时间[16],这样对于仪器及实验过程就需要更高的要求。所以在保证实验数据可靠的前提下,还需要从时效性的角度评价样品粒径对分析测试结果的影响。此外,筛分过程还可能会导致样品的成分出现分异,如CLOKE等[25]通过对不同粒径的煤进行显微组分分析,发现类脂组含量会随着样品粒径的增大而增多,因此筛分过程也可能会对样品物性参数的测定产生影响,所以有必要重视筛分过程对样品产生的分异作用。
我国南方广泛发育的下寒武统和下志留统2套富有机质黑色页岩[26-30],具有TOC含量高,有机质热演化成熟度高的特点[31],是我国页岩气的重要产气层。前人[32-36]对这2套页岩已经开展了大量的物性参数测定实验,如果选取的样品粒径大小会对页岩物性参数测定的结果产生影响,那么粒径选取的不统一也不利于实验室之间数据的对比。由于低成熟度阶段的页岩中存在原油,可能会使得对粒径大小影响的讨论复杂化,结合我国实际地质情况,本研究中选取了渝东南地区有机质热演化成熟较高的下寒武统牛蹄塘组页岩为研究对象,对比分析了不同粒径范围样品的矿物组成,讨论物理筛分对样品矿物组成的影响;对不同TOC含量不同粒径的样品分别开展低压N2/CO2等温吸附实验,探讨了粒径对页岩的比表面积、孔体积、孔径分布等物性参数的影响,并分析其原因。通过系统地对比分析样品粒径对页岩物性参数测定的影响,可以为后期相关实验工作的开展提供一定的指导作用。

1 样品与实验方法

渝东南地区位于四川盆地的东南边缘,大地构造上属于上扬子地台区东南部[37],紧邻涪陵页岩气田,区内的下寒武统牛蹄塘组和上奥陶统五峰组—下志留统龙马溪组是我国目前页岩气勘探开发的有利层位[38]。早寒武世,整个渝东南地区沿着七曜山断裂,向东水体逐渐变深,牛蹄塘组的平面展布由浅水陆棚沉积相过渡到深水陆棚沉积相[39]。本研究中以重庆市酉阳县龙潭镇的一个下寒武统牛蹄塘组剖面为研究对象,采样点的位置如图1所示。选取了其中3块不同TOC含量的富有机质黑色页岩来开展实验工作(表1)。
图1 采样点位置示意(据文献[39]修改)

Fig.1 Schematic diagram of sampling location(modified from Ref.[39])

表1 页岩样品基本地球化学特征

Table 1 Basic geochemical characteristics of shale samples

样品 编号 层位 eqR O/% TOC/% 粒径 /目 矿物组成/%
石英 长石 伊利石 黄铁矿
JG-2-1 Є1 n 3.23 4.00 1~5 57.2 12.9 30 -
JG-2-2 5~10 44.6 11.2 44.2 -
JG-2-3 10~20 48.9 12.1 38.9 -
JG-2-4 20~40 49.8 11.2 39 -
JG-2-5 40~60 50.8 10 39.2 -
JG-2-6 60~80 53.7 11.7 34.6 -
JG-2-7 80~100 44 11.7 44.3 -
JG-2-8 <100 50.1 10.9 39 -
JG-8-2 Є1 n 3.16 9.02 5~10 66 9.7 24.3 -
JG-8-3 10~20 62.6 9.6 26.2 1.6
JG-8-4 20~40 60 10.9 29.1 -
JG-8-5 40~60 64.5 12.6 22.8 -
JG-8-6 60~80 64 9.5 26.5 -
JG-8-7 80~100 67 8.2 24.8 -
JG-8-8 <100 59.1 10.2 30.7 -
JG-11-1 Є1 n 3.33 7.37 1~5 - - - -
JG-11-2 5~10 - - - -
JG-11-3 10~20 - - - -
JG-11-4 20~40 - - - -
JG-11-5 40~60 - - - -
JG-11-6 60~80 - - - -
JG-11-7 80~100 - - - -
JG-11-8 <100 - - - -

注:eqR O为等效激光拉曼成熟度;“-”为没有数据或没有测定

结合前人研究中开展页岩低压气体等温吸附实验中常用的筛分目数,对选取的3个样品分别取约100 g新鲜样品破碎筛分,获得1~5目、5~10目、10~20目、20~40目、40~60目、60~80目、80~100目及>100目8个粒径范围的样品,样品信息如表1所示。

1.1 有机地球化学和岩石学分析

研究样品分别取2 g,研磨至100目,用稀盐酸除去碳酸盐矿物后在LECO CS-200碳—硫分析仪上机测定,通过有机质燃烧生成的CO2峰面积来换算得到TOC含量[40-41]
固体有机质拉曼峰的形态和位移反映了芳香碳环结构中原子和分子的振动信息,因而可用于表征固体有机质的成熟度水平[42-43]。鉴于此,本研究选择激光拉曼光谱参数来计算页岩的热演化成熟度。由于寒武系样品缺乏镜质体,本研究对原岩样品切块抛光处理后,在HORIBA-JY Xplora显微激光拉曼光谱仪上测定了沥青的拉曼光谱。主要实验条件为:固体激光器532 nm/30~50 mW;曝光时间10~20 s,扫描波数范围为1 000~3 200 cm-1;观测物镜×50。每个样品至少测定5个不同的沥青颗粒。分析结果采用GaussLoren模型拟合,分析与计算方法与BEYSSAC等[44]相同。

1.2 矿物成分分析

利用德国Bruker D8 Advance型X-Ray衍射仪对JG-2和JG-8这2个系列的样品开展了矿物成分测定。分别取2 g各粒径范围的样品,用玛瑙研钵粉碎至200目,105 ℃条件下烘干12 h,除去样品中的水分和挥发性物质。测试条件为:Cu(单色),工作电压为40 KV,工作电流为30 mA,狭缝宽为1 mm。以4°/min的速率在3°~85°(2θ)范围内进行扫描。矿物的相对含量是根据绝热法来确定[45]

1.3 低压N2/CO2等温吸附实验

使用美国Micromertics公司生产ASAP 2020全自动比表面积分析仪对3个系列样品分别开展低压N2等温吸附实验;对JG-2和JG-8这2个系列样品分别开展低压CO2等温吸附实验。实验步骤如下:称取约1 g样品,在仪器上设定110 ℃、真空(<10 mmHg)条件下脱气10 h,进一步脱去样品中吸附的挥发性物质。低压N2等温吸附实验设定的实验压力范围P/P 0值为0.000 4~0.998,设定的平衡时间间隔为30 s,在液氮温度(-196 ℃)条件下进行实验获得低压N2等温吸附和脱附曲线。低压CO2等温吸附实验,设定实验压力范围P/P 0值为4×10-6~0.035,平衡时间间隔为30 s,在冰水混合物温度(0 ℃)条件下获得低压CO2等温吸附曲线。

1.4 FE-SEM观察

场发射扫描电镜成像技术能够较直观地观察页岩中孔隙的类型及其发育的位置[6]。对3个页岩样品进行机械研磨抛光后,再利用氩离子抛光机(IM4000,Hitachi High-Tech)研磨抛光以获取更加平整的抛光面,设定的加速电压为3 kV,抛光时间为4 h。然后,利用场发射扫描电镜(Hitachi S4800)对样品进行观察,获得二次电子(SE)图像和背散射图像。为了避免破坏页岩样品,本研究设定的测试条件为:加速电压为1~5 kV,工作距离为1.5~8 mm。

2 结果与讨论

2.1 有机岩石学及等效激光拉曼成熟度

本研究中3块页岩样品的TOC值分别为4%、9.02%和7.37%,具有较高的TOC含量,这与前人对渝东南地区下寒武统页岩的研究结果相似,表明这套页岩具备较好的页岩气生成的物质基础。
显微观察表明,3个样品中均发育有条带状沥青,激光拉曼光谱测定结果如图2所示。3个样品中顺层条状沥青的拉曼光谱均显示明显的D峰和G峰,D峰强度小于G峰强度,且在2 500~2 700 cm-1之间出现二价峰(G’),这表明3个页岩样品已处于成熟到过成熟阶段,适合于采用峰位差(RBS)的公式来计算等效激光拉曼成熟度(eqR O[43]。根据王茂林等[43]提出的计算公式( e q R O = 0.058 × R B S - 12.27),3个样品的 e q R O值介于3.16%~3.33%之间(表1),表明本文研究区下寒武统牛蹄塘组页岩已处于高过成熟阶段,所以要评估该套地层的页岩气资源潜力,其保存条件是关键性因素[46]
图2 页岩样品中沥青的拉曼光谱图

Fig.2 Raman spectrum of bitumen in shale samples

2.2 FE-SEM观察

扫描电镜观察显示页岩中存在大量的有机质孔隙(图3),孔径分布范围可由数纳米至数十纳米,但不同样品有机孔的发育特征差异较大,如JG-2样品的有机质中孔隙零散发育且较分散[图3(a)],但是在JG-11样品的有机质中发育大量的宏孔级别的孔隙[图3(f)];而且,同一样品中有机质孔隙的发育也具有非均一性[图3(a),图3(b)],考虑到同一样品成熟度相同,这种有机质孔发育的非均质性可能与有机质的类型相关。王思远等[47]对渝东南地区海相页岩的孔隙发育特征的研究也表明,沥青和干酪根中的孔隙发育特征存在差异,针对研究样品中有机质孔隙差异性发育的机理还需进一步研究。此外,在样品中还可见大量的黏土矿物粒间孔[图3(c)]、矿物颗粒粒内溶蚀孔[图3(b),图3(d)]以及微裂缝[图3(b)]等,表明这套页岩中孔隙类型的多样性,而且在后期得到了较好的保存。从图3(e)中可见样品中的石英颗粒曾经受了较强烈的压实作用,形成了一定的缝合线构造,这表明了石英等脆性矿物的存在为页岩中有机质孔及黏土矿物粒间孔的发育和保存起到了一定的支撑作用,有利于页岩中孔隙的发育与保存。
图3 页岩样品场发射扫描电镜观察图

Fig.3 Field emission scanning electron microscope (FE-SEM) images of shale samples

2.3 筛分对矿物成分的影响

本研究中对JG-2和JG-8这2个系列的页岩样品开展了XRD分析,测试结果见表1。页岩的矿物组成主要为石英、长石、伊利石,仅部分样品含黄铁矿(如JG-8-3)。JG-8样品中石英的平均含量为63.31%,明显高于JG-2样品的49.89%,依据JG-8号样品相对高的TOC含量,推测该区页岩中石英的形成有一定的生物成因;JG-2和JG-8样品中长石含量的平均值分别为11.46%和10.1%,黏土矿物主要是伊利石,2个系列样品的黏土矿物平均含量分别为38.65%和26.34%。所有样品中均未检测出含方解石、白云石等碳酸盐矿物,可能与本区域下寒武统页岩的沉积成岩环境有关,碳酸盐矿物含量低于XRD的检测下限。
图4中可以看出,同一个样品,破碎筛分后不同粒径范围内的样品在矿物组成上会存在一定的差别,但是总体上没有呈现出明显的规律性。这种现象可能是由于页岩自身矿物组成的非均质性引起的,因此从页岩矿物组成的角度来讲,为了更合理地表征页岩的储集物性及其他相关参数,应该尽量采用全岩样品或大颗粒样品来开展分析测试工作,这样得出的数据更能代表原始页岩样品。
图4 JG-2和JG-8系列样品的矿物组成

Fig.4 Mineral composition of JG-2 and JG-8 series samples

2.4 低压N2等温吸附实验数据分析

图5展示了3个系列样品中粒径为20~40目样品的低压N2等温吸附和脱附曲线,其低压N2等温吸附曲线均与IUPAC[48]推荐的IV等温吸附曲线类似,出现介于H3与H4之间的迟滞回环。在相对压力(P/P 0)<0.9之前,TOC含量越高,样品吸附量越大,但是JG-2样品在后期出现吸附曲线急剧上升的现象,这可能与该样品中存在较多孔径较大的溶蚀孔洞有关[图3(b)]。3个页岩的BET比表面积与TOC之间呈现较好的正相关性[图5(d)],表明页岩中的有机质孔隙是页岩比表面积的重要贡献者。
图5 粒径20~40目样品低压N2等温吸附和脱附曲线及比表面积与TOC关系

Fig.5 Low pressure N2 adsorption and desorption isotherms for samples with particle size between 20-40 mesh and the relationship between TOC and specific surface area

为了更直观地判断粒径大小对样品N2吸附量的影响,图6分别展示了3个样品在相对压力P/P 0值为0.05~0.35和0.8~1之间范围的等温吸附曲线。可以看出,随着样品粒径的减小,在相同的P/P 0条件下,N2的吸附量逐渐增大,而且这一现象对于具有相对高TOC含量的JG-8样品更加明显,这表明随样品粒径降低而增加的吸附位不仅与新产生的颗粒表面有关,粒径的降低还可能导致了有机质中部分不连通的孔隙与外界相连通,从而增大了页岩的比表面积,也可能与TOC含量高的页岩在破碎过程中更容易产生微裂缝有关。总之,粒径的差异对本研究中高TOC含量的页岩样品影响更大,但这一规律是否适用于其他地区的页岩样品还需要进一步的研究。
图6 不同粒径样品局部低压N2等温吸附曲线

Fig.6 Local low pressure N2 adsorption isotherms of samples with different particle sizes

表2列出了3个系列样品基于低压N2等温吸附曲线计算的总孔体积、比表面积及在相同气体吸附平衡条件(30 s)下完成实验所需的时间。可以看出,随着样品粒径的减小,同一样品测得的BET比表面积及单点吸附总孔体积逐渐增大,而完成吸附实验所需的时间明显减少,表明不同样品粒径的选取确实能显著影响低压气体吸附实验的结果。
表2 样品低压N2等温吸附实验结果参数

Table 2 Parameters of low pressure N2 adsorption experiment results

样品编号 TOC/% 单点吸附总孔体积 /(cm3 /100 g) 吸附实验时间 /h BET 比表面积 /(m2/g)
JG-2-1 4.00 3.17 23.43 6.28
JG-2-2 3.21 17.32 6.11
JG-2-3 3.28 12.97 6.13
JG-2-4 3.34 12.18 6.20
JG-2-5 3.66 12.53 6.71
JG-2-6 3.81 12.60 7.08
JG-2-7 3.92 12.60 7.18
JG-2-8 4.30 13.18 8.05
JG-8-2 9.02 3.18 53.53 28.85
JG-8-3 3.24 38.13 28.45
JG-8-4 3.41 38.83 29.02
JG-8-5 3.56 38.22 29.48
JG-8-6 3.90 37.03 30.51
JG-8-7 4.14 36.05 31.86
JG-8-8 4.91 35.48 32.70
JG-11-1 7.37 2.09 113.15 24.37
JG-11-2 2.23 68.33 24.70
JG-11-3 2.33 45.92 24.28
JG-11-4 2.45 42.17 24.57
JG-11-5 2.55 39.83 24.43
JG-11-6 2.83 39.37 25.21
JG-11-7 3.03 39.40 25.27
JG-11-8 3.87 38.38 26.43
图7中可以看到,随着样品粒径的降低,JG-2样品的BET比表面积由6.28 m2/g增大到8.05 m2/g,增加了1.77 m2/g,增幅为28.2%;JG-8样品的BET比表面积由28.85 m2/g增大到32.70 m2/g,增加了3.85 m2/g,增幅为13.3%;JG-11样品的BET比表面积由24.37 m2/g增大到26.43 m2/g,增加了2.06 m2/g,增幅为8.5%。上述结果表明粒径大小能显著影响样品的比表面积,在一定粒径范围内,粒径降低会增大页岩的比表面积。图7(d)中展示了3个系列中粒径为1~5目(JG-8系列为5~10目)和>100目样品的BET比表面积增加量与TOC之间呈一定的正相关性,表明TOC含量越高的样品,粒径减小对比表面积的影响越大,这可能与页岩中部分封闭的有机质孔变为开放的孔隙有关。由于本研究中样品数量有限,关于粒径大小对不同TOC含量页岩测试结果的影响及其规律性还有待后期开展进一步的研究工作。
图7 样品BET比表面积与粒径的关系

(a)—(c)中序号1~8分别为1~5目、5~10目、10~20目、20~40目、40~60目、60~80目、80~100目和>100目

Fig.7 Plots showing the relationships between particle size and BET specific surface area

由于破碎过程会不可避免的产生新的颗粒表面且造成封闭孔的连通及微裂缝的产生,所以建议用尽量大的颗粒状样品来开展分析测试工作,对比图7的实验结果,建议采用粒径小于60目(>0.25 mm)的样品开展相关的实验。
图8比较了3个系列样品基于低压N2等温吸附曲线的单点吸附总孔体积。可以看出,随样品粒径的降低,JG-2样品总孔体积由3.17 cm3/100 g增加至4.30 cm3/100 g,增幅为35.6%;JG-8样品总孔体积由3.18 cm3/100 g增加至4.91 cm3/100 g,增幅为54.4%;JG-11样品总孔体积由2.09 cm3/100 g增加至3.87 cm3/100 g,增幅为85.2%。图8(d)对比了5-10目和>100目2组样品总孔体积的增加量与TOC的关系,可知随着TOC的增高,样品粒径的降低对总孔体积增加量的影响变大。这一结果表明,页岩的研磨破碎一方面会将页岩中部分封闭的有机质孔变为开放孔,同时也可能会在有机质中新形成一些人工微裂缝,进而增加样品的总孔体积。
图8 样品总孔体积与粒径的关系

(a)—(c)中序号1~8分别为1~5目、5~10目、10~20目、20~40目、40~60目、60~80目、80~100目和>100目

Fig.8 Plots showing the relationships between particle size and single point adsorption total pore volume of pores

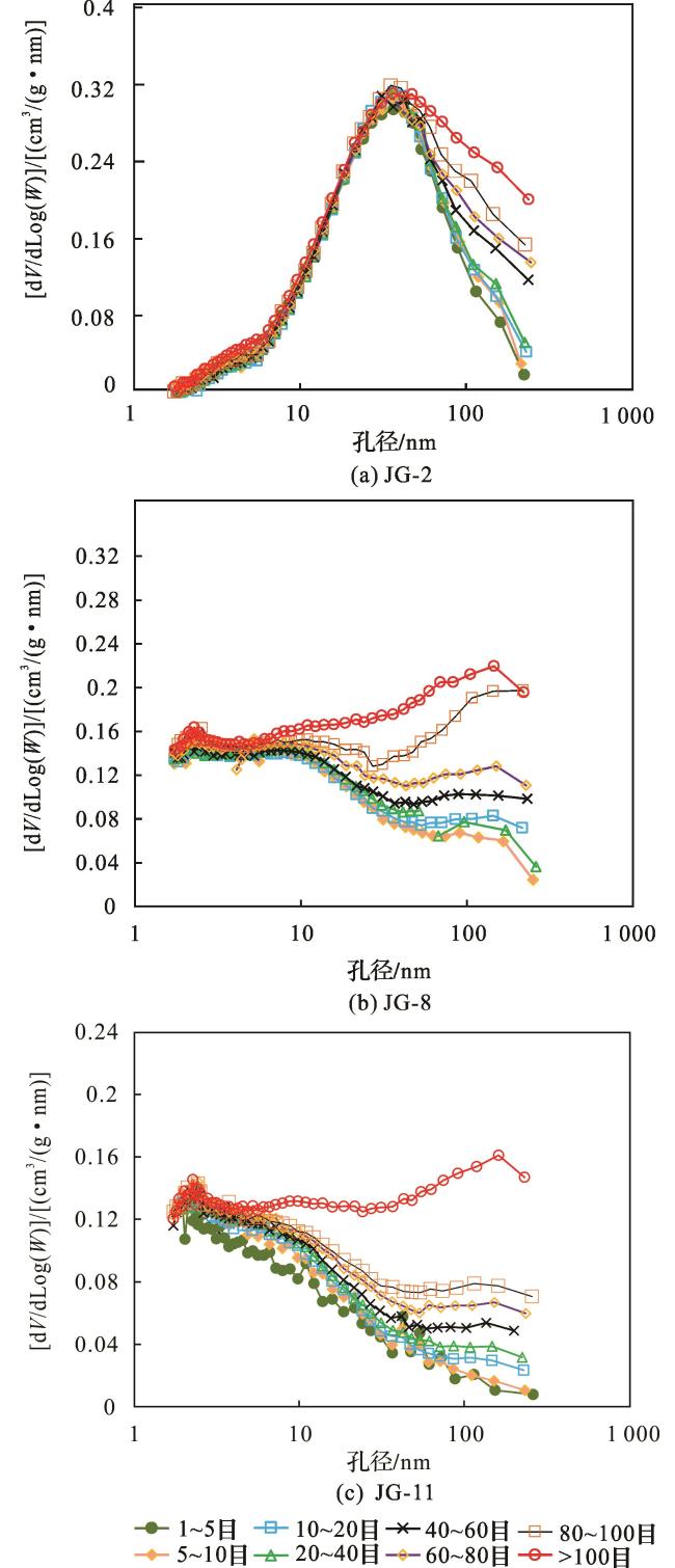
页岩样品的介孔—宏孔孔径分布通常采用BJH模型来表征[5, 13, 15, 40, 49]。为了在半对数坐标图上直观反映某一孔径分布范围的孔隙对总孔体积的相对贡献,本研究的孔径分布图中纵坐标为dV/dLog(W),横坐标为孔径大小(W)图9)。以10~20目样品为例,可以看出TOC含量较高的JG-8和JG-11样品中小于10 nm的介孔占比较大。随着样品粒径的减小,当粒径>40目时样品中10 nm以上的孔明显增加;>100目之后,JG-8和JG-11样品大于10 nm的孔隙开始占主导地位,但是小于10 nm的孔体积的分布没有明显变化。这一结果进一步表明,页岩在破碎过程中会产生新的介孔、宏孔及微裂缝等孔隙结构,对同一样品孔径分布特征的认识会由于实验样品粒径的不同而千差万别。鉴于此,有必要采用统一的样品粒径来开展页岩的物性参数的分析测试工作,以保证实验数据的可对比性。同时,由于破碎过程会导致页岩孔径分布模式发生变化,建议用尽量大的颗粒状样品来开展分析测试工作。对比图9的实验结果,本文推荐采用粒径小于40目(>0.425 mm)的样品开展相关的实验。
图9 样品BJH模型孔径分布

Fig.9 Pore volume distribution with pore size derived from the N2 adsorption branch of isotherms using BJH model

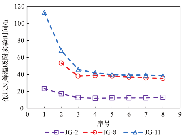
结合3个系列页岩样品的矿物组成、比表面积及孔径分布等实验结果来看,都建议尽量采用较大粒径的样品来开展分析测试,但是样品粒径过大会降低气体扩散的速率,从而会增加达到吸附平衡条件所需要的时间[16],所以还需要从实验的时效性这一角度展开分析,来选择合适的样品粒径范围。从图10中可以看出,不同粒径样品完成等温吸附实验所需的时间显著不同,均表现为样品粒径越大(目数越小)所需要的时间越长,但是当粒径大于10目以上(<2 mm)时,相同平衡条件下低压N2等温吸附实验所需要的时间基本不再发生明显的变化。由于在长时间的测试过程中杜瓦瓶中液氮面会不可避免地下降,为了避免实验误差,且考虑实验工作的效率,推荐采用粒径>10目的样品开展分析测试工作。对比3个系列不同TOC含量样品完成测试所需要的时间(图10),TOC含量高的样品随粒径的降低,完成测试所需要的时间会明显下降,这表明页岩的有机质中存在大量的微孔隙,但是它们和外界连通性较差,研磨破碎过程可有效地提高实验的效率,这进一步说明了页岩的低孔、低渗特征对高TOC页岩的吸附和解析过程影响更大,这在页岩气开发过程也值得重视。
图10 不同粒径页岩样品低压N2等温吸附实验时间对比

序号1~8分别为1~5目、5~10目、10~20目、20~40目、40~60目、60~80目、80~100目和>100目

Fig.10 The completion time of low pressure N2 adsorption experiment for shale samples with different particle sizes

2.5 低压CO2等温吸附实验数据分析

由于CO2的分子直径较小且饱和蒸气压相对较大,通常用于研究页岩中的微孔。本研究对JG-2和JG-8这2个系列的样品开展了低压CO2等温吸附实验。测定的等温吸附曲线如图11所示。在P/P 0值为0~0.035的范围内同一系列不同粒径样品的等温吸附实验数据基本重合,与粒径大小没有明显的关系。例如,JG-2系列样品中粒径为40~60目样品的吸附气体积相对最低,粒径>100目的样品相对最高[图11(a)],在设定的相对压力最高点时,吸附气体积的最大差值为0.25 cm3/gSTP,但是对于JG-8系列样品中粒径为20~40目的样品吸附气体积相对偏低,而粒径为40~60目的样品相对较高,在设定的相对压力最高点时,吸附气体积的最大差值为0.23 cm3/gSTP。可以看出,在相对压力较低(P/P 0<0.035)时低压CO2等温吸附实验测得的数据之间的差异与样品粒径大小没有明显的相关性。不同粒径样品吸附曲线的微小差异可能与样品本身的非均质性有关,因此从这一角度来讲应该尽量选用大颗粒的样品来开展分析测试工作。
图11 不同粒径页岩样品低压CO2等温吸附曲线

Fig.11 Low pressure CO2 adsorption isotherms for shale samples with different particle sizes

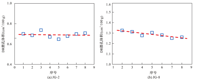
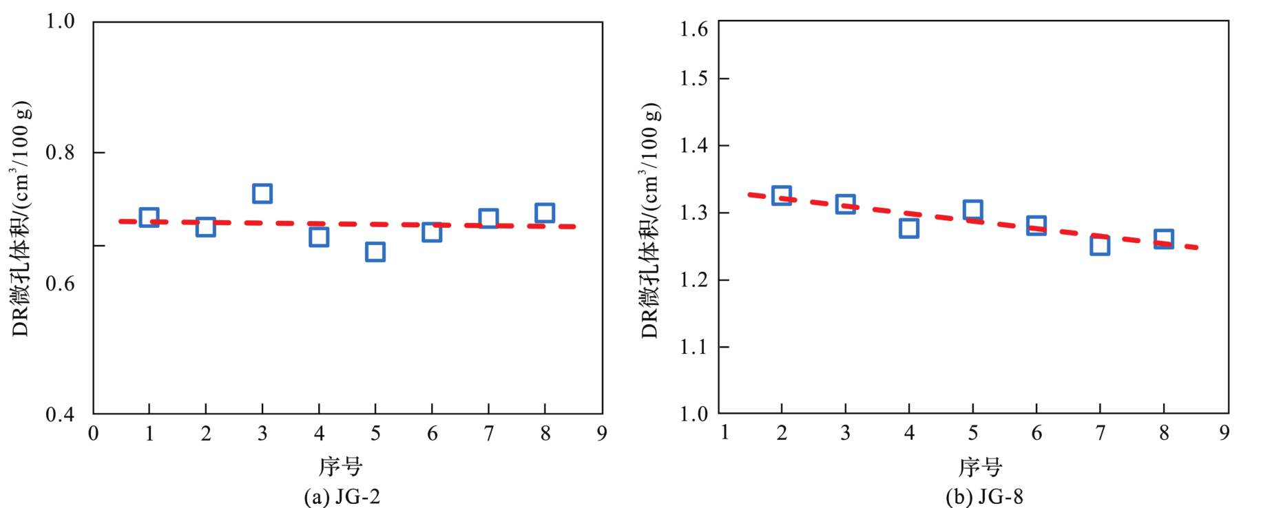
图12对比了JG-2和JG-8这2个系列样品的微孔体积随样品粒径的变化。可以看出,基于低压CO2等温吸附曲线计算的DR微孔体积随着样品粒径变小呈现出的变化规律比较复杂。其中,JG-2系列样品随粒径变小,微孔体积基本不变,整体呈微弱波动变化的趋势,而JG-8系列样品则呈现出弱的负相关性,但总体来看不同粒径样品的微孔体积变化不大,变化幅度在10%之内(图12)。上述结果表明,研磨过程对页岩的微孔体积没有显著的影响,同一系列中不同粒径样品微孔体积的差异可能与不同粒径样品中矿物组成的细微差异有关。
图12 不同粒径页岩样品CO2吸附DR微孔体积与粒径关系

序号1~8分别为1~5目、5~10目、10~20目、20~40目、40~60目、60~80目、80~100目和>100目

Fig.12 Plots showing micropore volume derived from the CO2 adsorption isotherms for shale samples with different particle sizes

3 结论

(1)研究区下寒武统牛蹄塘组页岩的孔隙类型主要为有机质孔和黏土矿物粒间孔,且有机质孔隙的发育具有较强的非均一性。
(2)样品的破碎、筛分过程会对页岩的矿物组成造成无规律的分异作用。
(3)粒径大小会影响低压N2等温吸附实验数据,当样品粒径大于40目时,粒径的降低会增大页岩的比表面积并显著影响介孔和宏孔的孔体积,但当样品粒径小于10目时会显著增加实验的时间;粒径大小对利用低压CO2等温吸附实验获取微孔体积等参数影响不明显。
(4)综合数据稳定性、时效性及页岩组成的非均质性,推荐采用10~40目(0.425~2.00 mm)范围内的样品来开展页岩的孔径参数测试的工作。
1
TIAN H, LI T F, ZHANG T W, et al. Characterization of methane adsorption on overmature Lower Silurian-Upper Ordovician shales in Sichuan Basin,southwest China: Experimental results and geological implications[J]. International Journal of Coal Geology, 2016, 156: 36-49.

2
AMBROSE R J, HARTMAN R C, MERY D C, et al. Shale gas-in-place calculations part I: New pore-scale considerations[J]. SPE Journal, 2012, 17(1): 219-229.

3
HARTMAN R C, AMBROSE R J, AKKUTLU I Y, et al. Shale gas-in-place calculations part II-multicomponent gas adsorption effects[C].Woodlands, Texas, USA. North American Unconventional Gas Conference and Exhibition, Society of Petroleum Engineers, 2011.

4
CHALMERS G R, BUSTIN R M, POWER I M. Characterization of gas shale pore systems by porosimetry, pycnometry, surface area, and field emission scanning electron microscopy/transmission electron microscopy image analyses: Examples from the Barnett, Woodford, Haynesville, Marcellus, and Doig units[J]. AAPG Bulletin, 2012, 96(6): 1099-1119.

5
KUILA U, PRASAD M. Specific surface area and pore‐size distribution in clays and shales[J]. Geophysical Prospecting, 2013, 61(2): 341-362.

6
LOUCKS R G, REED R M, RUPPEL S C, et al. Morphology, genesis, and distribution of nanometer-scale pores in siliceous mudstones of the Mississippian Barnett shale[J]. Journal of Sedimentary Research, 2009, 79(12): 848-861.

7
MASTALERZ M, SCHIMMELMANN A, DROBBIAK A, et al. Porosity of Devonian and Mississippian new Albany shale across a maturation gradient: Insights from organic petrology, gas adsorption, and mercury intrusion[J]. AAPG Bulletin, 2013, 97(10): 1621-1643.

8
LOUCKS R G, REED R M, RUPPEL S C, et al. Spectrum of pore types and networks in mudrocks and a descriptive classification for matrix-related mudrock pores[J]. AAPG Bulletin, 2012, 96(6): 1071-1098.

9
SCHIEBER J. Common themes in the formation and preservation of intrinsic porosity in shales and mudstones-illustrated with examples across the Phanerozoic[C]. SPE Unconventional Gas Conference, Society of Petroleum Engineers, 2010.

10
LI C X, OSTADHASSAN M, KONG L Y. Nanochemo-mechanical Characterization of Organic Shale Through AFM and EDS[C].Houstun, Texas,2017 SEG International Exposition and Annual Meeting, Society of Exploration Geophysicists, 2017.

11
JAVADPOUR F, FARSHI M M, AMREIN M. Atomic-force microscopy:A new tool for gas-shale characterization[J].Journal of Canadian Petroleum Technology,2012,51(4): 236-243.

12
LEWIS R, SINGER P, JIANG T M, et al. NMR T2 Distributions in the Eagle Ford shale: Reflections on Pore Size[C]. Woodlands, Texas, USA.SPE Unconventional Resources Conference-USA. Society of Petroleum Engineers, 2013.

13
CLARKSON C R, SOLANO N, BUSTIN R M, et al. Pore structure characterization of North American shale gas reservoirs using USANS/SANS, gas adsorption, and mercury intrusion [J]. Fuel, 2013, 103: 606-616.

14
ROUQUEROL J, AVNIR D, FAIRBRIDGE C W, et al. Recommendations for the characterization of porous solids(technical report)[J].Pure and Applied Chemistry,1994,66(8): 1739-1758.

15
TIAN H, PAN L, XIAO X M, et al. A preliminary study on the pore characterization of Lower Silurian black shales in the Chuandong Thrust Fold Belt, southwestern China using low pressure N2 adsorption and FE-SEM methods[J]. Marine and Petroleum Geology, 2013, 48: 8-19.

16
KUILA U, PRASAD M. Application of nitrogen gas-adsorption technique for characterization of pore structure of mudrocks[J]. The Leading Edge, 2013, 32(12): 1478-1485.

17
BLACK D J. Factors Affecting The Drainage of Gas From Coal and Methods to Improve Drainage Effectiveness[D].Wollongon Australia: University of Wollongong, 2011.

18
HODSON M E. Micropore surface area variation with grain size in unweathered alkali feldspars: Implications for surface roughness and dissolution studies[J]. Geochimica et Cosmochimica Acta, 1998, 62(21-22): 3429-3435.

19
CHEN Y Y, WEI L, MASTALERZ M, et al. The effect of analytical particle size on gas adsorption porosimetry of shale [J]. International Journal of Coal Geology, 2015, 138: 103-112.

20
WEI M M, XIONG Y Q, ZHANG L, et al. The effect of sample particle size on the determination of pore structure parameters in shales[J]. International Journal of Coal Geology, 2016, 163: 177-185.

21
LI J, ZHOU S X, FU D L, et al. Changes in the pore characteristics of shale during comminution[J]. Energy Exploration & Exploitation, 2016, 34(5): 676-688.

22
HAN H, CAO Y, CHEN S J, et al. Influence of particle size on gas-adsorption experiments of shales: An example from a Longmaxi Shale sample from the Sichuan Basin, China[J]. Fuel, 2016, 186: 750-757.

23
MASTALERZ M, HAMPTON L B, DROBNIAK A, et al. Significance of analytical particle size in low-pressure N2 and CO2 adsorption of coal and shale[J]. International Journal of Coal Geology, 2017, 178: 122-131.

24
李勃, 陈方文, 肖佃师, 等. 颗粒粒径对低温氮吸附实验的影响——以五峰组—龙马溪组海相含气页岩为例[J]. 中国矿业大学学报, 2019, 48(2): 395-404.

LI B, CHEN F W, XIAO D S, et al. Effect of particle size on the experiment of low temperature nitrogen adsorption: A case study of marine gas shale in Wufeng-Longmaxi Formation[J]. Journal of China University of Mining & Technology, 2019, 48(2): 395-404.

25
CLOKE M, LESTER M, BELGHAZI A, Characterisation of the properties of size fractions from ten world coals and their chars produced in a drop-tube furnace[J]. Fuel, 2002, 81(5): 699-708.

26
邹才能, 董大忠, 王玉满, 等. 中国页岩气特征、挑战及前景(一)[J]. 石油勘探与开发, 2016, 42(6) : 753-767.

ZOU C N, DONG D Z, WANG Y M, et al. Shale gas in China: Characteristics, challenges and prospects (Ⅰ)[J]. Petroleum Exploration and Development, 2015, 42(6): 753-767.

27
邹才能, 董大忠, 王玉满, 等. 中国页岩气特征、挑战及前景(二) [J]. 石油勘探与开发, 2015, 43(2): 166-178.

ZOU C N, DONG D Z, WANG Y M, et al. Shale gas in China: Characteristics, challenges and prospects(Ⅱ)[J]. Petroleum Exploration and Development, 2016, 43(2): 166-178.

28
梁狄刚, 郭彤楼, 陈建平, 等. 中国南方海相生烃成藏研究的若干新进展(一):南方四套区域性海相烃源岩的分布[J]. 海相油气地质, 2008, 13(2): 1-16.

LIANG D G, GUO T L, CHEN J P, et al. Some progresses on studies of hydrocarbon generation and accumulation in marine sedimentary regions, Southern China (Part 1): Distribution of four suits of regional marine source rocks[J]. Marine Origin Petroleum Geology, 2008, 13(2): 1-16.

29
梁狄刚, 郭彤楼, 陈建平, 等. 中国南方海相生烃成藏研究的若干新进展(二):南方四套区域性海相烃源岩的地球化学特征[J]. 海相油气地质, 2009, 14(1): 1-15.

LIANG D G, GUO T L, CHEN J P, et al. Some progresses on studies of hydrocarbon generation and accumulation in marine sedimentary regions, Southern China (Part 2): Geochemical characteristics of four regional marine source rocks, South China[J]. Marine Origin Petroleum Geology, 2009, 14(1): 1-15.

30
董大忠, 邹才能, 杨桦, 等. 中国页岩气勘探开发进展与发展前景 [J]. 石油学报, 2012, 33(S1): 107-114.

DONG D Z, ZOU C N, YANG H, et al. Progress and prospects of shale gas exploration and development in China[J]. Acta Petrolei Sinica, 2012, 33(S1): 107-114.

31
程鹏, 肖贤明. 很高成熟度富有机质页岩的含气性问题[J]. 煤炭学报, 2013, 38(5): 737-741.

CHENG P, XIAO X M. Gas content of organic-rich shales with very high maturities[J]. Journal of China Coal Society, 2013, 38(5): 737-741.

32
PAN L, XIAO X M, TIAN H, et al. Geological models of gas in place of the Longmaxi shale in southeast Chongqing, South China[J]. Marine and Petroleum Geology, 2016, 73: 433-444.

33
高之业, 范毓鹏, 胡钦红, 等.川南地区龙马溪组页岩有机质孔隙差异化发育特征及其对储集空间的影响[J]. 石油科学通报, 2020, 5(1): 1-16.

GAO Z Y, FAN Y P, HU Q H, et al. Differential development characteristics of organic matter pores and their impact on reservoir space of Longmaxi Formation shale from the south Sichuan Basin[J].Petroleum Science Bulletin,2020,5(1): 1-16.

34
肖佃师, 赵仁文, 杨潇, 等. 海相页岩气储层孔隙表征、分类及贡献[J]. 石油与天然气地质, 2019, 40(6): 1215-1225.

XIAO D S, ZHAO R W, YANG X, et al. Characterization, classification and contribution of marine shale gas reservoirs [J]. Oil & Gas Geology, 2019, 40(6): 1215-1225.

35
李文镖, 卢双舫, 李俊乾, 等. 南方海相页岩物质组成与孔隙微观结构耦合关系[J]. 天然气地球科学, 2019, 30(1): 27-38.

LI W B, LU S F, LI J Q, et al. The coupling relationship between material composition and pore microstructure of southern China marine shale[J]. Natural Gas Geoscience, 2019, 30(1): 27-38.

36
杨振恒, 韩志艳, 腾格尔, 等.四川盆地南部五峰组—龙马溪组页岩地质甜点层特征——以威远—荣昌区块为例[J].天然气地球科学,2019,30(7):1037-1044.

YANG Z H, HAN Z Y, TENGER, et al. Characteristics of Wufeng-Longmaxi Formations shale sweet layer: Case study of Weiyuan-Rongchang block of SINOPEC[J]. Natural Gas Geoscience, 2019, 30(7): 1037-1044.

37
曾维特, 丁文龙, 张金川, 等. 渝东南—黔北地区牛蹄塘组页岩微纳米级孔隙发育特征及主控因素分析[J]. 地学前缘, 2019, 26(3): 220-235.

ZENG W T, DING W L, ZHANG J C, et al. Analyses of the characteristics and main controlling factors for the micro/nanopores in Niutitang shale from China’s southeastern Chongqing and northern Guizhou regions[J]. Earth Science Frontiers, 2019, 26(3): 220-235.

38
焦伟伟, 方光建, 汪生秀, 等. 渝东南地区下古生界页岩含气性差异关键控制因素[J].煤炭学报,2019, 44(6): 1786-1794.

JIAO W W, FANG G J, WANG S X, et al. Key control factor for the gas-bearing properties difference of Lower Paleozoic shale in southeast Chongqing[J]. Journal of China Coal Society, 2019, 44(6): 1786-1794.

39
邱琼. 渝东南牛蹄塘组富有机质页岩沉积与储层特征[D]. 成都: 成都理工大学, 2017.

QIU Q. Characteristics of Organic Matter Shale Deposit and Reservoir in the Niutitang Formation, Southeast Chongqing [D]. Chengdu: Chengdu University of Technology, 2017.

40
TIAN H, PAN L, ZHANG T W, et al. Pore characterization of organic-rich Lower Cambrian shales in Qiannan Depression of Guizhou Province, southwestern China[J]. Marine and Petroleum Geology, 2015, 62: 28-43.

41
PAN L, XIAO X M, TIAN H, et al. A preliminary study on the characterization and controlling factors of porosity and pore structure of the Permian shales in Lower Yangtze region, Eastern China[J]. International Journal of Coal Geology, 2015, 146: 68-78.

42
刘德汉, 肖贤明, 田辉, 等. 固体有机质拉曼光谱参数计算样品热演化程度的方法与地质应用[J]. 科学通报, 2013, 58(13): 1228-1241.

LIU D H, XIAO X M, TIAN H, et al. Sample maturation calculated using Raman spectroscopic parameters for solid organics: Methodology and geological applications[J]. Chinese Science Bulletin, 2013, 58(13):1228-1241.

43
王茂林,肖贤明,魏强,等.页岩中固体沥青拉曼光谱参数作为成熟度指标的意义[J].天然气地球科学,2015,26(9): 1712-1718.

WANG M L, XIAO X M, WEI Q, et al. Thermal maturation of solid bitumen in shale as revealed by Raman spectroscopy[J]. Natural Gas Geoscience, 2015, 26(9): 1712-1718.

44
BEYSSAC O, GOFFE B, PETITE J P, et al. On the characterization of disordered and heterogeneous carbonaceous materials by Raman spectroscopy[J]. Spectrochimica Acta Part A: Molecular and Biomolecular Spectroscopy, 2003, 59(10): 2267-2276.

45
房俊卓, 徐崇福. 三种X-射线物相定量分析方法对比研究[J]. 煤炭转化, 2010, 33(2): 88-91.

FANG J Z, XU C F. Study on three kinds of XRD quantitative analysis methods[J]. Coal Conversion, 2010, 33(2): 88-91.

46
肖贤明, 王茂林, 魏强, 等. 中国南方下古生界页岩气远景区评价[J]. 天然气地球科学, 2015, 26(8): 1433-1445.

XIAO X M, WANG M L, WEI Q, et al. Evaluation of Lower Paleozoic shale with shale gas prospect in south China[J]. Natural Gas Geoscience, 2015, 26(8): 1433-1445.

47
王思远,李俊乾,卢双舫,等.渝东南地区海相页岩有机质孔隙发育特征[J].地球科学与环境学报,2019, 41(6):721-733.

WANG S Y, LI J Q, LU S F, et al. Development characteristics of organic matter pores of marine shale in the southeastern Chongqing, China[J]. Journal of Earth Sciences and Environment, 2019, 41(6): 721-733.

48
SING K S W, EVERETT D H, HAUL R A W, et al. Reporting physisorption data for gas/solid systems with special reference to the determination of Surface-area and porosity (recommendations 1984)[J]. Pure and Applied Chemistry, 1985, 57(4): 603-619.

49
KUILA U, MCCARTY D K. DERKOWSKI A, et al . Nano-scale texture and porosity of organic matter and clay minerals in organic-rich mudrocks[J]. Fuel, 2014, 135: 359-373.

Outlines

/