0 引言
1 研究方法
1.1 团簇构象搜索与筛选
1.2 耦合能计算方法
2 结果与讨论
2.1 He与单分子载体气体的相互作用
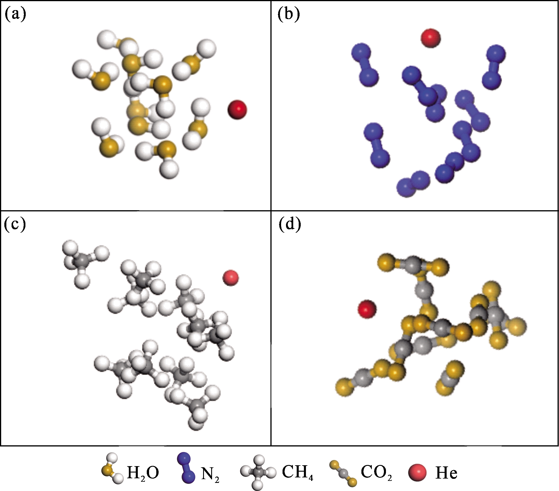
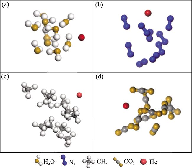
2.2 He-载体气体耦合体系的稳定性与耦合形态
表1 不同体系中He-载体分子及载体—载体之间的弱相互作用特征比较Table 1 Comparison of weak interaction characteristics between helium-carrier and carrier-carrier molecules in different systems |
| 耦合体系 | He-载体相互作用类型 | 载体-载体主导 相互作用 | 弱相互作用区域特征 | 耦合结构形成能力(相对) | 载体分子团簇稳定性(相对) | 载体分子偶极矩a分子极性 |
|---|---|---|---|---|---|---|
| He-H2O | 色散+极性诱导 | 氢键网络(极性) | 区域密集,连通性强,包围性显著 | 很强 | 高 | 1.999 9 |
| He-CO2 | 色散+π作用 | π-π堆积+电负性 协同作用 | 面积广泛,方向性好,空间结构有序 | 较强 | 中高 | 0.018 8 |
| He-CH4 | 多点诱导色散 | 短程均匀色散作用 | 区域清晰但分散,连通性适中 | 中等 | 中 | 0.006 4 |
| He-N2 | 短程诱导色散 | 极弱诱导色散作用 | 区域稀疏,零散分布,载体分子间无有效连接 | 弱 | 低 | 0.006 0 |
|

甘公网安备 62010202000678号