Carbon isotopic reversal genesis and geological significance of deep natural gas in the central Sichuan Basin, China

  • Rao FU , 1, 2 ,
  • Jianfa CHEN , 1, 2 ,
  • Kaixuan LIU 3 ,
  • Zeya CHEN 4 ,
  • Bing YOU 1, 2 ,
  • Cong CHEN 1, 2 ,
  • Jiaqi ZHANG 1, 2
Expand
  • 1. State Key Laboratory of Petroleum Resources and Engineering,China University of Petroleum,Beijing 102249,China
  • 2. College of Geosciences,China University of Petroleum,Beijing 102249,China
  • 3. Exploration and Development Research Institution of PetroChina Changqing Oilfield Company,Xian 710018,China
  • 4. PetroChina Research Institute of Petroleum Exploration and Development,Beijing 100083,China

Received date: 2025-04-10

  Revised date: 2025-05-13

  Online published: 2025-06-06

Supported by

The National Natural Science Foundation of China-Joint Fund Project(U19B6003)

Abstract

As a key region of natural gas exploration and development in deep strata in the central Sichuan Basin, the Cambrian has been making major breakthroughs in natural gas exploration recently. By testing and analyzing the components and carbon isotope characteristics of Sinian and Cambrain natural gas in different areas in central Sichuan, it is believed that Cambrian natural gas has the carbon isotopic inversion sequence of alkane gas (δ13C113C2). In this paper, the cause for carbon isotope reversal of natural gas, natural gas accumulation rule and its geological significance are discussed based on the previous study of natural gas, combined with the tectonic evolution characteristics and hydrocarbon occurrence states in this area. The results revealed that the natural gas in this region is dry gas, dominated by methane with a small amount of ethane; the methane and ethane average carbon isotopes values -32.9‰ and -33.6‰ respectively, carbon isotope inversion occurs in most alkane gases. It is believed that the inversion of carbon isotope composition of Cambrian alkane gas in central Sichuan Basin is mainly caused by the mixing of hydrocarbon gases from same sources and different periods, the Cambrian reservoir has three stages of gas accumulation, the first stage is the crude oil cracking gas from Middle-Late Triassic to Early Jurassic in Cambrian reservoirs, the second stage is the cracking gas of retained liquid hydrocarbon formed by the Qiongzhusi Formation source rocks in Middle-Late Jurassic, and the third stage is the adjustment of shale gas accumulation in Qiongzhusi Formation in Late Cretaceous. Actually, the greater the contribution of residual hydrocarbon cracking gas and shale gas, the more obvious the inversion of carbon isotope of alkane gas in the mixing gas. The most deeply buried alkane gas in the north slope area shows a lighter carbon isotope composition, attributable to dual controlling factors: the source rocks in the northern slope inherently possess lighter carbon isotopic compositions, and significant mixing of cracked gases derived from retained hydrocarbons during gas accumulation.

Cite this article

Rao FU , Jianfa CHEN , Kaixuan LIU , Zeya CHEN , Bing YOU , Cong CHEN , Jiaqi ZHANG . Carbon isotopic reversal genesis and geological significance of deep natural gas in the central Sichuan Basin, China[J]. Natural Gas Geoscience, 2025 , 36(8) : 1570 -1585 . DOI: 10.11764/j.issn.1672-1926.2025.05.008

0 引言

天然气通常是指以烃类气体为主、常伴有一定数量非烃气的气态元素和化合物的混合气体1。有机质的整个生烃过程均伴有天然气的产生,其稳定碳同位素组成(δ13C)蕴含着丰富的地质信息,已被广泛应用于天然气成因判识、气源对比、天然气次生作用改造、天然气运移成藏以及甜点预测等2-5。近年来我国油气勘探重点逐步由中浅层向深层—超深层领域延伸,四川、塔里木及准噶尔等盆地均已取得重大突破6-7。但由于深部地层年代久远、埋藏深,构造演化强烈,导致天然气地球化学特征出现“异常”,多种天然气指标和图版在实际应用中的适用性较差,影响了深层天然气成因来源判识的准确性,制约天然气的勘探进展。
随着四川盆地天然气勘探目标逐渐向深层—超深层拓展,震旦系、寒武系油气藏成为深层领域的研究重点,是四川盆地重要的海相碳酸盐岩产气层系。目前勘探实践表明,震旦系灯影组及寒武系龙王庙组、沧浪铺组等气藏的天然气具有相似的母质来源,但2套地层天然气的地球化学特征却存在明显差异,其中寒武系天然气还具有碳同位素倒转的“异常”现象8-10。通常来讲,在成烃演化过程中,烃源岩含碳化合物的碳同位素符合母质继承效应及热力学分馏效应,有机成因原生烷烃气的碳同位素值会随烷烃气分子碳数的增加而增大,表现出正碳同位素序列,即δ13C113C213C3;当烷烃气的碳同位素序列与之不同时,则称之为负碳同位素序列或碳同位素倒转11-13。国内外学者对天然气碳同位素倒转现象的研究认为,致使发生倒转的原因包括:有机烷烃气与无机烷烃气的混合、煤型气与油型气的混合、天然气运移扩散过程中的同位素分馏、水溶气与气层气相态的差异、同源不同期气或同型不同源气的混合、高—过成熟阶段重烃气的瑞利分馏、无机天然气的费—托合成反应、细菌对部分烷烃组分的氧化及吸附—解析过程中的同位素分馏效应等514-19
高演化阶段海相腐泥型天然气,其烷烃气碳同位素倒转多认为是同源不同热演化阶段生成的天然气相混合、同种母质类型但不同源的气相混合所致1520。对于川中地区深层高演化阶段寒武系天然气出现的碳同位素倒转现象,目前的研究还较为薄弱,常常会干扰研究区天然气的成因来源判识。有学者认为这应是不同期次天然气混合成藏的结果8-9,但未明确各期次天然气的具体来源以及造成震旦系、寒武系2套地层差异成藏的主要原因。因此,基于川中古隆起区的地质背景及最新天然气勘探成果,本文以川中古隆起高石梯—磨溪地区(高—磨地区)、北斜坡区及威远地区3个区块作为研究对象,对比分析了研究区震旦系—寒武系天然气及干酪根样品的地球化学特征,根据研究区地质背景及不同区块烃类的赋存状态,结合正推反演的研究思路总结了寒武系气藏气碳同位素倒转的原因,同时探讨了筇竹寺组烃源岩中滞留烃裂解气与页岩气对震旦系、寒武系气藏的差异贡献及其对寒武系气藏气地球化学特征的影响,以期在揭示研究区天然气地球化学特征对天然气勘探指示意义的同时,对四川盆地中部地区寒武系天然气藏的形成机理获得进一步认识。

1 区域地质概况

四川盆地位于扬子板块西北缘,震旦纪至中三叠世盆地处于克拉通演化阶段,沉积了一套巨厚的海相碳酸盐岩地层。盆地先后经历了多期构造旋回运动并在中央地带形成了一个北东—南西向的巨型鼻状古隆起21-23,古隆起在上震旦统灯影组沉积期已具雏形,现今发育高石梯—磨溪(简称高—磨)和威远2个古构造高地(图124-25。目前勘探实践表明,川中地区古隆起区、斜坡区及其周缘地带是四川盆地深层海相碳酸盐岩勘探的主要区域,古隆起深层震旦系—下古生界目前均获得规模性工业开采2426-28。高—磨地区在地史过程中始终处于构造高部位且构造变形较弱,为油气多期运聚成藏提供了条件。威远地区尽管长期处于隆升状态且为盆地现今的构造最高点,但喜马拉雅期地层大幅度的隆升剥蚀作用使威远构造顶部的封堵层被破坏,形成天然气逸散的“天窗”,不利于晚期气藏的保存29-30。与古隆起相邻的北斜坡地区印支期前与高—磨地区具有相似的沉积构造背景,位于油气的优势运移方向,印支期后受古隆起的挤压变形其构造格局转变为持续的沉降,最终定型为低缓的单斜构造区,但整体来看,其地层分布特征、构造演化仍主要受控于川中古隆起31-34
图1 四川盆地中部研究区块划分(a)及重点井位分布[(b)、(c)]

Fig.1 Study block division(a) and key wells distribution((b),(c)) in the central Sichuan Basin

四川盆地由基底和沉积盖层二元结构组成,并在早印支期完成了由海相盆地向陆相盆地的转变82135-36。寒武系作为第二套稳定的沉积盖层在盆地内广泛分布,自下而上依次沉积下寒武统筇竹寺组、沧浪铺组、龙王庙组,中寒武统高台组以及中上寒武统洗象池群。下寒武统筇竹寺组发育深水陆棚相粉砂质页岩和泥质页岩,以德阳—安岳裂陷槽为沉积中心,沉积厚度可达150~350 m,TOC含量分布在0.6%~12.9%之间,均值>2%,整体表现为一套有机质丰度高、热演化程度高的海相腐泥型烃源岩,是形成川中地区深层震旦系、寒武系古油气藏的重要烃源83137-38。上覆龙王庙组、沧浪铺组、洗象池群等多套裂缝—孔隙(孔洞)型优质储层发育,与筇竹寺组烃源岩形成下生上储的良好叠置关系,在断裂的控制下气藏规模不断扩大639

2 天然气地球化学特征

本研究使用双阀门高压钢瓶共采集高石梯地区样品14个、磨溪地区样品14个、北斜坡地区样品9个、威远地区5个共计31个天然气样(图1),纵向上主要分布在寒武系和震旦系。对天然气样品进行了全组分、碳同位素组成、氢同位素组成分析测试。其中天然气组分及碳同位素组成测试完成于中国石油大学(北京)油气资源与工程全国重点实验室,氢同位素组成的测定在中国地质调查局国家地质实验测试中心完成。此外,本文研究还结合了前人在该地区已发表的数据,对川中地区不同区块、不同层位的天然气地球化学特征进行了纵向上及平面上的对比。

2.1 天然气组分特征

川中地区寒武系气藏气样品以烃类气体为主,烃类占气体总体积的59.53%~97.71%,均值为90.56%,烃类气体中甲烷占绝对优势,除含有少量乙烷,几乎没有丙烷、丁烷等其他重烃气,干燥系数均大于99.68%,为典型干气(表1)。震旦系、寒武系天然气重烃含量在垂向上存在一定差异,其中,寒武系气藏气中乙烷含量在烃类气体中的占比介于0.08%~0.26%之间,筇竹寺组页岩气重烃气含量为0.32%;震旦系储层天然气的重烃气含量在0.03%~0.11%之间,均值仅为0.11%,重烃气含量整体表现出寒武系高于震旦系的特点。研究区3个区块寒武系天然气热演化程度均达到高—过成熟阶段,不同区块重烃含量整体差别较小,前人研究表明北斜坡区寒武系埋深最大且烃源岩成熟度最高6,但其天然气藏的乙烷含量却较其他2个地区偏高,相应的干燥系数也偏低,这与天然气组分随热演化程度增大的变化规律并不符,说明控制川中隆起区高演化阶段天然气藏重烃气变化的主要原因不是热成熟度。
表1 四川盆地中部地区震旦系—寒武系天然气地球化学特征

Table 1 Geochemical characteristics of natural gas in the Sinian-Cambrian strata of the central Sichuan Basin

研究区块 井号 产层 深度/m 烃类组分/% 干燥系数/% 非烃组分/% 烃类占比/% δ13C/‰(PDB) δ2H/‰(VSMOW)
甲烷 乙烷 二氧化碳 氮气 氦气 硫化氢 甲烷 乙烷 甲烷

GS136 Z2 dn 2 5 518~6 358 71.26 0.06 99.92 27.73 0.87 0.02 71.36 -33.0 -26.4 -146
GS137 Z2 dn 4 5 403~5 472 91.49 0.06 99.93 6.85 0.63 0.03 0.93 91.56 -32.9 -28.2 -141
GS001-X23 Z2 dn 4 5 165~5 748 91.68 0.03 99.97 5.35 0.92 0.02 1.69 92.00 -30.7 -140
GS001-H2 Z2 dn 4 5 180~5 838 90.46 0.03 99.97 5.30 0.86 0.03 2.04 91.67 -28.3 -139
GS001-H26 Z2 dn 4 5 049~5 822 91.37 0.03 99.97 4.88 1.07 0.03 2.29 91.71 -30.4 -140
GS001-H27 Z2 dn 4 5 180~6 500 92.06 0.03 99.97 4.98 0.72 0.02 2.59 91.72 -30.8 -139
GS001-X23 Z2 dn 4 5 165~5 748 91.36 0.03 99.97 5.41 0.66 0.02 1.68 92.16 -30.7 -140
GS001-X29 Z2 dn 4 5 164~5 973 91.73 0.03 99.97 5.01 1.23 0.03 1.92 91.81 -30.2
GS001-X3 Z2 dn 4 5 350~5 921 90.94 0.03 99.97 5.01 0.93 0.03 2.51 91.48 -29.9
GS001-X30 Z2 dn 4 92.27 0.03 99.97 5.34 0.65 0.02 93.89 -30.9 -141
GS001-X36 Z2 dn 4 5 204~6 165 91.81 0.03 99.97 5.36 0.80 0.02 1.39 92.38 -30.1 -139
GS001-X37 Z2 dn 4 5 215~6 147 91.86 0.03 99.97 5.22 0.94 0.02 0.78 92.96 -28.9
GS001-X5 Z2 dn 4 5 923~5 943 91.64 0.03 99.96 4.78 1.45 0.02 2.68 91.12 -31.4 -140
GS12 Z2 dn 4 4 984~5 273 93.45 0.03 99.97 5.45 0.64 0.02 2.21 91.83 -31.5 -142

MX102 Є1 l 4 627~4 680 95.90 0.12 99.87 2.00 1.17 0.01 0.89 95.92 -32.2 -32.5 -135
MX11 Є1 l 4 684~4 734 99.17 0.11 99.89 1.78 1.13 0.01 0.52 96.64 -32.6 -32.1 -135
MX13 Є1 l 4 576~4 649 94.87 0.11 99.88 2.31 1.40 0.02 0.90 95.36 -32.2 -32.3
MX19 Є1 l 4 052~5 750 97.59 0.11 99.89 1.93 0.69 0.01 1.00 96.41 -31.5 -31.4 -136
MX204 Є1 l 4 655~4 685 96.21 0.13 99.87 1.75 0.70 0.02 0.65 96.87 -32.7 -32.8 -135
MX146 Z2 dn 4 5 409~6 169 90.01 0.06 99.94 7.63 0.94 0.03 1.26 90.14 -32.4
MX126 Z2 dn 4 5 260~6 353 88.46 0.12 99.86 10.80 0.47 0.02 88.70 -33.2 -27.2
MX131 Z2 dn 4 5 387~6 310 82.56 0.05 99.94 9.32 4.10 0.16 85.88 -31.3
MX130 Z2 dn 4 5 446~6 650 94.80 0.07 99.93 3.78 0.51 0.02 0.75 94.93 -30.4 -29.1 -135
MX157 Z2 dn 4 5 451~6 892 90.06 0.05 99.94 3.74 4.87 0.08 1.22 90.08 -32.5
MX022-X6 Z2 dn 4 5 443~6 350 91.79 0.05 99.95 4.77 1.24 0.02 2.83 91.20 -31.6 -139
MX105 Z2 dn 4 5 299~5 401 92.69 0.04 99.96 5.31 0.58 0.02 2.50 91.67 -29.7 -140
MX108 Z2 dn 4 5 279~5 316 93.25 0.05 99.95 4.79 0.59 0.02 3.12 91.64 -31.4 -140
MX109 Z2 dn 4 5 103~5 230 91.51 0.03 99.96 4.93 1.02 0.02 2.42 91.61 -31.9 -141

PS1 Є1 l 6 588~6 615 81.39 0.10 99.88 15.99 0.01 0.01 1.71 82.13 -36.2 -31.4 -139
DB1 Є1 l 5 728~5 773 95.13 0.25 99.74 4.16 0.28 0.01 0.11 95.44 -38.2 -38.6 -135
DB1 Z2 dn 4 6 537~6 684 59.43 0.05 99.91 32.21 0.64 0.02 7.56 59.53 -31.0 -25.6 -143
PT101 Z2 dn 2 5 855~5 900 93.93 0.10 99.89 2.68 0.60 0.02 2.64 94.06 -34.4 -27.1 -141
PT101 Z2 dn 2 5 615~5 814 94.77 0.08 99.91 2.36 0.48 0.02 2.23 94.90 -34.4 -27.5
PT108 Z2 dn 2 5 871~5 913 90.40 0.07 99.93 4.11 2.07 0.01 93.54 -34.5 -23.5
PS8 Z2 dn 4 7 009~7 027 93.04 0.07 99.92 5.07 0.91 0.01 93.95 -32.9 -24.1
ZS103 Z2 dn 2 6 008~6 045 90.92 0.13 99.86 3.05 2.04 0.01 94.87 -33.4 -26.8
PS13 Z2 dn 4

6 655~6 680

6 740~6 775

91.94 0.10 99.89 6.64 0.13 0.02 1.14 92.07 -33.7 -29.2 -142

W42 Є 3 x 2 168~2 274 90.63 0.07 99.92 4.28 6.97 0.19 1.12 87.83 -28.9 -34.2 -140
W66 Є 3 x 90.22 0.17 99.81 3.59 4.80 0.15 0.59 90.82 -32.3 -34.1 -141
W71 Є 3 x 2 387~2 388 88.11 0.09 99.90 3.16 7.10 0.20 0.13 89.28 -30.4 -36.6 -145
W201-H3 Є 1 q 2 952~3 609 96.05 0.31 99.68 0 2.12 0.14 97.71 -34.9 -39.7 -144
W46 Z2 dn 2 880~2 963 85.01 0.05 99.94 5.35 8.66 0.24 2.10 83.87 -30.4 -33.9 -143

注:表中“空白”表示未测此项

研究区寒武系非烃气体以CO2、N2和H2S为主,同时含有少量的H2及微量的He等稀有气体,非烃气体含量介于2.26%~17.73%之间,均值为6.68%。其中,震旦系非烃气体含量较寒武系偏高,2套地层可明显区别于CO2和H2S的含量,一方面,页岩较强的生烃能力会使非烃气体被烷烃气稀释造成寒武系非烃气体含量偏低;另一方面,碳酸盐岩储层经历各种次生作用改造有利于CO2、H2S的生成,造成震旦系非烃气体含量偏高40。不同区块天然气的非烃组分含量表明,威远地区天然气非烃组分整体具有富N2、贫CO2和H2S的特征,北斜坡区与高—磨地区非烃气体组分组成相似,非烃气体均表现为富CO2和H2S、贫N2的特征。此外,北斜坡区天然气非烃气体组分组成无论在同一口井的不同产层还是在同一层系的不同天然气井之间均存在一定差异,这揭示了该地区储层较强的非均质性和成藏过程的差异性。

2.2 天然气碳同位素特征

川中隆起区寒武系天然气甲烷碳同位素值(δ13C1)分布在-38.2‰~-28.9‰的范围内,均值为-32.9‰,垂向上与震旦系灯影组天然气藏的δ13C1值差别较小。对比不同区块的天然气地球化学特征发现,高—磨地区和威远地区高—过成熟阶段寒武系天然气的δ13C1值均偏高且分布范围较为集中,川中巨型古隆起中北斜坡区埋深最大且具有最高的烃源岩热成熟度,但其寒武系天然气的δ13C1值却偏低,δ13C1值介于-38.2‰~-36.2‰之间(图2)。作为同源天然气,北斜坡区震旦系天然气δ13C1值仍略低于高—磨地区震旦系气样,这明显不符合天然气碳同位素正常运聚与热演化规律。对川中不同地区筇竹寺组烃源岩进行密集取心并检测其碳同位素(δ13COM)发现,北斜坡区δ13COM值介于-35.5‰~-32.5‰之间,均值为-34.1‰,高—磨及威远地区δ13COM均值分别为-31.5‰与-33.5‰,均高于北斜坡区,这与不同区块震旦系、寒武系天然气甲烷碳同位素分布趋势一致,指示高演化阶段天然气与干酪根的碳同位素组成依旧存在母质继承效应。而北斜坡区筇竹寺组沉积期间地势偏低,水体还原程度高,富低碳同位素值细菌且有机质保存条件好41,烃源岩干酪根碳同位素值较周围地区偏低,是北斜坡区天然气碳同位素值偏低的重要原因之一。
图2 川中地区震旦系—寒武系天然气碳同位素组成特征(部分数据来自文献[8-92541-43])

Fig.2 Carbon isotopic composition of natural gas in the Sinian-Cambrian strata of the central Sichuan Basin (some data are derived from Refs.[8-92541-43])

川中地区天然气乙烷碳同位素组成(δ13C2)在震旦系—寒武系垂向层系上存在一定差异,震旦系灯影组天然气样品的δ13C2值较寒武系样品的高,部分气样δ13C2值甚至高于-28.0‰,具有与典型海相腐泥型天然气明显不同的δ13C2值特征。寒武系储层天然气藏的δ13C2值分布在-38.6‰~-31.4‰之间,均值为-33.6‰,而筇竹寺组页岩气的δ13C2值明显不同于气藏气,其δ13C2值偏低,为-39.7‰(图2)。
对比天然气甲烷、乙烷碳同位素组成发现,川中地区深层天然气样品出现甲烷、乙烷碳同位素反序分布,即碳同位素倒转,且该现象多出现在寒武系气藏中(图3),以威远地区筇竹寺组页岩气的倒转程度最大,这也与前人的认识一致41
图3 川中地区震旦系—寒武系天然气碳同位素倒转特征(部分数据来自文献[8-92541-43])

Fig.3 Carbon isotopic reversal of natural gas in the Sinian-Cambrian strata, central Sichuan Basin (some data are derived from Refs.[8-92541-43])

3 碳同位素倒转成因探讨

3.1 页岩气与气藏气的混合作用

结合川中地区地质背景及前人对该区天然气的研究成果,分析认为:研究区不存在无机成因气的混入,可排除有机与无机烷烃气混合导致天然气碳同位素倒转的因素9;寒武系埋藏深度大,地温远远超过细菌的存活温度(一般在75 ℃以下),烷烃气未经细菌的改造;川中地区震旦系—下古生界不发育煤系地层,向上仅在上二叠统龙潭组及上三叠统须家河组发育煤系夹层及烃源岩层,且古隆起古生界内发育的走滑断裂多终止于二叠系之下,因此不存在煤型气与油型气的混合44-45;川中深层天然气已进入瑞利分馏阶段,丙烷几乎裂解殆尽,碳同位素倒转现象仅出现于甲烷与乙烷之间,可见瑞利分馏也不是研究区碳同位素倒转的原因2046
前人研究多认为川中地区甲烷、乙烷碳同位素倒转是同源不同期天然气混合的结果,但对此并未给出详细的解释8-947。通过整理前人以及本次天然气数据发现:天然气碳同位素值出现倒转的寒武系样品通常具有δ13C1值较震旦系灯影组无明显差别、δ13C2值较灯影组偏低、干燥系数偏低的特征(表1图2),表明研究区天然气甲烷在高演化阶段未遭受强烈改造,深层寒武系天然气碳同位素倒转的原因并非是气藏中有富重碳同位素(13C)甲烷的混入,而是富轻碳同位素(12C)的乙烷混入所致。寒武系筇竹寺组发育厚层泥页岩,从页岩气的实测数据来看页岩气较上覆气藏气更“湿”、非烃气体含量更低、乙烷碳同位素值更低且碳同位素发生了明显倒转(表1图3),这与寒武系筇竹寺组上覆储层中碳同位素出现倒转的天然气样品地球化学特征极为相似,寒武系现今的天然气藏更像是原始气藏中混入筇竹寺组页岩气后形成的混合气藏。
对比研究区震旦系—寒武系天然气藏的δ13C2值与乙烷含量关系图(图4)发现,除威远地区震旦系和寒武系混合程度较高的天然气藏外,北斜坡区与高—磨地区震旦系、寒武系天然气藏可明显区别于δ13C2值与乙烷含量,寒武系气藏气现今的地球化学特征显示其更像是震旦系储层中原油裂解气与寒武系筇竹寺组页岩气的混合气(图4)。川中古隆起经历多期构造运动,特别是喜马拉雅期龙门山冲断带构造运动使得古隆起迅速抬升,地层遭受严重剥蚀,源、储压差下降,地层持续抬升的同时页岩层理面张开、孔隙压力不断降低47,筇竹寺组页岩层内的页岩气可在断裂的沟通下向地层压力更小、气体充满度更低的上覆储层中运移成藏,当重烃含量较高且富轻碳同位素(12C)乙烷的页岩气持续向上覆地层充注时,寒武系原生气藏被改造,其烷烃气最终显示出碳同位素反序特征。震旦系在晚三叠世末期就已进入烃类裂解期,早侏罗世进入气藏形成阶段,大量液态烃随热演化程度增大不断裂解使震旦系气藏具有极高的充满度,其储层中现存的固体沥青即是早期原油裂解的主要产物48,尽管地层晚期也经历了强烈的构造抬升,但由于震旦系沟通筇竹寺组的断裂不发育649-50,原生气藏未被改造而保留有原油裂解气的地球化学特征,使震旦系烷烃气碳同位素保持正序。基于以上分析,笔者可以将筇竹寺组页岩气与震旦系原油裂解气的单井数据分别作为寒武系气藏混合前的两个端元气,利用简单二元混合数值模拟方法,对上述想法进行验证。通常来讲,天然气的混合作用是一种物理作用,且符合质量守恒原理。有学者在实验中证实不同比例混合的天然气碳同位素实测值与二元混合数值模拟出来的烷烃气碳同位素值基本一致,误差在0.8%以内51,前人也利用该方法在雅克拉及川东北等地区进行了天然气定量识别等研究51-53,混合模型见下式:
δ 13 C i = x n i A δ 13 C i A + y n i B δ 13 C i B x n i A + y n i B
式中:A、B代表不同气源;i代表不同烷烃组分(甲烷、乙烷等);x、y代表混合分数;ni 代表组分i在天然气中的含量,%。
图4 川中地区震旦系—寒武系天然气δ 13C2值与乙烷含量关系

Fig.4 Relationship between δ 13C2 values and ethane content of natural gas in the Sinian-Cambrian strata, central Sichuan Basin

由于目前勘探实践获取的筇竹寺组页岩气样较少,本文页岩气端元气仅选用威远地区W201-H3页岩气水平井的天然气样,天然气组分及同位素值采用该井页岩气多个实测数据的平均值,页岩气中甲烷和乙烷含量偏高(甲烷、乙烷平均含量分别为96.29%和0.34%),甲烷、乙烷碳同位素值偏低且碳同位素序列倒转(δ13C1、δ13C2均值分别为-35.1‰和-40.3‰)。震旦系气藏气取高—磨及北斜坡区块灯二段、灯四段多个天然气样,组分及同位素数据均采用多个天然气样的平均值,因非烃气体含量高,灯影组天然气地球化学特征具体表现为甲烷含量不高(89.76%),乙烷含量极低(0.05%),甲烷、乙烷碳同位素值偏高(δ13C1、δ13C2值分别为-31.6‰和-27.8‰)且具有正碳同位素序列(表2)。
表2 川中地区页岩气与原油裂解气地球化学特征

Table 2 Geochemical characteristics of shale gas and oil-cracked gas in the central Sichuan Basin

端元气 地层 主要组分/% δ13C/‰(PDB) 数据来源
CH4 C2H6 CO2 N2 H2S CH4 C2H6
W201-H3页岩气 Є1 q 96.52 0.35 1.24 1.75 -35.4 -40.8 文献[42]
-35.5 -39.8 文献[9]
-35.4 -40 文献[9]
96.05 0.31 2.12 -34.9 -39.7 本文
页岩气平均值 Є1 q 96.29 0.34 1.24 1.94 -35.3 -40.1
震旦系平均值 Z2 dn 89.76 0.05 6.93 1.12 2.1 -31.6 -27.8 本文
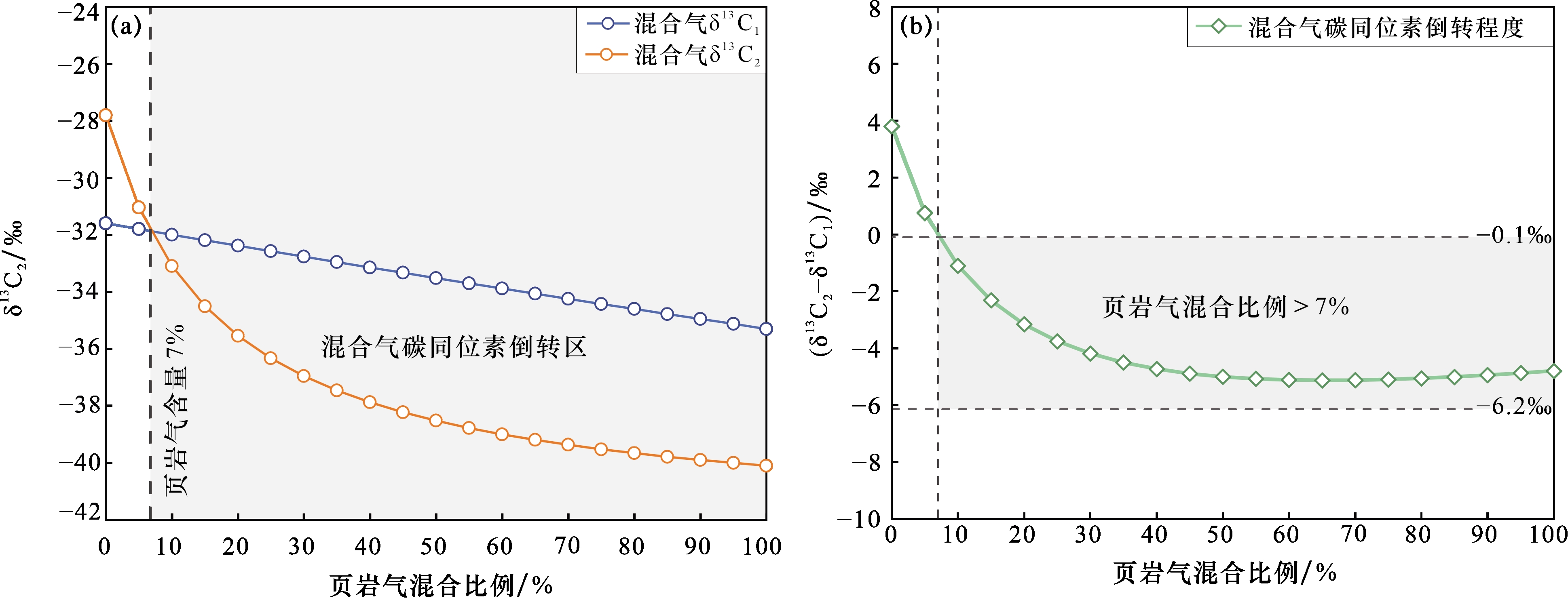
以震旦系原油裂解气作为原生气,页岩气在混合气中所占比例从0开始,按5%递增,随着页岩气在混合气中比例的增加,混合气的碳同位素组成发生变化,甲烷、乙烷碳同位素组成迅速接近且最终保持碳同位素组成倒转的现象[图5(a)]。模拟情况显示:随着页岩气在混合气中占比增大,混合气的乙烷碳同位素越来越富集12C,由于页岩气乙烷含量偏高,震旦系乙烷含量极低,少量页岩气的混入都可较大程度地改变混合气的乙烷碳同位素值,并使其具备页岩气乙烷的碳同位素组成特征。而2种气体的甲烷含量差别不大且碳同位素组成相似,页岩气的充注对混合气甲烷碳同位素的影响相对较小,当页岩气的混合比例仅在7%左右时,就能引起碳同位素倒转,且页岩气在混合气中的占比越大,碳同位素倒转程度就越明显。模拟结果表明川中地区筇竹寺组页岩气向上覆气藏气混入易导致寒武系原生天然气碳同位素发生倒转,且出现倒转气藏气乙烷碳同位素值的负偏量至少为4‰[图5(a)]。现今川中地区寒武系气藏气中出现倒转的天然气乙烷、甲烷碳同位素的差值在-6.2‰~-0.1‰之间(表1),指示页岩气向上覆气藏气的充注量至少占原生气藏的7%,个别气藏如W71井洗象池群烷烃气碳同位素组成偏轻、倒转程度偏大(δ13C1、δ13C2值分别为-30.4‰和-36.6‰),这种气藏中页岩气的充注量或许会达到50%以上[图5(b)]。事实上,气体在页岩中受到扩散和吸附—解吸等作用,随运移距离和时间的增加,残余页岩气的甲烷、乙烷碳同位素组成会持续变重54-56。使得现今滞留在筇竹寺组中的页岩气碳同位素组成偏重,早期向上充注的页岩气的甲烷、乙烷碳同位素值应更低,因此认为寒武系储层中气藏气碳同位素倒转所需页岩气的混合比例可能更低。
图5 威远页岩气与磨溪原油裂解气的混合模拟结果

Fig.5 Mixing simulation results of Weiyuan shale gas and Moxi oil-cracked gas

3.2 滞留烃裂解气与源外液态烃裂解气的混合作用

前人根据高温条件下液态烃裂解气的赋存状态将其划分为源内滞留液态烃裂解气、源外分散液态烃裂解气及源外聚集型液态烃(原油)裂解气3个部分941图6)。其中,源内滞留(液态)烃裂解气为初次运移未及时排出源岩的滞留液态烃晚期裂解而成57-58。高—过成熟阶段埋深较大的烃源岩中滞留烃含量急剧降低,表明其裂解成气并发生了排烃,可见滞留烃是常规天然气规模性成藏的有效烃源59-62。同时,未排出烃源岩的裂解气对页岩气的贡献也不容忽视,海相页岩气中滞留烃裂解气的贡献量甚至可达70%363。高成熟阶段的页岩地层中,滞留烃裂解气可能会成为页岩气的一部分,但二者在母质来源、成因类型等诸多方面均存在差异(表3),因此有必要分开讨论二者在不同阶段对现今天然气藏的贡献。
图6 不同赋存状态天然气成因来源示意(据文献[34]修改)

Fig.6 Conceptual model showing genetic sources of natural gas in varying occurrence states(modified according to Ref.[34])

表3 源内滞留烃裂解气与页岩气特征对比

Table 3 Comparative characteristics of in-situ cracked gas and shale gas

天然气类型 源内滞留(液态)烃裂解气 页岩气
母质来源 液态烃(原油) 原始沉积有机质、干酪根、液态烃
成因类型 液态烃(原油)热裂解 有机质生物降解、干酪根热降解和热裂解、液态烃热裂解
生成阶段 热裂解生湿气阶段 有机质演化各个阶段
气体组成 甲烷、重烃( C 2 +)较多 以甲烷为主,重烃较少
赋存状态 游离态为主 吸附态、游离态
李剑等64以下马岭组低熟腐泥型烃源岩为研究对象进行了生排烃模拟实验,探讨了不同类型液态烃在裂解过程中的生气期和生气贡献量,结果显示滞留烃的主生气期晚于源外液态烃裂解气,其裂解气的贡献量也明显小于源外液态烃裂解气(图7)。川中地区深层寒武系筇竹寺组泥页岩厚度大,源岩在成熟阶段仍滞留有大量液态烃,震旦系较寒武系埋藏更深,源储连通性好649,源外聚集型液态烃的分布面积更广65,进入震旦系储层中的源外液态烃优先裂解成气,且其生气量可占总生气量的一半以上(图7)。当震旦系的储集空间优先被源外液态烃裂解气所占据时,晚期的滞留烃裂解气会被迫向充满度更低的寒武系储层充注,使得震旦系气藏较少受到上覆筇竹寺组滞留烃裂解气的混入。而滞留液态烃本身具有重烃气含量偏高且碳同位素组成偏轻的地球化学特征,其裂解气也因此较源外液态烃裂解气更“湿”、碳同位素值更低2066-67。当乙烷含量偏高的滞留烃裂解气进入寒武系天然气藏后,对早期气藏中天然气的乙烷碳同位素组成必然产生强烈改造,而对甲烷碳同位素组成的影响不大,使得寒武系天然气碳同位素组成发生变化。前人868研究表明,川中震旦系—寒武系油气充注具有多阶段、准连续的特点,可见滞留烃裂解气的混入是造成原始天然气藏碳同位素倒转的另一重要原因。
图7 不同类型液态烃热演化过程中累计生气贡献比例(据文献[64]修改)

Fig.7 Cumulative gas-generation contribution ratios during thermal evolution of different liquid hydrocarbon types (modified according to Ref.[64])

因此,本文将川中地区寒武系天然气碳同位素出现倒转的原因总结为以下2点:其一为气藏形成过程中烃源岩中滞留烃裂解气与源外液态烃裂解气相混合,导致天然气碳同位素组成具有“异常”的分布特征;其二为气藏调整阶段筇竹寺组页岩气向寒武系气藏气大量充注,混合后天然气的甲烷、乙烷碳同位素发生进一步的倒转。

3.3 烷烃气碳同位素倒转程度与含气量的关系

国外学者早年在对北美高成熟页岩气田的研究中发现,出现烷烃气碳同位素倒转现象的气田通常伴随着页岩气的高产,可能指示页岩气的高产区52069。国内众多学者通过对四川盆地及其周缘页岩气烷烃气进行碳同位素研究,发现五峰组—龙马溪组高成熟度页岩气烷烃气碳同位素的倒转与页岩气高产也存在一定的联系6670-71。本文研究表明,滞留烃裂解气或页岩气等气源的混入均会对气藏气的地球化学特征产生一定的影响。以川中地区深部地层为例,由于其热演化程度高、构造特征复杂、烃源岩厚度大且源储配置良好,早期形成的原油裂解气藏易遭受破坏,晚期充注于储层中的滞留烃裂解气与页岩气因其较高的重烃气含量与较轻的重烃气碳同位素组成,易使呈正碳同位素序列排列的原生气藏发生碳同位素倒转,且倒转程度与二者的贡献量有关,研究区天然气烷烃碳同位素的倒转可能预示较高的气藏储量。
现有数据表明,高—磨地区寒武系烷烃气的δ13C2值、碳同位素倒转程度(δ13C2-δ13C1)与现今天然气的累计产量之间均无明显相关性(图8)。二元混合模拟结果显示,页岩气的混入量仅占混合气的7%时,就能导致原始气藏烷烃气发生碳同位素倒转[图5(a)],而川中高—磨地区及北斜坡区寒武系气藏气甲烷、乙烷碳同位素的倒转程度集中在-2.0‰~0‰之间(表1),气藏中页岩气的充注量应不超过15%[图5(b)]。表明晚期天然气对早期原油裂解气的贡献量并不大,高—磨地区及北斜坡区烷烃气的碳同位素倒转程度不能有效反映其含气量。而威远地区寒武系气藏气甲烷、乙烷碳同位素的倒转程度介于-6.2‰~-1.8‰之间,代表较高含量晚期天然气的充注,这也与威远地区喜马拉雅期构造抬升最强烈、气藏混合程度大的地质背景相一致。事实上,本文研究仅有的威远地区W66井和W71井的数据显示,乙烷碳同位素值偏低、甲乙烷碳同位素倒转程度大的W71井确实比W66井具有较高的含气量,但由于样品的局限性,威远地区寒武系天然气碳同位素组成与气藏含气量的研究还有待进一步探讨。
图8 川中地区寒武系天然气碳同位素组成与含气量的关系(部分数据来自文献[8-92541-43])

Fig.8 Relationship between carbon isotopic composition and gas content of Cambrian natural gas in the central Sichuan Basin (some data are derived from Refs.[8-92541-43])

4 古气藏形成演化阶段

根据北斜坡区典型井PT1井的沉积埋藏史及热演化史(图9),对川中地区的生烃演化史分析认为:川中地区寒武系筇竹寺组烃源岩在志留纪末短暂进入生油窗,此后约110 Ma间,地层抬升使得生烃过程缓慢或停止,烃源岩始终未进入生油高峰期。二叠纪末期受燕山运动影响川中地区整体迅速埋深并进入生油高峰,烃源岩生烃过程中,一部分烃类排出,在储层中以聚集型和分散型液态烃的形式赋存,另一部分烃类未及时排出源岩,成为烃源岩中的滞留烃。早侏罗世烃源岩进入生湿气阶段,该阶段液态烃开始大量裂解,古油藏逐渐向气藏转变。寒武系现今储层中发育大量储层固体沥青,作为原油裂解的产物,储层固体沥青是古油藏裂解成气的直接证据4872-73,源外液态烃裂解气聚集成藏为川中地区天然气的第一期成藏。不可否认的是,储层中的源外液态烃裂解成气后,烃源岩中的滞留烃“接力生气”,寒武系筇竹寺组上覆气藏在中—晚侏罗世不断接受筇竹寺组滞留烃裂解气的供给,为川中天然气的第二期成藏。
图9 川中北斜坡区PT1井埋藏—热演化史及天然气充注期次(埋藏史图改自文献[41])

Fig.9 Burial-thermal history and natural gas charging episodes of Well PT1 in the northern slope zone of central Sichuan Basin (the burial history map is adapted from Ref.[41])

事实上,川中古隆起在烃源岩进入生油高峰前已基本定型,液态烃生成后往往朝着高—磨地区等古隆起高部位运移成藏,北斜坡区地势较低且坡度较小,液态烃常以半分散状分布(图10),且寒武系比震旦系的分散程度更大65。而源外分散型液态烃的生气量小于古油藏裂解气(聚集型液态烃)(图7),当源外液态烃中分散型烃类占比较大时,第一期运移至储层中的总的源外裂解气量就会降低,这为第二期向上充注的滞留烃裂解气提供了更多的储集空间,使其在气藏中的占比相对偏高,造成混合气藏中天然气的重烃含量偏高且碳同位素组成偏轻,这可能是北斜坡区天然气碳同位素值较相邻区块偏低的另一重要原因。白垩纪末期至今,喜马拉雅运动造成川中地区持续抬升,筇竹寺组页岩气在地层压力及断裂的双重控制下向上覆有利区聚集成藏。其中,由于威远地区较高—磨地区及北斜坡区抬升幅度更大,晚期页岩气的充注量也更多,这也造成威远地区天然气碳同位素倒转程度最为明显。该阶段气藏始终处于调整阶段,为川中地区寒武系气藏的第三期气源。
图10 北斜坡区—高磨地区深层天然气阶段性成藏模式

Fig.10 Genetic model of multi-stage gas accumulation in deep reservoirs, Northern Slope to Gaomo area

川中地区不同区块的构造演化背景控制了该地区寒武系储层早期液态烃的赋存形式,制约了液态烃的成气潜力与成藏时机,影响了深层天然气的成藏规律。整体上,川中地区寒武系气藏经历3期天然气充注,多期次天然气充注与川中古隆起构造变形的时空配置关系控制了气藏的形成时间和气藏规模(图9图10),现今气藏中保留了古油藏裂解气、滞留烃裂解气与晚期页岩气的累积气,各期次天然气的混合作用最终导致天然气碳同位素发生倒转。

5 结论

(1)四川盆地中部地区震旦系、寒武系气藏气为以烃类为主的干气,干燥系数大于99.65%,寒武系天然气干燥系数及非烃气体含量均小于震旦系。天然气甲烷碳同位素组成差异小,乙烷碳同位素值具有寒武系明显低于震旦系、北斜坡区较相邻区块偏低的特征,寒武系天然气甲烷、乙烷碳同位素值多表现出δ13C113C2的倒转现象。
(2)母源碳同位素和不同赋存状态烃类裂解气贡献量的差异是北斜坡区寒武系天然气乙烷碳同位素组成偏轻的原因。北斜坡区筇竹寺组沉积期间地势低、水体还原程度高,烃源岩干酪根碳同位素值较周围地区偏低;另一方面斜坡区早期液态烃多呈分散状,源外液态烃裂解气量偏低,气藏晚期捕获的富轻碳同位素的滞留烃裂解气在气藏中的占比更大,造成现今天然气碳同位素组成进一步偏轻。
(3)震旦系储层早期原油裂解气充满度较高,晚期天然气多向充满度低的寒武系储层运移成藏。筇竹寺组源内滞留烃具有乙烷含量较高、乙烷碳同位素组成偏轻的特征,且其裂解生气期较源外液态烃晚,与早期源外液态烃裂解气混合后会造成混合气碳同位素发生初步倒转;多成因类型的页岩气本身具有碳同位素倒转的特征,喜马拉雅期地层抬升,筇竹寺组页岩气在断裂和压力的双重控制下向上覆气藏充注,使得寒武系烷烃气碳同位素发生进一步倒转。数值模拟结果表明,晚期气藏中充注7%的页岩气即可使寒武系天然气碳同位素发生倒转。
(4)寒武系气藏气共经历3期天然气充注,即中晚三叠世—早侏罗世储层中的源外液态烃裂解气、中晚侏罗世烃源岩中的滞留烃裂解气以及白垩纪末期至今筇竹寺组中的页岩气。气藏捕获筇竹寺组滞留烃裂解气及晚期页岩气的含量越高,天然气碳同位素的倒转程度就越明显。
[1]
徐永昌. 天然气成因理论及应用[M]. 北京: 科学出版社, 1994.

XU Y C. Genetic Theories of Natural Gases and Their Application[M]. Beijing: Science Press, 1994.

[2]
刚文哲, 高岗, 郝石生, 等. 论乙烷碳同位素在天然气成因类型研究中的应用[J]. 石油实验地质, 1997,19(2): 164-167.

GANG W Z, GAO G, HAO S S, et al. Carbon isotope of ethane applied in the analyses of genetic types of natural gas[J].Petroleum Geology & Experiment,1997,19(2):164-167.

[3]
陈建平, 王绪龙, 陈践发, 等. 甲烷碳同位素判识天然气及其源岩成熟度新公式[J]. 中国科学:地球科学, 2021, 51(4): 560-581.

CHEN J P, WANG X L, CHEN J F, et al. New equation to decipher the relationship between carbon isotopic composition of methane and maturity of gas source rocks[J]. Science China Earth Sciences, 2021, 51(4): 560-581.

[4]
戴金星, 戚厚发, 宋岩. 鉴别煤成气和油型气若干指标的初步探讨[J]. 石油学报, 1985, 6(2): 31-38.

DAI J X, QI H F, SONG Y. On the indicators for identifying gas from oil and gas from coal measure[J]. Acta Petrolei sinica, 1985, 6(2): 31-38.

[5]
ZUMBERGE J, FERWORN K, BROWN S. Isotopic reversal ("rollover") in shale gases produced from the Mississippian Barnett and Fayetteville formations[J]. Marine and Petroleum Geology, 2012, 31(1): 43-52.

[6]
邹才能, 杜金虎, 徐春春, 等. 四川盆地震旦系—寒武系特大型气田形成分布、资源潜力及勘探发现[J]. 石油勘探与开发, 2014, 41(3): 278-293.

ZOU C N, DU J H, XU C C, et al. Formation, distribution, resource potential and discovery of the Sinian-Cambrian giant gas field,Sichuan Basin,SW China[J].Petroleum Exploration and Development, 2014, 41(3): 278-293.

[7]
赵文智, 汪泽成, 姜华, 等. 从古老碳酸盐岩大油气田形成条件看四川盆地深层震旦系的勘探地位[J]. 天然气工业, 2020, 40(2): 1-10.

ZHAO W Z, WANG Z C, JIANG H, et al. Exploration status of the deep Sinian strata in the Sichuan Basin: Formation conditions of old giant carbonate oil/gas fields[J]. Natural Gas Industry, 2020, 40(2): 1-10.

[8]
谢增业, 魏国齐, 李剑, 等. 四川盆地川中隆起带震旦系—二叠系天然气地球化学特征及成藏模式[J]. 中国石油勘探, 2021, 26(6): 50-67.

XIE Z Y, WEI G Q, LI J, et al. Geochemical characteristics and accumulation pattern of gas reservoirs of the Sinian-Permian in central Sichuan uplift zone, Sichuan Basin[J]. China Petroleum Exploration, 2021, 26(6): 50-67.

[9]
魏国齐, 谢增业, 白贵林, 等. 四川盆地震旦系—下古生界天然气地球化学特征及成因判识[J]. 天然气工业, 2014, 34(3): 44-49.

WEI G Q, XIE Z Y, BAI G L, et al. Organic geochemical characteristics and origin of natural gas in the Sinian-Lower Paleozoic reservoirs,Sichuan Basin[J].Natural Gas Industry,2014,34(3): 44-49.

[10]
罗冰, 罗文军, 王文之, 等. 四川盆地乐山——龙女寺古隆起震旦系气藏形成机制[J]. 天然气地球科学, 2015, 26(3): 444-455.

LUO B,LUO W J,WANG W Z,et al. Formation mechanism of Sinian gas reservoir in Leshan-Longnusi Paleo-uplift,Sichuan Basin[J].Natural Gas Geoscience,2015,26(3):444-455.

[11]
刘文汇, 王杰, 腾格尔, 等. 油气同位素地球化学研究现状与进展[J]. 地质学报, 2015, 89(S1): 160-163.

LIU W H,WANG J,TENG G E,et al. Research status and progress of hydrocarbon isotope geochemistry[J].Acta Geological Sinica, 2015, 89(S1): 160-163.

[12]
戴金星. 天然气中烷烃气碳同位素研究的意义[J]. 天然气工业, 2011, 31(12): 1-6,123.

DAI J X. Significance of the study on carbon isotopes of alkane gases[J]. Natural Gas Industry, 2011, 31(12): 1-6,123.

[13]
LANCET M S,ANDERS E.Carbon isotope fractionation in the Fischer-tropsch synthesis and in meteorites[J].Science,1970,170(3961): 980-982.

[14]
戴金星. 概论有机烷烃气碳同位素系列倒转的成因问题[J]. 天然气工业, 1990, 10(6): 15-20.

DAI J X. A brief discussion on the problem of the geneses of the carbon isotopic series reversal in organic alkane gases[J].Natural Gas Industry, 1990, 10(6): 15-20.

[15]
戴金星, 夏新宇, 秦胜飞, 等. 中国有机烷烃气碳同位素系列倒转的成因[J]. 石油与天然气地质, 2003, 24(1): 1-6.

DAI J X, XIA X Y, QIN S F, et al. Causation of partly reversed orders of δ13C in biogenic alkane gas in China[J].Oil & Gas Geology, 2003, 24(1): 1-6.

[16]
秦胜飞. 塔里木盆地库车坳陷异常天然气的成因[J]. 勘探家, 1999, 4(3): 21-23, 10-30.

QIN S F. The origin of abnormal natural gas in Kuqa Depression, Tarim Basin[J]. Petroleum Explorationist, 1999, 4(3): 21-23, 10-30.

[17]
戴金星,倪云燕,龚德瑜,等. 中国大气田烷烃气碳同位素组成的若干特征[J]. 石油勘探与开发,2024,51(2):223-233.

DAI J X, NI Y Y, GONG D Y, et al. Characteristics of carbon isotopic composition of alkane gas in large gas fields in China[J].Petroleum Exploration and Development,2024,51(2): 223-233.

[18]
BURRUSS R C, LAUGHREY C D. Carbon and hydrogen isotopic reversals in deep basin gas: Evidence for limits to the stability of hydrocarbons[J]. Organic Geochemistry, 2010, 41(12): 1285-1296.

[19]
XIA X Y,TANG Y C. Isotope fractionation of methane during natural gas flow with coupled diffusion and adsorption/desorption[J].Geochimica et Cosmochimica Acta,2012,77:489-503.

[20]
XIA X Y, CHEN J, BRAUN R, et al. Isotopic reversals with respect to maturity trends due to mixing of primary and secondary products in source rocks[J].Chemical Geology,2013,339: 205-212.

[21]
何登发, 李德生, 张国伟, 等. 四川多旋回叠合盆地的形成与演化[J]. 地质科学, 2011, 46(3): 589-606.

HE D F,LI D S,ZHANG G W,et al.Formation and evolution of multi-cycle superposed Sichuan Basin,China[J].Chinese Jo-urnal of Geology, 2011, 46(3): 589-606.

[22]
李洪奎, 李忠权, 龙伟, 等. 四川盆地纵向结构及原型盆地叠合特征[J]. 成都理工大学学报(自然科学版), 2019, 46(3): 257-267.

LI H K, LI Z Q, LONG W, et al. Vertical configuration of Sichuan Basin and its superimposed characteristics of the prototype basin[J]. Journal of Chengdu University of Technology (Science & Technology Edition), 2019, 46(3): 257-267.

[23]
李忠权, 应丹琳, 李洪奎, 等. 川西盆地演化及盆地叠合特征研究[J]. 岩石学报, 2011, 27(8): 2362-2370.

LI Z Q, YING D L, LI H K, et al. Evolution of the western Sichuan Basin and its superimposed characteristics, China[J]. Acta Petrologica Sinica, 2011, 27(8): 2362-2370.

[24]
杜金虎, 邹才能, 徐春春, 等. 川中古隆起龙王庙组特大型气田战略发现与理论技术创新[J]. 石油勘探与开发, 2014, 41(3): 268-277.

DU J H,ZOU C N,XU C C,et al.Theoretical and technical innovations in strategic discovery of a giant gas field in Cambrian Longwangmiao Formation of central Sichuan paleo-uplift,Sichuan Basin[J].Petroleum Exploration and Development,2014,41(3): 268-277.

[25]
魏国齐, 谢增业, 宋家荣, 等. 四川盆地川中古隆起震旦系—寒武系天然气特征及成因[J]. 石油勘探与开发, 2015, 42(6): 702-711.

WEI G Q, XIE Z Y, SONG J R, et al. Features and origin of natural gas in the Sinian-Cambrian of central Sichuan Paleo-Uplift, Sichuan Basin,SW China[J].Petroleum Exploration and Development, 2015, 42(6): 702-711.

[26]
李剑, 佘源琦, 高阳, 等. 中国陆上深层—超深层天然气勘探领域及潜力[J]. 中国石油勘探, 2019, 24(4): 403-417.

LI J, SHE Y Q, GAO Y, et al. Onshore deep and ultradeep natural gas exploration fields and potentials in China[J]. China Petroleum Exploration, 2019, 24(4): 403-417.

[27]
郭旭升, 胡东风, 黄仁春, 等. 四川盆地深层—超深层天然气勘探进展与展望[J]. 天然气工业, 2020, 40(5): 1-14.

GUO X S, HU D F, HUANG R C, et al. Deep and ultra-deep natural gas exploration in the Sichuan Basin: Progress and prospect[J]. Natural Gas Industry, 2020, 40(5): 1-14.

[28]
郑志红, 李登华, 白森舒, 等. 四川盆地天然气资源潜力[J]. 中国石油勘探, 2017, 22(3): 12-20.

ZHENG Z H, LI D H, BAI S S, et al. Resource potentials of natural gas in Sichuan Basin[J]. China Petroleum Exploration, 2017, 22(3): 12-20.

[29]
梁霄, 刘树根, 夏铭, 等. 四川盆地威远构造震旦系灯影组气烟囱特征及其地质意义[J]. 石油与天然气地质, 2016, 37(5): 702-712.

LIANG X, LIU S G, XIA M, et al. Characteristics and geological significance of gas chimney of the Sinian Dengying Formation in the Weiyuan structure, Sichuan Basin[J]. Oil & Gas Geology, 2016, 37(5): 702-712.

[30]
李忠权, 刘记, 李应, 等. 四川盆地震旦系威远—安岳拉张侵蚀槽特征及形成演化[J]. 石油勘探与开发, 2015, 42(1): 26-33.

LI Z Q, LIU J, LI Y, et al. Formation and evolution of Weiyuan-Anyue extension-erosion groove in Sinian System, Sichuan Basin[J].Petroleum Exploration and Development, 2015, 42(1): 26-33.

[31]
杨雨, 文龙, 宋泽章, 等. 川中古隆起北部蓬莱气区多层系天然气勘探突破与潜力[J]. 石油学报, 2022, 43(10): 1351-1368.

YANG Y, WEN L, SONG Z Z, et al. Breakthrough and potential of natural gas exploration in multi-layer system of Penglai gas area in the north of central Sichuan paleo-uplift[J]. Acta Petrolei Sinica, 2022, 43(10): 1351-1368.

[32]
苏桂萍. 川中古隆起北斜坡区构造特征、演化及其对油气成藏影响研究[D]. 成都:成都理工大学, 2021.

SU G P. Study on Structural Characteristics and tectonic Evolution in the Northern Slope of Central Sichuan Paleo-uplift and Their Influences on Hydrocarbon Accumulation[D].Chengdu:Chengdu University of Technology, 2021.

[33]
张本健, 周刚, 宋泽章, 等. 川中古隆起北斜坡蓬莱气区上震旦统—下寒武统海相碳酸盐岩天然气多层系立体成藏[J]. 海相油气地质, 2023, 28(4): 401-412.

ZHANG B J, ZHOU G, SONG Z Z, et al. Multi layers three-dimensional natural gas accumulation of the Upper Sinian-Lower Cambrian marine carbonate rocks in Penglai gas area, north slope of central Sichuan Paleo-Uplift[J]. Marine Origin Petroleum Geology, 2023, 28(4): 401-412.

[34]
赵文智, 王兆云, 张水昌, 等. 有机质“接力成气”模式的提出及其在勘探中的意义[J]. 石油勘探与开发, 2005, 32(2): 1-7.

ZHAO W Z, WANG Z Y, ZHANG S C, et al. Successive generation of natural gas from organic materials and its significance in future exploration[J]. Petroleum Exploration and Development, 2005, 32(2): 1-7.

[35]
魏国齐, 刘德来, 张林, 等. 四川盆地天然气分布规律与有利勘探领域[J]. 天然气地球科学, 2005,16(4): 437-442.

WEI G Q, LIU D L, ZHANG L, et al. Natural gas distribution and favorable exploration directions in Sichuan Basin[J]. Natural Gas Geoscience, 2005,16(4): 437-442.

[36]
戴金星, 倪云燕, 秦胜飞, 等. 四川盆地超深层天然气地球化学特征[J]. 石油勘探与开发, 2018, 45(4): 588-597.

DAI J X, NI Y Y, QIN S F, et al. Geochemical characteristics of ultra-deep natural gas in the Sichuan Basin,SW China[J]. Petroleum Exploration and Development, 2018, 45(4): 588-597.

[37]
张满郎, 谢增业, 李熙喆, 等. 四川盆地寒武纪岩相古地理特征[J]. 沉积学报, 2010, 28(1): 128-139.

ZHANG M L, XIE Z Y, LI X Z, et al. Characteristics of lithofacies paleogeography of Cambrian in Sichuan Basin[J]. Acta Sedimentologica Sinica, 2010, 28(1): 128-139.

[38]
孙玮, 刘树根, 李泽奇, 等. 四川盆地灯影组天然气晚期调整成藏的主控因素[J]. 成都理工大学学报(自然科学版), 2021, 48(6): 641-652.

SUN W, LIU S G, LI Z Q, et al. Main controlling factors of late adjustment and accumulation of natural gas in Dengying Formation, Sichuan Basin, China[J]. Journal of Chengdu University of Technology(Science & Technology Edition),2021,48(6): 641-652.

[39]
李双建, 孙冬胜, 郑孟林, 等. 四川盆地寒武系盐相关构造及其控油气作用[J]. 石油与天然气地质, 2014, 35(5): 622-631,638.

LI S J, SUN D S, ZHENG M L, et al. Salt-related structure and its control on hydrocarbon of the Cambrian in Sichuan Basin[J]. Oil & Gas Geology, 2014, 35(5): 622-631,638.

[40]
帅燕华, 张水昌, 胡国艺, 等. 四川盆地高石梯—磨溪地区震旦系—寒武系天然气TSR效应及气源启示[J]. 地质学报, 2019, 93(7): 1754-1766.

SHUAI Y H, ZHANG S C, HU G Y, et al. Sinian Cambrian gas TSR effect and gas source enlightenment in Gaoshiti-Moxi area, Sichuan Basin[J]. Acta geologica Sinica, 2019, 93(7): 1754-1766.

[41]
魏国齐, 谢增业, 杨雨, 等. 四川盆地中部北斜坡震旦系——寒武系大型岩性气藏形成条件[J]. 石油勘探与开发, 2022, 49(5): 835-846.

WEI G Q, XIE Z Y, YANG Y, et al. Formation conditions of Sinian-Cambrian large lithologic gas reservoirs in the north slope area of central Sichuan Basin, SW China[J]. Petroleum Exploration and Development, 2022, 49(5): 835-846.

[42]
吴伟, 黄士鹏, 胡国艺, 等. 威远地区页岩气与常规天然气地球化学特征对比[J]. 天然气地球科学, 2014, 25(12): 1994-2002.

WU W, HUANG S P, HU G Y, et al. A comparison between shale gas and conventional gas on geochemical characteristics in Weiyuan area[J]. Natural Gas Geoscience, 2014, 25(12): 1994-2002.

[43]
张鹏伟. 川中地区震旦—寒武系气藏硫化氢成因机制研究[D]. 北京:中国石油大学(北京), 2019.

ZHANG P W. Study on the Genesis Mechanism of Hydrogen Sulfide in Sinian Cambrian Gas Reservoir in Central Sichuan Region[D].Beijing:China University of Petroleum (Beijing), 2019.

[44]
秦胜飞, 李金珊, 李伟, 等. 川中地区须家河组水溶气形成及脱气成藏有利地质条件分析[J]. 天然气地球科学, 2018, 29(8): 1151-1162.

QIN S F, LI J S, LI W, et al. Analysis on favorable geologic conditions for water-soluble gas formation and degassing in central Sichuan Basin[J]. Natural Gas Geoscience, 2018, 29(8): 1151-1162.

[45]
明盈, 孙豪飞, 汤达祯, 等. 四川盆地上二叠统龙潭组深-超深部煤层气资源开发潜力[J]. 煤田地质与勘探, 2024, 52(2): 102-112.

MING Y, SUN H F, TANG D Z, et al. Potential for the production of deep to ultradeep coalbed methane resources in the Upper Permian Longtan Formation,Sichuan Basin[J].Coal Geo-logy & Exploration, 2024, 52(2): 102-112.

[46]
吴伟, 罗超, 张鉴, 等. 油型气乙烷碳同位素演化规律与成因[J]. 石油学报, 2016, 37(12): 1463-1471.

WU W, LUO C, ZHANG J, et al. Evolution law and genesis of ethane carbon isotope of oil type gas[J]. Acta Petrolei sinica, 2016, 37(12): 1463-1471.

[47]
帅燕华, 刘可禹, 胡国艺, 等. 四川盆地深层前寒武系天然气超晚期成藏及勘探意义[J]. 地质学报, 2021, 95(11): 3400-3412.

SHUAI Y H, LIU K Y, HU G Y, et al. Gas accumulation mechanisms of the sinian reservoir in the Sichuan Basin and their significance for deep gas exploration[J]. Acta Geologica Sinica, 2021, 95(11): 3400-3412.

[48]
郭旭升, 胡东风, 黄仁春, 等. 川东北地区胡家坝震旦系灯影组古油藏特征及其油气勘探意义[J]. 石油与天然气地质, 2020, 41(4): 673-683.

GUO X S, HU D F, HUANG R C, et al. Feature of paleo-oil pools in the Sinian Dengying Formation, northeastern Sichuan Basin, and its significance to exploration[J].Oil & Gas Geology, 2020, 41(4): 673-683.

[49]
魏国齐, 沈平, 杨威, 等. 四川盆地震旦系大气田形成条件与勘探远景区[J]. 石油勘探与开发, 2014, 40(2): 129-138.

WEI G Q, SHEN P, YANG W, et al. Formation conditions and exploration prospects of Sinian large gas fields, Sichuan Basin[J]. Petroleum Exploration and Development, 2013, 40(2): 129-138.

[50]
刘树根, 孙玮, 宋金民, 等. 四川盆地海相油气分布的构造控制理论[J]. 地学前缘, 2015, 22(3): 146-160.

LIU S G, SUN W, SONG J M, et al. Tectonics controlled distribution of marine petroleum accumulations in the Sichuan Basin,China[J].Earth Science Frontiers,2015,22(3):146-160.

[51]
王杰, 刘文汇, 陶成, 等. 天然气藏二元混源比例定量判识探讨及气源岩40Ar年龄模型[J]. 天然气地球科学, 2010, 21(1): 125-131.

WANG J, LIU W H, TAO C, et al. 40Ar dating model of gas source rocks and the quantitative identification of mixture ratios for duality sourced gases in gas reservoirs[J].Natural Gas Geoscience, 2010, 21(1): 125-131.

[52]
高先志. 利用甲烷碳同位素研究混合气的混合体积[J]. 沉积学报, 1997,15(2): 63-65.

GAO X Z. Volume evaluation of the gas mixed with other gases using carbon isotopic compositions[J]. Acta Sedimentologica Sinica, 1997,15(2): 63-65.

[53]
邓剑, 马健飞, 申宝剑, 等. 川东北须家河组天然气成因及混源比例差异[J].天然气地球科学,2025,36(6):1100-1114.

DENG J, MA J F, SHEN B J, et al. The difference of origin and mixed source proportion of natural gas from the Xujiahe Formation in Northeast Sichuan Basin[J]. Natural Gas Geoscience, 2025,36(6):1100-1114.

[54]
高玉巧, 高和群, 何希鹏, 等. 四川盆地东南部页岩气同位素分馏特征及对产能的指示意义[J]. 石油实验地质, 2019, 41(6): 865-870.

GAO Y Q, GAO H Q, HE X P, et al. Methane isotope fractionation characteristics of shale gas and its significance as a productivity indicator[J]. Petroleum Geology & Experiment, 2019, 41(6): 865-870.

[55]
LI S Z, MENG F Y, ZHANG X T, et al. Gas composition and carbon isotopic variation during shale gas desorption: Implication from the Ordovician Wufeng Formation-Silurian Longmaxi Formation in West Hubei,China[J].Journal of Natural Gas Science and Engineering, 2021, 87: 103777.

[56]
孟强, 王晓锋, 王香增, 等. 页岩气解析过程中烷烃碳同位素组成变化及其地质意义——以鄂尔多斯盆地伊陕斜坡东南部长7页岩为例[J]. 天然气地球科学,2015,26(2):333-340.

MENG Q, WANG X F, WANG X Z, et al. Variation of carbon isotopic composition of alkanes during the shale gas desorption process and its geological significance: A case study of Chang 7 shale in the southeast of Yishan slope, Ordos Basin[J]. Natural Gas Geoscience, 2015, 26(2): 333-340.

[57]
李永新, 王红军, 王兆云. 影响烃源岩中分散液态烃滞留数量因素研究[J]. 石油实验地质, 2010, 32(6): 588-591.

LI Y X, WANG H J, WANG Z Y. Simulation of influential factors of dispersive resoluble organic materials resident in source rocks[J].Petroleum Geology & Experiment,2010,32(6):588-591.

[58]
赵文智, 王兆云, 王红军, 等. 再论有机质“接力成气”的内涵与意义[J]. 石油勘探与开发, 2011, 38(2): 129-135.

ZHAO W Z, WANG Z Y, WANG H J, et al. Further discussion on the connotation and significance of the natural gases relaying generation model from organic materials[J]. Petroleum Exploration and Development, 2011, 38(2): 129-135.

[59]
赵文智, 王兆云, 王红军, 等. 不同赋存状态油裂解条件及油裂解型气源灶的正演和反演研究[J]. 中国地质, 2006, 33(5): 59-61.

ZHAO W Z, WANG Z Y, WANG H J, et al. Cracking conditions of oils existing in different modes of occurrence and forward and backward inference of gas source rock kitchen of oil cracking typey[J]. Geology in China, 2006, 33(5): 59-61.

[60]
赵文智, 张斌, 王晓梅, 等. 陆相源内与源外油气成藏的烃源灶差异[J]. 石油勘探与开发, 2021, 48(3): 464-475.

ZHAO W Z, ZHANG Bi, WANG X M, et al, Differences in source kitchens for lacustrine in-source and out-of-source hydrocarbon accumulations[J]. Petroleum Exploration and Development, 2021, 48(3): 464-475.

[61]
田辉, 肖贤明, 李贤庆, 等. 海相干酪根与原油裂解气甲烷生成及碳同位素分馏的差异研究[J]. 地球化学, 2007, 36(1): 71-77.

TIAN H, XIAO X M, LI X Q, et al. Comparison of gas generation and carbon isotope fractionation of methane from marine kerogen-and crude oil-cracking gases[J].Geochimica,2007,36(1):71-77.

[62]
腾格尔, 申宝剑, 俞凌杰, 等. 四川盆地五峰组—龙马溪组页岩气形成与聚集机理[J]. 石油勘探与开发, 2017, 44(1): 69-78.

BORJIGIN T, SHEN B J, YU L J, et al. Mechanisms of shale gas generation and accumulation in the Ordovician Wufeng-Longmaxi Formation, Sichuan Basin, SW China[J]. Petroleum Exploration and Development,2017,44(1):69-78.

[63]
PRINZHOFER A A, HUC A Y. Genetic and post-genetic molecular and isotopic fractionations in natural gases[J].Chemical Geology, 1995, 126(3): 281-290.

[64]
李剑, 马卫, 王义凤, 等. 腐泥型烃源岩生排烃模拟实验与全过程生烃演化模式[J].石油勘探与开发,2018,45(3):445-454.

LI J, MA W, WANG Y F, et al. Modeling of the whole hydrocarbon-generating process of sapropelic source rock[J]. Petroleum Exploration and Development,2018,45(3):445-454.

[65]
赵文智, 王兆云, 王东良, 等. 分散液态烃的成藏地位与意义[J]. 石油勘探与开发, 2015, 42(4): 401-413.

ZHAO W Z, WANG Z Y, WANG D L, et al. Contribution and significance of dispersed liquid hydrocarbons to reservoir formation[J].Petroleum Exploration and Development,2015,42(4):401-413.

[66]
廖芸, 郭艳琴, 陈志鹏, 等. 烷烃碳同位素对页岩含气性的指示意义——以四川盆地及周缘龙马溪组为例[J]. 海相油气地质, 2021, 26(3): 224-230.

LIAO Y, GUO Y Q, CHEN Z P, et al. Indicative significance of alkane carbon isotope to shale gas content:Taking Longmaxi Formation in Sichuan Basin and its surrounding areas as example[J]. Marine Origin Petroleum Geology, 2021, 26(3): 224-230.

[67]
HAO F, ZOU H Y. Cause of shale gas geochemical anomalies and mechanisms for gas enrichment and depletion in high-maturity shales[J].Marine and Petroleum Geology,2013,44:1-12.

[68]
帅燕华, 李剑, 田兴旺, 等. 四川盆地川中—川西震旦系—三叠系天然气成藏分析及勘探意义[J]. 地质学报, 2023, 97(5): 1526-1543.

SHUAI Y H,LI J,TIAN X W,et al.Accumulation mechanis-ms of Sinian to Triassic gas reservoirs in the central and western Sichuan Basin and their significance for oil and gas prospecting[J].Acta Geologica Sinica,2023,97(5):1526-1543.

[69]
ZUMBERGE J E, FERWORN K A, CURTIS J B. Gas character anomalies found in highly productive shale gas wells[J]. Geochimica et Cosmochimica Acta, 2009, 13(73): A1539.

[70]
李剑, 王晓波, 侯连华, 等. 四川盆地页岩气地球化学特征及资源潜力[J]. 天然气地球科学, 2021, 32(8): 1093-1106.

LI J, WANG X B, HOU L H, et al. Geochemical characteristics and resource potential of shale gas in Sichuan Basin[J]. Natural Gas Geoscience, 2021, 32(8): 1093-1106.

[71]
CHEN Z P, CHEN L, WANG G C, et al. Applying isotopic geochemical proxy for gas content prediction of Longmaxi shale in the Sichuan Basin,China[J].Marine and Petroleum Geology, 2020, 116: 104329.

[72]
崔会英, 张莉, 魏国齐, 等. 四川盆地威远—资阳地区震旦系储层沥青特征及意义[J]. 石油实验地质, 2008, 30(5): 489-493.

CUI H Y, ZHANG L, WEI G Q, et al. Characteristics of the Sinian reservoir bitumen in Weiyuan-Ziyang areas of the Sichuan Basin and its significance[J]. Petroleum Geology & Experiment, 2008, 30(5): 489-493.

[73]
代寒松, 刘树根, 孙玮, 等. 龙门山—米仓山地区下组合地表沥青特征研究[J]. 成都理工大学学报(自然科学版), 2009, 36(6): 687-696.

DAI H S, LIU S G, SUN W, et al. Study on characteristics of Sinian-Silurian bitumen outcrops in the Longmenshan-Micangshan area, Southwest China[J]. Journal of Chengdu University of Technology(Science & Technology Edition),2009, 36(6): 687-696.

Outlines

/