0 引言
1 岩石力学参数计算方法
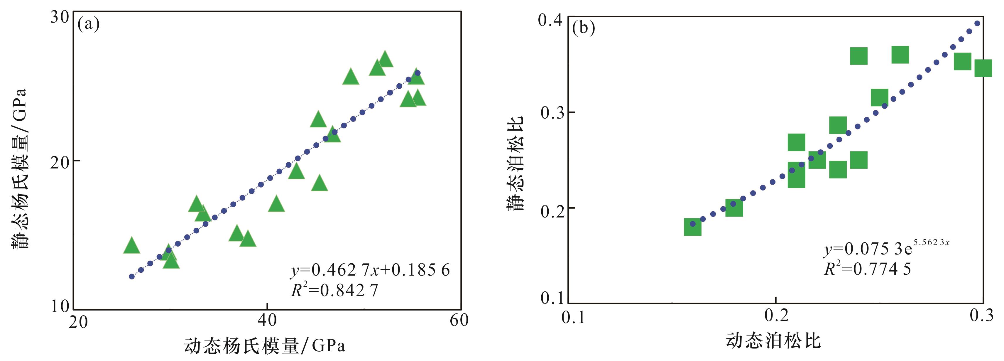
1.1 脆性指数
表1 部分样品的脆性指数Table 1 Brittleness index of some samples |
| 井号 | 深度/m | 岩性 | 实验脆性指数/% | BI 1/% | BI 2/% | BI 3/% | BI 4/% |
|---|---|---|---|---|---|---|---|
| X | 4 592 | 砾质粗粒长石岩屑砂岩 | 65.46 | 64.95 | 75.31 | 70.13 | 72.38 |
| X | 4 594 | 含砾粗粒长石岩屑砂岩 | 56.96 | 60.75 | 66.94 | 63.84 | 64.12 |
| X | 4 596.4 | 含砂粉砂质泥岩 | 38.42 | 34.36 | 36.26 | 35.31 | 32.22 |
| X | 4 597.7 | 层状粉砂质细粒岩屑砂岩 | 43.84 | 48.99 | 45.35 | 47.17 | 43.79 |
| X | 4 600.2 | 中—细粒长石岩屑砂岩 | 69.57 | 55.12 | 75.37 | 65.24 | 77.98 |
| X | 4 602.8 | 中—粗粒长石岩屑砂岩 | 73.60 | 66.56 | 88.75 | 77.65 | 74.86 |
| X | 4 607.4 | 含砾中—粗粒长石岩屑砂岩 | 64.90 | 64.94 | 59.86 | 62.4 | 63.87 |
| X | 4 641 | 细—中粒长石岩屑砂岩 | 64.34 | 47.54 | 61.6 | 54.57 | 55.08 |
| Y | 3 977.1 | 含砾含泥不等粒岩屑砂岩 | 66.38 | 56.22 | 59.17 | 57.69 | 53.35 |
| Y | 3 979.22 | 含泥砾片中—细粒岩屑砂岩 | 64.62 | 43.92 | 74.89 | 59.41 | 56.57 |
| Y | 3 977.04 | 细—中粒长石岩屑砂岩 | 81.87 | 46.19 | 79.75 | 62.97 | 60.77 |
| Y | 3 980.3 | 含砾不等粒长石岩屑砂岩 | 62.63 | 44.7 | 72.1 | 58.40 | 60.18 |
1.2 断裂韧性
表2 断裂韧性计算结果对比Table 2 Comparison of calculation results of fracture toughness |
| 井号 | 深度/m | 测井计算结果 /(MPa·m1/2) | 实验测量 /(MPa·m1/2) |
|---|---|---|---|
| Y | 4 060.0 | 1.19 | 1.12 |
| Z | 4 094.1 | 1.23 | 1.42 |
| Z | 4 249.5 | 1.31 | 1.29 |
| Z | 4 265.7 | 1.42 | 2.01 |
1.3 最大最小水平主应力差
1.3.1 刚性系数计算
1.3.2 孔隙压力计算
1.3.3 最大最小主应力差计算
2 可压指数构建方法
2.1 基本思路
表3 判断矩阵Table 3 Judgment matrix |
| 标度 | 含义 |
|---|---|
| 1 | 表示两影响因素相比,重要性相同 |
| 3 | 表示两影响因素相比,一个比另一个稍微重要 |
| 5 | 表示两影响因素相比,一个比另一个重要 |
| 7 | 表示两影响因素相比,一个比另一个明显重要 |
| 9 | 表示两影响因素相比,一个比另一个极其重要 |
| 2,4,6,8 | 上述两相邻判断中间值 |
2.2 可压指数计算
表4 可压裂性评价因素比较矩阵Table 4 Comparison matrix of factors evaluating fracability |
| 脆性指数 | 断裂韧性 | 水平主应力差 | |
|---|---|---|---|
| 脆性指数 | 1 | 2 | 4 |
| 断裂韧性 | 1/2 | 1 | 2 |
| 水平主应力差 | 1/4 | 1/2 | 1 |

甘公网安备 62010202000678号