0 引言
1 基于有限—离散单元法的拉链式压裂理论模型
1.1 有限—离散单元方法基本思想
1.2 裂缝扩展模型
1.2.1 井筒流动模型
1.2.2 裂缝内流动模型
1.2.3 节理单元断裂模型
1.3 流—固耦合模型
1.3.1 流体与岩石基质变形关系
1.3.2 地层应力平衡方程
1.3.3 接触力计算方程
1.3.4 三角单元应力计算
2 模型验证
2.1 矿场实例验证
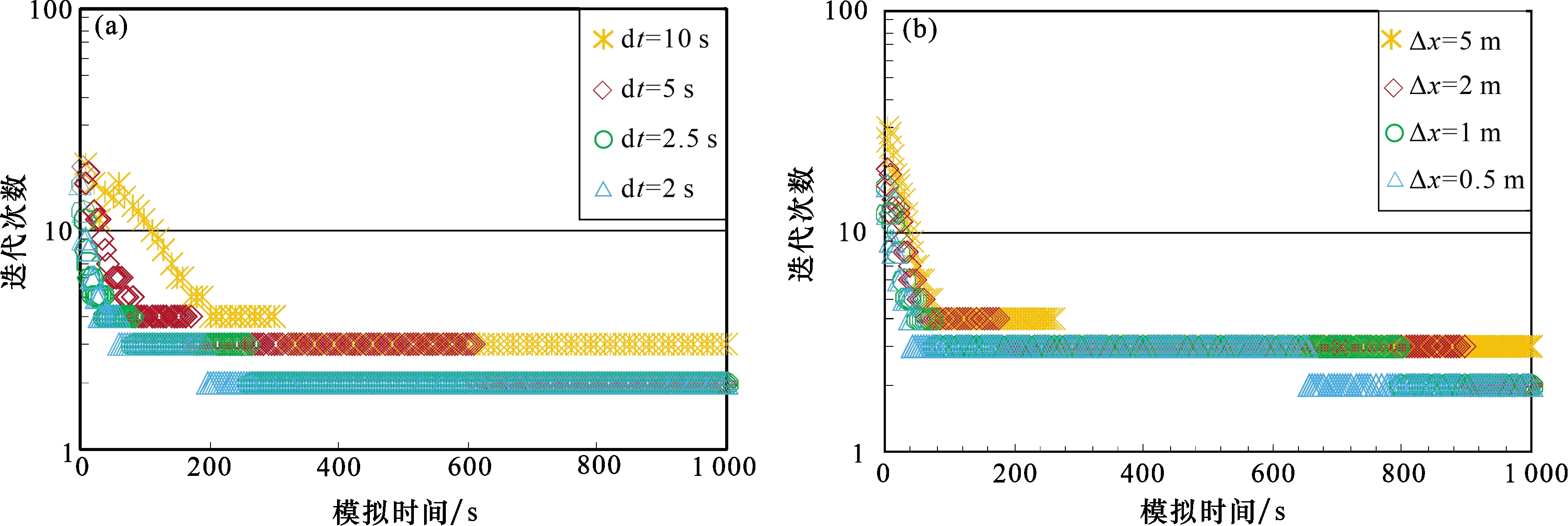
2.2 精度验证
3 数值模拟结果分析
3.1 物理模型构建
图7 双水平井拉链式压裂物理模型及离散剖分网格Fig.7 Physical model of zipper fracturing of double-horizontal wells and discrete grid |
表1 主要模拟输入参数Table 1 Main simulation input parameters |
| 参数名称 | 数值 | 参数名称 | 数值 |
|---|---|---|---|
| 孔隙度/% | 4 | 基质—内聚力/MPa | 20 |
| 垂向主应力/MPa | 94 | 基质内摩擦角/(°) | 30 |
| 水平最小主应力/MPa | 88 | 基质抗张强度/MPa | 15 |
| 两向主应力差/MPa | 10 | 小断层内聚力/MPa | 0 |
| 地层压力(系数) | 1.8 | 小断层抗张强度/MPa | 0 |
| 弹性模量/GPa | 39 | 小断层内摩擦角/(°) | 30 |
| 泊松比 | 0.24 | 1小断层开度/m | 0.001 |
| 压裂液黏度/(mPa·s) | 4 | 1井、2井压裂时间/h | 1 |
| 单簇注入排量/(m3/min) | 3 | 停泵时间/h | 1 |
3.2 小断层逼近角的影响
3.3 小断层距离井筒距离的影响
图10 小断层与井筒不同距离(d d)下2井压裂结束时的压裂裂缝扩展轨迹Fig.10 Fracture propagation trajectories at the end of hydraulic fracturing in Well 2 under different distances between minor faults and wellbore |
3.4 带状小断层的影响
图12 不同小断层层数下2井压裂结束时的压裂裂缝扩展轨迹of minor fault layers Fig.12 Fracture propagation trajectories at the end of hydraulic fracturing in Well 2 under different number |
3.5 两井孔眼错位距离的影响
图14 不同孔眼错位距离(错位距离d s)下2井压裂结束时刻的裂缝轨迹分布Fig.14 Fracture propagation trajectories at the end of hydraulic fracturing in Well 2 under different hole dislocation distances (dislocation distance d s) |

甘公网安备 62010202000678号