0 引言
1 实验样品及实验方案
1.1 实验样品
表1 岩心基本参数Table 1 Basic parameters of core |
| 样品 编号 | 原始 | 破坏后 | ||||||
|---|---|---|---|---|---|---|---|---|
| 长度/(10-3 m) | 直径/(10-3 m) | 孔隙度/% | 渗透率/(10-3 µm2) | 长度/(10-3 m) | 直径/(10-3 m) | 孔隙度/% | 渗透率/(10-3 µm2) | |
| P-1 | 50.01 | 25.01 | 3.00 | 0.004 1 | 49.99 | 25.02 | 18.46 | 68.00 |
| P-2 | 50.03 | 25.03 | 2.25 | 0.002 8 | 50.05 | 25.00 | 19.33 | 72.02 |
| S-1 | 50.00 | 24.98 | 2.99 | 0.004 6 | 50.01 | 25.00 | 15.23 | 50.86 |
| S-2 | 50.01 | 25.00 | 1.05 | 0.001 1 | 50.00 | 25.04 | 14.44 | 45.21 |
1.2 室内实验
1.3 数值模拟
2 结果与讨论
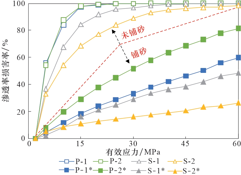
2.1 破坏模式的影响
图6 加载过程中不同破坏模式岩样渗透率损害率Fig.6 Permeability damage rate of rock samples with different failure modes during loading process |
表3 加载过程中不同破坏模式下渗透率损害评价Table 3 Evaluation of permeability damage under different failure modes during loading process |
| 样品编号 | 初始渗透率 /(10-3 µm2) | 残余渗透率 /(10-3 µm2) | 卸载后渗透率 /(10-3 µm2) | 最大渗透率 损害率/% | 不可逆渗透率 损害率/% |
|---|---|---|---|---|---|
| P-1 | 68.00 | 1.20×10-4 | 10.75 | 99.99 | 84.19 |
| P-2 | 72.02 | 3.35×10-4 | 8.56 | 99.99 | 88.11 |
| S-1 | 50.86 | 7.62×10-1 | 20.63 | 98.50 | 59.44 |
| S-2 | 45.21 | 2.60×10-1 | 15.85 | 99.42 | 64.94 |
| P-1* | 201.63 | 81.02 | 127.55 | 59.82 | 36.74 |
| P-2* | 380.30 | 70.26 | 248.08 | 81.53 | 34.77 |
| S-1* | 304.29 | 156.56 | 238.67 | 48.55 | 21.56 |
| S-2* | 314.85 | 231.57 | 272.79 | 26.45 | 13.36 |
|

甘公网安备 62010202000678号