The logging evaluation of organic carbon content based on ΔLogR-GR method: Case study of the first member of Maokou Formation in the southeastern Sichuan Basin

  • Chunrun ZHOU , 1 ,
  • Liang WANG , 1 ,
  • Shute SU 1 ,
  • Kunlin XUE 2 ,
  • Qiong WANG 3
Expand
  • 1. College of Energy,Chengdu University of Technology,Chengdu 610059,China
  • 2. Geological Research Institute of Baikouquan Production Plant,PetroChina Xinjian Oilfield Company,Karamay 834000,China
  • 3. College of Electrical Engineering and Information,Southwest Petroleum University,Chengdu 610500,China

Received date: 2023-04-23

  Revised date: 2023-08-21

  Online published: 2024-03-07

Supported by

The National Natural Science Foundation of China(U2003102)

the China National Science and Technology Major Projects(2016ZX05052)

Abstract

Total organic carbon content(TOC) is a key parameter in the evaluation of hydrocarbon source rocks. Accurate calculation of TOC using logging data plays an important role in the comprehensive evaluation of hydrocarbon source rocks. Currently, the traditional natural gamma method and ΔLogR method for evaluating the TOC of the first member of the Maokou Formation in the southeastern Sichuan Basin are both inadequate. Therefore, on the basis of the logging response characterization of the first member of the Maokou Formation, the TOC calculation results of ΔLogR method and gamma ray method are combined to construct the parameter T reflecting the carbonate mineral content (Car). Further, the T values are classified, the TOC calculation results of the natural gamma Ray method and the ΔLogR method are optimized, and a new ΔLogR-GR method is established, which can effectively solve the shortcomings of the traditional TOC calculation methods. The application example confirms that the ΔLogR-GR method is more accurate than the traditional natural gamma and ΔLogR methods, and is more consistent with the TOC measurement results of geochemical elemental logging (ECS), with the absolute value of error lower than 0.3, which is highly applicable and reliable.

Cite this article

Chunrun ZHOU , Liang WANG , Shute SU , Kunlin XUE , Qiong WANG . The logging evaluation of organic carbon content based on ΔLogR-GR method: Case study of the first member of Maokou Formation in the southeastern Sichuan Basin[J]. Natural Gas Geoscience, 2024 , 35(3) : 542 -552 . DOI: 10.11764/j.issn.1672-1926.2023.08.007

0 引言

近年来,四川盆地东南部福石1井、隆盛1井、焦石1井等均在茅口组一段测试获工业气流,证实茅口组一段天然气勘探潜力巨大1-2。相较于茅口组其他层段碳酸盐岩地层,茅口组一段含高丰度的有机质,为一套优质烃源岩。总有机碳含量(TOC)是评价烃源岩的关键参数,利用测井资料精确评价 TOC,将对烃源岩地层综合评价,推动茅口组一段油气资源的高效勘探开发起到重要作用。
目前,利用测井资料计算TOC的方法主要包括:常规测井经验模型法、数学统计法以及非常规测井法等(表1)。常规测井经验模型主要基于有机质与其他不同组分测井响应特征差异,构建TOC计算模型:①SUPERNAW等3认为页岩中铀含量和铀/钾值受有机质的影响,提出利用自然伽马射线能谱测井计算TOC的经验模型,但该模型对于富含磷酸盐的地层并不适用。②SCHMOKER4基于阿巴拉契亚盆地富有机质烃源岩和非烃源岩层段自然伽马测井曲线(GR)特征的差异,提出通过GR计算TOC的方法,但该方法不适用于发育泥质条带及眼球眼皮构造的地层。③PASSEY等5通过叠合声波时差(AC)和电阻率测井曲线识别含有机质烃源岩,并提出计算TOC的ΔLogR法。然而,碳酸盐矿物与有机质电阻率均较高,通过电阻率测井易将含碳酸盐矿物较高的地层误识别为烃源岩,导致TOC计算结果有误。④ZHAO6利用密度测井(DEN)和中子测井(CNL)曲线间的差异,构建反映黏土矿物含量的指标(I CL)。进一步,根据I CL与GR曲线叠合时的分离度,识别烃源岩层段并计算TOC。该方法在高含碳酸盐矿物层段适用性差。⑤FERTL等7采用多元统计构建以GR、CNL、DEN和AC的TOC计算模型,但该方法具有区域局限性。茅口组一段地层碳酸盐矿物含量高,并且发育薄层泥质条带与眼球眼皮构造,因此上述常规测井经验模型均难以用于准确计算TOC
表1 常见TOC计算方法及其优缺点[3-11]

Table 1 TOC calculation methods and their advantages & disadvantages[3-11]

测井评价方法 作者 方法优势 方法缺陷
常规测井经验模型法 SUPERNAW等3 常规测井经验模型法相对简单,可操作性强 区域局限性强,对发育高碳酸盐岩矿物含量和薄层泥质条带的地层难以适用
SCHMOKER4
PASSEY等5
ZHAO等6
FERTL等7
数学统计法 ZHU等8 对大量数据样本进行分析,可大批量快速的评价烃源岩和计算TOC 需要大量样本数据,样本较少时容易出现错误及过拟合现象
何沂等9
非常规测井法 JACOBI等10 NMR和ECS计算TOC精度高 NMR和ECS成本高,难以广泛使用
王清辉等11
数学统计法通过对大量数据样本进行分析,可大批量快速计算烃源岩TOC:①ZHU等8利用集成极限学习器预测TOC;②何沂等9利用主成分分析法提取原始测井资料的主要成分作为支持向量机(SVM)的输入参数,对模型进行训练来提高预测精度。数学统计法计算TOC优势显著,但该方法需要大量数据样本支持,样本较少时效果不佳。
非常规测井法主要通过核磁共振测井(NMR)以及地球化学元素测井(ECS)等特殊测井计算TOC:①JACOBI等10提出一种基于骨架密度和无机骨架密度计算TOC的方法。该方法通过计算ECS测井测量得到的无机骨架密度与核磁共振测井计算得到的骨架密度差异,经岩心校准后,计算得到地层TOC。②王清辉等11在珠江口盆地文昌组地层,通过建立核磁共振孔隙度与密度孔隙度差异模型和多矿物反演模型计算TOC。然而,相较于常规测井,NMR和ECS成本高,因此利用非常规测井法定量计算TOC难以广泛应用。
上述TOC测井评价方法各自均有优缺点,但在茅口组一段的TOC计算时均存在一定局限性。研究基于茅口组一段烃源岩特点,在分析传统ΔLogR法与自然伽马法的不足基础上,建立了一种计算TOC的新方法(ΔLogR—GR法),有效解决传统方法难以准确计算茅口组一段TOC的问题。

1 地质概况

研究区位于四川盆地东南部的涪陵地区,西邻华蓥山断裂,东邻鄂渝湘黔褶皱带,北为大巴山冲断带,主体位于川南帚状褶皱带南部中低缓构造带和川东弧形高陡构造带(图112。地势整体呈现北低南高的趋势,大部分地区发育喀斯特地貌,地质情况相对复杂,地形主要为山地、丘陵13
图1 川东南地区中二叠统茅一段区域构造图

Fig.1 Regional tectonic of the Mao-1 Member of the Middle Permian in the Southeast Sichuan area

四川盆地二叠系茅口组为一套海相碳酸盐岩沉积地层,主要为水体较深的开阔台地相,厚度介于150~400 m之间,平均为237 m13。茅口组自下而上分为4段。茅一段为外缓坡相,沉积厚度在150~180 m之间;茅二段至茅四段水体逐渐加深,由外缓坡相逐渐过渡为内缓坡相14-15。茅三段与茅四段上部地层受东吴运动构造抬升而被剥蚀,在盆地内部普遍缺失16。川东南涪陵地区茅一段富含有机质烃源岩,多为泥晶生屑灰岩,生物类型丰富17-18。茅一段发育眼球眼皮状构造,眼皮部分以泥质为主,眼球部分以纯灰质为主。有机质类型以Ⅰ—Ⅱ1型为主,多为腐泥型—偏腐泥混合型。热演化程度适中,镜质体反射率(R O)介于1.71%~2.18%之间,平均值为1.94%1319-20
取心结果显示,茅一段岩性由顶到底依次为:泥晶灰岩、瘤状泥晶灰岩、泥晶灰岩、灰泥灰岩、瘤状泥晶灰岩、灰泥灰岩以及瘤状泥晶灰岩(图2)。顶部x240~x270 m和中部x310~x320 m井段均为泥晶灰岩,除自然伽马测井响应差别较大外,其他测井特征响应基本一致。x240~x270 m井段GR值变化较大,均值为67 API;而x310~x320 m井段GR值相对稳定,均值为45 API。两段不同的自然伽马测井响应特征,导致常规测井经验模型难以准确计算茅口组一段顶部TOC
图2 A井茅口组一段岩性及测井响应特征

Fig.2 Lithology and logging response characteristics of Mao-1 Member in Well A

2 实验方法

2.1  TOC测试

选取A井茅一段x286.15~x369.25井段的50个岩心样品开展TOC测试实验。TOC测试实验主要流程如下:首先将样品研磨200目以下,加酸去除碳酸盐等无机碳成分;其次在50 ℃的条件下烘干24 h后称重;随后对经预处理的样品粉末进行总有机碳含量分析。检测分析仪器为美国LECO公司CS-230碳硫测定仪。该仪器在装置中供给足够的氧气,维持温度在704.4 ℃,燃烧至少140 mg的粉末岩样。样品TOC实验测试数据如图3(a)所示。
图3 A井茅一段有机质及矿物组分实验测试结果

(a) TOC数据测试结果;(b) X射线衍射全岩矿物分析结果

Fig.3 Overview of experimental data of organic matter and mineral component analysis of Mao-1 Member of Well A

A井茅一段实测样品TOC均值为0.73%,主要分布在x280~x310 m的瘤状泥晶灰岩层段以及x320~ x340 m的灰泥灰岩层段[图3(a)]。x310~x320 m井段泥晶灰岩岩心样品较少,TOC均值仅为0.4%,结合岩心录井结果,判断为非烃源岩层。

2.2 X射线衍射全岩分析测试

选取A井茅一段41块岩心开展X射线衍射全岩矿物组分分析。实验测试仪器为Rigaku公司生产的D/Max-3B型X射线衍射仪。图3(b)为样品X射线衍射全岩分析测试结果。图3(b)显示,茅一段地层岩石矿物组分较为复杂,包括方解石、白云石、石英、钾长石、斜长石、滑石、黏土矿物及黄铁矿等矿物。依据矿物组分含量高于5%的原则,将地层中岩石物理性质相近的矿物组分合并,最终确定5种主要岩石组分:方解石、白云石、石英与长石、滑石及黏土矿物。进一步,统计所有样品碳酸盐岩矿物(Car)含量,即方解石与白云石之和。 A井顶部x285.95~x317.57m层段Car含量较高,均值为86.0%。底部泥质含量增加,Car含量占比减少,均值为57.0%。

3 TOC测井评价方法

相比于其他地层主要由黏土矿物、非黏土矿物骨架、孔隙流体组成外,烃源岩组分还包含有机质21。有机质测井响应特征表现为:高电阻率、高自然伽马(高铀)、低补偿密度、高声波时差及高补偿中子等22。基于烃源岩独特的测井响应特征,利用测井曲线可以有效评价地层的TOC

3.1 传统TOC计算方法

3.1.1 自然伽马法

相似沉积环境中,烃源岩地层有机碳含量随泥质含量增加而增加423。A井茅一段沉积环境稳定,有机质成熟度和类型稳定。因此,可采用传统自然伽马法计算TOC,具体公式如下:
TOC GR =A×GR+B
式(1)中:TOC GR为自然伽马测井计算的有机碳含量,%;GR为自然伽马测井值,API。
基于TOC拟合公式[图4(a)]得到式(1)中的AB系数分别为0.033 5、-0.951。进一步,利用该公式计算得到A井的TOC图5):A井茅一段顶部x240~x270 m岩性以泥晶灰岩为主,含薄层状泥灰岩(图2),有机质含量低。电阻率均值为9 915 Ω·m,中子测井值约为0%,补偿密度约为2.71 g/cm3。上述测井响应特征显示该段岩性以纯灰岩为主。受自然伽马测井曲线低分辨率限制,发育少量薄层泥灰岩层段的自然伽马测井表现为高值,导致计算的TOC偏高。x240~x270 m井段计算的TOC最大值为1.7%,均值为0.99%;TOC计算结果与该段岩性较纯,有机质含量低的特征相矛盾。x310~x320 m井段,电阻率平均为10 800 Ω·m,计算的TOC均值为0.55%,与岩心TOC测量结果相吻合。上述分析表明,茅一段顶部部分深度段TOC计算结果偏高,自然伽马法在该层段并不适用。
图4 A井茅一段TOC与GR、ΔLogR交会图

(a)TOC与GR交会图;(b)TOC与ΔLogR交会图

Fig.4 Cross-plots of TOC to GR and ΔLogR in Mao-1 Member of Well A

图5 A井茅一段各种方法TOC计算结果对比

Fig.5 Comparison of TOC calculation results of various methods in Mao-1 of Well A

3.1.2 ΔLogR

PASSEY等5提出基于测井曲线与有机质成熟度参数(LOM)计算TOC的ΔLogR法。该方法通过岩心数据取样校正,用以计算未取心井段TOCTOC的计算经验公式为:
ΔLogR=Lg(R/R baseline)+0.02×(Δtt baseline)
式(2)中:R为地层电阻率测井数值,Ω·m;R baseline为2条曲线叠合,确定的电阻率测井基线值,Ω·m;Δt为实际地层声波时差测井值,μs/m;Δt baseline为2条曲线叠合,确定的声波时差测井基线值,μs/m。
TOC与ΔLogR存在线性关系,通过确定成熟度参数(LOM),可以建立ΔLogRTOC的关系式。PASSEY等5确定不同成熟度下,ΔLogRTOC的关系:
TOC LOGR =(ΔLogR)×10(2.297- 0.168 8× LOM )
式(3)中:TOC LOGR为测井计算有机质含量,%。实际应用中,多将LOM转化为R O。研究区A井茅一段沉积环境稳定,R O值变化不大,约为1.97%24。因此,式(3)可简化为:
TOC LOGR =C×ΔLogR+D
式(4)中:TOC LOGR为ΔLogR法计算得到的TOCD为地层TOC的基准值,%。
ΔLogR法与TOC交会图中交会点较为分散[图4(b)],决定系数(R 2)平方为0.6:
TOC =-2.54×ΔLog R+1.40 R2=0.60
基于TOC回归公式(5)计算得到A井的TOC图5 中第5道的TOC计算结果显示:采用ΔLogR法计算TOC时,x240~x270 m井段纯灰岩为主的高电阻率段被误认为烃源岩,TOC计算结果偏高,均值为2.03%,与实际不符。ΔLogR法在该段不适用。

3.2 ΔLogR—GR新方法

上述2种传统方法在茅口组一段顶部的TOC计算中均存在局限性。具体原因为:自然伽马法受部分薄层状泥灰岩发育导致的高GR影响,ΔLogR法受高碳酸盐矿物组分引起的高电阻率影响。A井x310~x320 m与x240~x270 m井段取心结果显示均为泥晶灰岩(图2),电阻率相近,分别为9 915 Ω·m和10 824 Ω·m。2个层段ΔLogR法计算的TOC值相近且值均较高(图5第5道);x310~ x320 m井段采用自然伽马法计算的TOC与岩心实测TOC结果吻合;叠合ΔLogR法与自然伽马法的TOC计算结果。基于2种方法TOC计算结果差异,建立拟合关系,优化茅一段顶部TOC计算结果。

3.2.1 碳酸盐矿物参数(T)

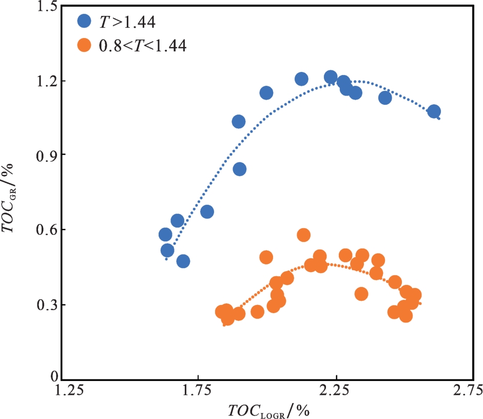
川东南茅一段岩石组分主要为碳酸盐矿物(Car)、泥质和有机质,以及少量的砂质(石英、长石为主)和滑石25表2为各组分测井响应特征,碳酸盐矿物表现为高GR、高电阻率特征26-27。由于碳酸盐矿物组分与其他4种组分的测井响应存在差异,导致ΔLogR法和自然伽马法计算的TOC在碳酸盐矿物组分含量不同的层段呈现不同趋势。图5第7道显示ΔLogR法和自然伽马法计算的TOC两者在高碳酸盐矿物组分发育的层段(x310~x320井段)存在明显差异,定义其差异值为T
T=TOC LOGR-TOC GR
表2 茅一段主要岩石组分测井响应特征

Table 2 Logging response characterization of major rock components in the Mao-1 Member

岩石组分名称 测井响应特征 T
自然伽马/API 电阻率/(Ω·m)
碳酸盐矿物 低(基线值30) 极高(接近30 000) 高值
泥质 高(>90) 极低(<200) 负值
砂质 低(基线值30) 低(<500) 接近0值
滑石 低(基线值30) 低(大约1 000) 接近0值
有机质 高(>90) 高(大于5 000) 接近0值或负值
碳酸盐矿物组分发育处电阻率高、自然伽马低,T值呈明显高值;泥质的自然伽马高、电阻率低,T值为负值;高自然伽马、高电阻率的有机质组分T值接近0值;砂质和滑石组分电阻率均高于泥岩基线值,但由于自然伽马测井值与电阻率测井值的数量级差异,T值仍然接近0值(表2)。碳酸盐矿物含量较少层段(x308~x310 m),T值接近0或为负值;碳酸盐矿物组分较高层段(x310~x320 m),T值明显增加。为验证T值反映碳酸盐矿物组分的可靠性,基于X射线衍射实验分析确定岩石样品碳酸盐矿物含量与T拟合分析:
Car = 67.028e0.14 T R2=0.74
式(7)中:Car为X射线衍射实验分析确定的碳酸盐矿物组分含量,%;T式(6)所得的碳酸盐矿物组分指标,%。
图5第9道显示,地层中实测碳酸盐矿物组分含量与计算结果吻合,证实T值可作为反映碳酸盐矿物组分含量的指标。

3.3.2 ΔLogR—GR法计算TOC

由于茅口组一段顶部x240~x270 m部分深度段GR值异常高,采用传统自然伽马法难以获得准确的TOC。x310~x320井段电阻率与x240~x270 m井段层段相近,使用自然伽马法计算得到的TOC与岩心样品数据吻合度较好。然而,由于该层段极高的电阻率值,ΔLogR法计算的TOC异常高,与实测TOC不同(图5)。
岩心观察结果表明,x240~x270 m与x310~ x320 m井段岩性均以泥晶灰岩为主,含薄层状泥灰岩(图2)。在碳酸盐矿物组分含量较高的x310~ x320 m层段,其电阻率值过高,导致TOC LOGR偏高。因此,叠合TOC GRTOC LOGR曲线呈现较大差异,表现为高T值;由有机质引起的高电阻率、高自然伽马层段和泥岩导致的低电阻率、高自然伽马层段T值整体呈现低值或负值;在GR值偏高、电阻率值较大的层段,由于电阻率值与GR值不同的数量级差异,T值结果仍呈现高值。因此,基于茅一段顶部极高的电阻率,用T值对其进行分类(表3),优化自然伽马法计算得到的TOC,进而计算x240~x270 m层段TOC图6为x310~x320 m井段T值分类下的TOC拟合结果:
表3 T值岩性分类

Table 3 T lithology classification table

岩性 泥岩、含灰泥岩 含泥灰岩、含灰泥岩 含泥灰岩、灰岩
T值范围 T<0.8 0.8<T<1.4 T>1.44
图6 TOC拟合关系(T值矫正)

Fig.6 TOC fitting relationship diagram (T correction)

T>1.44时,TOC计算公式为:
TOC=-1.242 8 TOC LOGR 2+5.931 6TOC LOGR-5.906 7
R²=0.80
当0.8<T<1.44时,TOC计算公式为:
TOC=-1.697 5TOC LOGR 2+7.53TOC LOGR-7.887 4
R² = 0.60
T<0.8时,TOC计算公式为:
TOC=TOC GR
式(8)式(10)中:TOC GR为自然伽马法计算得到的TOC,%;TOC LOGR为ΔLogR法计算所得TOC,%。
图7中,第5、6、7道分别为ΔLogR法、自然伽马法和ΔLogR—GR法计算所得TOC;第8道为校正后的TOC(红色)、自然伽马法计算的TOC(蓝色)以及岩心测量TOC的对比;第9道为ECS测算TOC与ΔLogR—GR法计算TOC对比。茅口组一段顶部x241.50~x261.98 m井段,传统方法计算TOC得到明显校正,校正后均值为0.43%,其他井段采用该方法校正不明显。新方法计算的TOC与岩心分析结果吻合度高,90%以上样本绝对误差小于0.3。新方法计算结果与ECS测量的TOC吻合度高,验证了该校正方法的可靠性[图8(a)]。
图7 A井TOC计算成果图(ΔLogR—GR法)

Fig.7 The TOC estimation results of Well A (ΔLogR-GR)

图8 TOC误差分析

(a) A井自然伽马法、ΔLogR—GR法与ECS实测TOC对比结果;(b)B井ECS实测TOC与计算 TOC 对比

Fig.8 TOC error analysis

4 应用实例

利用传统ΔLogR法和自然伽马法计算B井茅口组一段(x837.90~x975.00 m)TOC图9)。TOC计算结果显示:川东南茅一段顶部x337.90~x860.50 m TOC较低,均值为0.42%。该方法与ECS测井得到的TOC结果一致,且与岩心TOC实验分析结果吻合。采用ΔLogR—GR法对岩性再分类后,TOC计算结果绝对误差主要在0~0.3之间,占所有样品中的95%,与ECS测算TOC对比结果分布在对角线左右[图8(b)],验证了该方法的可靠性和适用性。
图9 B井TOC计算成果

Fig.9 The TOC estimation results of Well B

5 结论

(1)川东南地区茅口组一段顶部发育瘤状泥晶灰岩,含薄层泥灰岩薄互层。受自然伽马测井分辨率限制,部分深度点自然伽马高值。电阻率曲线受高含碳酸盐矿物的影响,电阻率值较高;自然伽马法受部分薄层状泥灰岩发育导致的高GR影响,ΔLogR法受高碳酸盐矿物组分引起的高电阻率影响,传统自然伽马法与ΔLogR法在川东南茅口组一段顶部层段适用性较差。
(2)叠合自然伽马法与ΔLogR法的TOC计算结果,构建反映碳酸盐矿物含量(Car)的参数T。 根据碳酸盐矿物含量的差异,对T值分类,优化自然伽马法及ΔLogRTOC计算结果,建立ΔLogR—GR新方法。
(3) 川东南茅口组一段ΔLogR—GR新方法相比传统自然伽马法和ΔLogR法的TOC计算结果精度更高,与岩心实测和ECS的TOC结果较为吻合,误差绝对值小于0.3。ΔLogR—GR法有效解决了高含碳酸盐矿物地层传统自然伽马及ΔLogR法适应性差的问题,对川东南地区天然气勘探和烃源岩评价具有一定的指导意义。
1
李丹龙,伏美燕,邓虎成,等.上扬子地区下寒武统牛蹄塘组富有机质页岩岩相及沉积环境分析——以贵州温水村剖面为例[J].天然气地球科学,2023,34(3):445-459.

LI D L,FU M Y,DENG H C,et al.Analysis of lithofacies and sedimentary environment of shale deposited in shelf facies: A case study of the Wenshuicun section in Guizhou Province, Sou-th China[J].Natural Gas Geoscience,2023,34(3):445-459.

2
陈超,屈大鹏,王明飞,等.川东南焦石坝地区海相泥页岩含气量预测方法探讨[J].石油物探,2016,55(4):597-605.

CHEN C, QU D P, WANG M F, et al. Prediction method of gas content in marine mud shale at JSB area in Southeast Sichuan Basin[J]. Geophysical Prospecting for Petroleum,2016,55(4): 597-605.

3
SUPERNAW I R, MCCOY A D, LIND A J. Method for in Situ Evaluation of the Source Rock Potential of Earth Formations: USA, US4071755A[P]. 1978-01-31.

4
SCHMOKER J W. Determination of organic content of Appalachian Devonian shale from formation-density logs[J].AAPG Bulletin, 1979, 63(9): 1504-1509.

5
PASSEY Q R, CREANEY S, KULLA J B. A practical model for organic richness from porosity and resistivity logs[J]. AAPG Bulletin,1990,74(12):1777-1794.

6
ZHAO P Q, MAO Z,HUANG Z,et al. A new method for estimating total organic carbon content from well logs[J]. AAPG Bulletin,2016,100(8):1311-1327.

7
FERTL W H, CHILINGAR G V. Total organic carbon content determined from well logs[J]. SPE Formation Evaluation,1988,3(2):407-419.

8
ZHU L, ZHANG C, ZHANG Z, et al. An improved method for evaluating the TOC content of a shale formation using the dual-difference ΔLogR method[J]. Marine and Petroleum Geology,2019,102:800-816.

9
何沂,甘宇,逯宇佳,等. 基于支持向量回归的页岩TOC预测[J]. 油气地球物理, 2018, 16(3): 18-21.

HE Y, GAN Y, LU Y J, et al. Prediction of shale TOC content based on support vector regression[J]. Oil and Gas Geophysics, 2018, 16(3): 18-21.

10
JACOBI D, GLADKIKH M, LECOMPTE B, et al. Integrated petrophysical evaluation of shale gas reservoirs: Canadian International Petroleum Conference[C]// SPE Gas Technology Symposium Joint Conference, Canada, 2008:16-19.

11
王清辉,冯进.烃源岩TOC测井评价方法及应用——以珠江口盆地文昌组为例[J].天然气地球科学,2018,29(2):251-258.

WANG Q H, FENG J. The TOC logging evaluation methods and application of source rock: A case study of Wenchang Formation in Pearl River Mouth Basin[J]. Natural Cas Geoscience, 2018, 29(2):251-258.

12
韩月卿,李双建,韩文彪,等.川东南地区中二叠统茅口组灰泥灰岩储层孔隙特征[J].石油实验地质,2022,44(4):666-676.

HAN Y Q, LI S J, HAN W B, et al. Pore characteristics of marl reservoir in Maokou Formation of Middle Permian, southeastern Sichuan Basin[J].Petroleum Geology and Experiment, 2022, 44(4): 666-676.

13
杨永航,司马立强,王亮,等.川东南茅一段碳酸盐岩储层测井有效性评价[J].科学技术与工程,2023,23(3):998-1007.

YANG Y H, SIMA L Q, WANG L, et al. Effectiveness evaluation of carbonate reservoir by well Logs in Mao-first member in South East Sichuan Basin[J]. Science Technology and Engineering, 2023, 23(3):998-1007.

14
李进. 川东南地区茅口组一段碳酸盐岩储层测井评价方法研究[D]. 成都:西南石油大学, 2019:9-16.

LI J. Study on the Evaluation Method of Carbonate Reservoir Logging in First Member of Maokou Formation in Southeast Sichuan Basin[D]. Chengdu: Southwest Petroleum University, 2019:9-16.

15
赵文智,沈安江,郑剑锋,等.塔里木、四川及鄂尔多斯盆地白云岩储层孔隙成因探讨及对储层预测的指导意义[J].中国科学:地球科学,2014,44(9):1925-1939.

ZHAO W Z, SHEN A J, ZHENG J F, et al. Discussion on pore genesis of dolomite reservoirs in Tarim Sichuan and Ordos basins and its guiding significance for reservoir prediction[J]. Science China (Earth Sciences),2014,44(9):1925-1939.

16
胡明毅, 胡忠贵, 魏国齐,等. 四川盆地茅口组层序岩相古地理特征及储集层预测[J]. 石油勘探与开发, 2012, 39(1): 45-55.

HU M Y, HU Z G, WEI G Q, et al. Sequence lithofacies paleogeography and reservoir prediction of the Maokou Formation in Sichuan Basin[J]. Petroleum Exploration and Development, 2012, 39(1): 45-55.

17
谢云欣. 四川盆地雷口坡组油气聚集带特征及分布评价[D]. 成都:成都理工大学, 2018:14-20.

XIE Y X. Oil and Gas Accumulation Zones Characteristics and Distribution Evaluation of Leikoupo Formation,Sichuan Basin[D].Chengdu:Chengdu University of Technology,2018:14-20.

18
胡东风, 王良军, 张汉荣,等. 碳酸盐岩烃源岩气藏的发现及其油气地质意义——以四川盆地涪陵地区中二叠统茅口组一段气藏为例[J]. 天然气工业, 2020, 40(7): 23-33.

HU D F, WANG L J, ZHANG H R, et al. The discovery of carbonate source rock gas reservoirs and their oil and gas geological significance: Taking the gas reservoirs of the first member of the Maokou Formation of the Middle Permian in Fuling area, Sichuan Basin as an example[J]. Natural Gas Industry, 2020, 40(7): 23-33.

19
薛武强, 刘喜停, 颜佳新,等. 重庆南川地区中二叠统茅口组眼球状灰岩成因[J]. 地质科学, 2015,50(3):1001-1013.

XUE W Q, LIU X T, YAN J X, et al. The origin of eyeball shaped limestone from Maokou Formation (Mid-Permian) in Nanchuan region,Chongqing,Southwest China[J].Chinese Jou-rnal of Geology,2015,50(3):1001-1013.

20
高文强,夏燕青,马素萍,等.烃源岩和油气中有机含硫化合物的生成、分布及应用[J].天然气地球科学,2020,31(11):1615-1627.

GAO W Q, XIA Y Q, MA S P, et al. Formation and distribution of organosulfur compounds in source rocks and crude oils and their geochemical application[J]. Natural Gas Geoscience,2020,31(11): 1615-1627.

21
陈建平,李伟,倪云燕,等.四川盆地二叠系烃源岩及其天然气勘探潜力(二)——烃源岩地球化学特征与天然气资源潜力[J].天然气工业,2018,38(6):33-45.

CHEN J P, LI W, NI Y Y,et al. The Permian source rocks in the Sichuan Basin and its natural gas exploration potential (Part 2): Geochemical characteristics of source rocks and latent capacity of natural gas resources[J]. Natural Gas Industry,2018,38(6):33-45.

22
杨涛涛,范国章,吕福亮,等.烃源岩测井响应特征及识别评价方法[J].天然气地球科学,2013,24(2):414-422.

YANG T T, FAN G Z, LÜ F L, et al. The logging features and identification methods of source rock[J]. Natural Gas Geoscience, 2013,24(2):414-422.

23
管耀,张伟,刘道理,等.孔隙内微小悬浮颗粒对核磁共振的影响及物理机制[J].地球物理学进展,2022,37(2):1-11.

GUAN Y, ZHANG W, LIU D L, et al. Influence of microsuspended particles in pores on nuclear magnetic resonance and phy-sical mechanism[J]. Progress in Geophysics,2022,37(2): 1-11.

24
张培先,何希鹏,高全芳,等.四川盆地东南缘二叠系茅口组一段页岩气藏地质特征及富集模式[J].石油与天然气地质,2021,42(1):146-157.

ZHANG P X, HE X P, GAO Q F, et al. Geological characteristics and enrichment pattern of Permian Mao 1 Member shale gas reservoirs at the southeastern margin of Sichuan Basin[J]. Oil & Gas Geology, 2021, 42(1):146-157.

25
黄华. 綦江地区中二叠统茅口组层序地层与沉积相研究[D].成都:成都理工大学,2013:31-37.

HUANG H. The Study of the Sequence Stratigraphy and the Sedimentary Facies of Maokou Formation in Middle Permian, Qijiang Region[D].Chengdu:Chengdu University of Technology,2013:31-37.

26
李二庭,靳军,高秀伟,等.黏土矿物对不同类型烃源岩热解参数影响[J].天然气地球科学,2021,32(4):510-517.

LI E T, JIN J,GAO X W, et al. Effect of clay minerals on pyrolysis parameters of different types of source rocks[J]. Natural Gas Geoscience, 2021,32(4):510-517.

27
田明智,朱超,李森明,等.湖相碳酸盐岩测井岩相识别技术与应用——以柴达木盆地英西地区为例[J].中国石油勘探,2023,28(1):135-143.

TIAN M Z,ZHU C,LI S M,et al.Application of logging lithofacies identification technology of lacustrine carbonate rocks:A case study of Yingxi area,Qaidam Basin[J].China Petroleum Exploration, 2023, 28(1):135-143.

Outlines

/