0 引言
1 储层物性下限确定的必要性
表1 不同勘探开发阶段储层物性下限确定方法统计(根据文献[4,9-10,19-20,25-26]修改)Table 1 Statistics of methods for determining the lower limit of reservoir physical property in different exploration and development stages (modified by Refs.[4,9-10,19-20,25-26]) |
| 序号 | 气藏勘探开发阶段 | 储层物性下限确定的相关工作 | 储层物性下限确定的主要方法 |
|---|---|---|---|
| 1 | 勘探 | ①容积法中有效厚度的评价;②探井试油层段的选择 | ①孔隙度—渗透率交会图法;②经验统计法(甩尾法);③钻井液侵入法;④束缚水饱和度法; ⑤最小流动孔喉半径法;⑥压汞参数法; ⑦渗透率应力敏感法;⑧含油产状法; ⑨测试法;⑩分布函数曲线法; ⑪试油法;⑫核磁共振法; ⑬产能模拟实验法;⑭测井资料法; ⑮产能法;⑯数值模拟法; ⑰静动态资料综合法 |
| 2 | 前期评价 | ①利用开发地震和先导试验区资料评价气藏储量; ②评价气井产能,确定开发规模 | |
| 3 | 产能建设 | ①利用新完钻井动静态资料,深化认识气藏的地质与气藏工程特征;②动态优化气藏开采对策 | |
| 4 | 稳产开发 | ①气井生产动态跟踪、动态监测;②跟踪评价气井产能,动态优化气藏开采对策;③评价不同开发制度不同工艺对储量动用的影响 | |
| 5 | 产量递减 | ①评价剩余可采储量分布特征; ②落实气藏剩余储量开发潜力 |
2 储层物性下限概念的扩展
3 储层物性下限的研究现状
表2 岩心分析方法及优缺点Table 2 Core analysis methods and their advantages and disadvantages |
| 方法名称 | 确定方法 | 方法优点 | 方法缺点 |
|---|---|---|---|
| 孔隙度— 渗透率交 | 利用岩心孔隙度和渗透率数据,绘图确定曲线段开始剧烈变化的拐点 | 方法相对简单, 易于操作 | 碳酸盐岩岩心孔隙度和渗透率分布较散,统计关系不明显,孔渗拐点不易确定 |
| 经验统计法 | 利用孔隙度和渗透率资料,确定以低孔、渗储层段累计储渗能力丢失较合理时的对应值 | 从储集能力和渗流能力 两方面确定物性下限 | 需大量岩心资料,不同气藏累计丢失界限值不同,仅适用于孔渗相关性较好的碳酸盐岩储层,且丢失比的确定具有主观性 |
| 钻井液侵入法[37-38] | 在储集层渗透率与原始含气饱和度有一致关系的前提条件下,将水基钻井液取心井分析的储集层平均原始含水饱和度分别与对应层的孔隙度、渗透率作交会图 | 利用孔隙度、渗透率、饱和度以及钻井资料,可同时确定孔隙度、渗透率下限 | 以储集层渗透率与原始含气饱和度具有较好相关性为应用前提;曲线拐点不易确定 |
| 束缚水饱和度法[25,39-43] | 采用孔隙度、渗透率和束缚水饱和度资料绘制孔隙度与束缚水饱和度的交会图,以束缚水饱和度为80%为基准确定孔隙度下限 | 方法相对简单,可快速确定储层的孔隙度下限值,结果确定性强 | 不同实验方法确定的束缚水有一定差异,这将引起储层孔隙度下限值不同;以孔隙度与束缚水饱和度决定系数大于70%为应用前提;受孔隙结构、孔隙类型等因素影响,下限值不易确定 |
| 最小流动孔喉半径法[43-53] | 利用压汞、孔隙度和渗透率资料,以累计渗透率贡献达到99.9%时对应的毛管压力确定最小流动孔喉半径,再由孔喉半径与孔隙度、渗透率关系图确定物性下限 | 方法相对简单,易于操作,结果确定性强 | 受岩心数量及代表性的影响较大,且碳酸盐岩岩心不完全能反映储层渗流特征 |
| 压汞参数法[32,54] | 利用压汞资料和孔隙度、渗透率绘制孔隙度、渗透率与排驱压力的交会图,由曲线拐点确定物性下限 | 方法相对简单,能直观地反映出排驱压力和储层物性的关系 | 曲线拐点不易确定,需要一定数量的岩心测试数据 |
| 渗透率应力敏感法[9,55-56] | 利用渗透率的压力敏感性,对比在地面和地层条件下渗透率差异,确定曲线的拐点 | 通过数据点在图上的分布直观地看出地面和地层2种条件下渗透率的变化趋势 | 需要大量分析化验资料,曲线的拐点不易确定 |
| 孔隙度含水饱和度相渗曲线组合法[25] | 根据岩心渗透率、含水饱和度以及气水相对渗透率数据,确定水的主导层时水的渗透率,其转折点即为渗透率下限值 | 方法相对简单,易于操作,适用于低—高孔渗储层 | 拐点不明显,确定含水饱和度下限值时误差大,碳酸盐岩岩心渗透率值分布散,普遍无规律 |
| 束缚水膜厚度法[25] | 以0.1 μm为界限,由孔喉半径与渗透率的关系得到渗透率下限值 | 方法简单,可快速直观确定储层的物性下限值 | 岩心资料需求量大,且研究工区的孔隙结构参数与物性参数具有良好的相关性 |
| 核磁共振法[25] | 利用核磁共振可得到可动流体饱和度,对比压汞关系确定出孔喉半径值再由孔喉半径与孔隙度、渗透率关系图确定物性下限 | 方法相对简单,易于操作,结果确定性强 | 需大量的实验数据,主要受各种流体因素影响,精确度一般 |
| 产能模拟实验法[57-59] | 在实验室条件下模拟储集层温压条件,设定沿岩心水平方向不同的生产压差,获得单向流的渗流速度,再转换为径向渗流的单井日产气量 | 可直接测得不同温压条件、不同生产压差下的渗流速度并求取日产气量,建立孔隙度、渗透率与日产气量关系曲线 | 岩心尺度与单井渗流区域尺度相差较大,相同压差下的岩心出口端流体流速与气井井筒端流体流速并不相等,将造成预测结果不准确,确定的储集层物性下限值普遍偏低 |
表3 测试分析方法及优缺点Table 3 Test analysis methods and their advantages and disadvantages |
| 方法名称 | 确定方法 | 方法优点 | 方法缺点 |
|---|---|---|---|
| 测井资料法[25,62-67] | 利用试油和测井解释资料先确定对应储层的声波时差等指标,再确定出物性下限 | 将试油结论与测井信息联系起来 | 需要与试油资料综合确定 |
| 试油法[68] | 以试油成果为基准划分储层为有效储层和非有效储层,并将二者对应的物性绘制在同一坐标系 | 资料要求低,方法相对简单,可操作性好,在测试资料较少的区块适用性强,可直观反映试油结论与储层物性的关系 | 精度较低,储层与非储层可能存在交叉或者二者之间存在较大“空档” |
| 含油产状法[69] | 利用孔隙度、渗透率、录井资料和试油结论,依据试油确定含油产状下限,统计得出有效厚度下限 | 由含油产状直方图直接确定孔隙度和渗透率下限 | 需要进行单层试油,不适合碳酸盐岩气藏储层研究 |
| 分布函数曲线法[25,70-71] | 统计并绘制有效储层和非有效储层的孔隙度、渗透率分布曲线,两者的交点即为有效储层物性下限值 | 方法相对简单,可操作强,能够直观地反映出有效储层和非有效储层与储层物性的关系 | 有效储层与非储层要符合正态分布,否则数据不准确,适合低—高孔渗储层 |
| 测试法[72-74] | 利用孔隙度、渗透率和试油结论绘制产液指数与物性关系曲线,在确定产液指数最低界限之后,再确定孔隙度和渗透率下限 | 方法简单,容易操作,能够直观的反映出有效储层和干层的关系 | 由于各井工艺及改造效果存在差异,储层与干层对应物性值可能存在交叉 |
| 示踪剂跟踪[75-78] | 增产改造期间,各井段示踪剂伴随压裂液体进入地层,通过地层产出流体携带此段独有的示踪剂一起返回至地面,井口进行取样并分析每一种示踪剂,通过分析每种示踪剂的返回量可鉴别出每段的产量及返排所占比例 | 明确改造区内各井段不同平均物性条件下的产量及所占比例 | 仅反映试油期间改造区形成的高渗流通道各井段早期渗流的供给动态,不能提供远井区的渗流信息 |
| 生产测井[79-80] | 通井后将主测仪器串下至测试井段,测得自然伽马、温度、压力、套管节箍及连续涡轮流量等信号,根据上述仪器所采集到的资料,通过综合解释得到总的产出剖面和分层贡献 | 可分别测出多个制度下各储层射孔井段的产出剖面,获得不同生产压差下的井段产气剖面及贡献率 | 测井设备的缺陷和不足给生产测井工作带来诸多不便,测井解释需要准确可靠 |
表4 动态分析方法及优缺点Table 4 Dynamic analysis methods and their advantages and disadvantages |
| 方法名称 | 确定方法 | 方法优点 | 方法缺点 |
|---|---|---|---|
| 未考虑储层改造的产能法[9,25,81] | 以储层工业产量为界限,通过径向流公式确定渗透率下限,再由孔—渗关系,得到孔隙度下限值 | 方法计算简单,可描述不同储层工业产量对应不同有效储层厚度的渗透率下限 | 未考虑储层改造信息,仅适用于孔—渗关系较好的储层 |
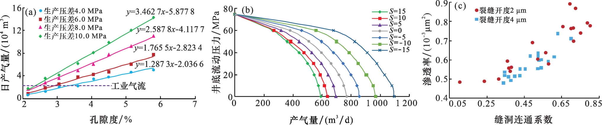
| 考虑储层改造的产能法[82] | 根据产能方程描述储层渗透率、表皮因子与不同压差产气量的定量关系,再由孔—渗关系,得到动态的孔隙度下限值 | 方法计算简单,可描述不同改造效果不同生产压差下的有效储层厚度的渗透率下限 | 仅适用于孔—渗关系较好的储层,不同工艺井与改造效果的表皮因子不易准确确定 |
| 气藏数值模拟[11,83] | 在储层物性参数认识的前提下,建立不同类型储层可靠的地质模型,通过数值模拟方法确定不同类型储层物性下限 | 定量确定不同开发指标对储层物性下限的影响 | 需要有扎实的储层认识和可靠的储层分类结果 |
| 岩心模拟[8,12] | 引入定量表征因子,模拟不同岩心结构下对应的渗流能力,反算不同确定不同典型储层的孔隙度下限 | 定量描述出不同典型储层岩心对应的渗透率,结合生产压差可确定出不同典型储层的物性下限 | 描述尺度为岩心尺度,计算有随机性,模拟时间较长,需要构建大量的数字岩心模拟计算结果 |

甘公网安备 62010202000678号