0 引言
1 柴北缘地质特征
2 柴北缘盆地氦气分布特征
2.1 柴北缘氦气组分特征
表1 柴达木盆地天然气中氦组分及同位素(%)(修改自文献[7-10])Table 1 Helium composition and isotope in natural gas in the northern margin of Qaidam Basin(%) (modified from Refs.[7-10]) |
| 序号 | 油气田 /地区 | 井号 | 气藏 产层 | 井段 /m | 天然气组分含量/% | 同位素 | 是否达到工业标准 | 氦气 类型 | 资料 来源 | ||||||
|---|---|---|---|---|---|---|---|---|---|---|---|---|---|---|---|
| C1 | N2 | He | 3He/4He | 4He/20Ne | R/Ra | 幔源He/% | |||||||||
| 1 | 团鱼山 | KT-7-1 | 含煤侏 罗层系 | 874 | 49.06 | 0.73 | 48.58 | 1.14 | 6×10-8 | 0.05 | 0.043 | 远超 | 富氦 天然气 | 文献[7] | |
| 2 | KT-7-2 | 883 | 59.59 | 0.93 | 36.72 | 0.68 | 130×10-8 | 0.93 | 0.929 | 远超 | |||||
| 3 | KT-7-3 | 885 | 35.64 | 0.63 | 62.13 | 0.47 | 远超 | ||||||||
| 4 | KT-7-4 | 910 | 36.89 | 1.11 | 60.79 | 0.6 | 远超 | ||||||||
| 5 | KT-7-8 | 925 | 27.89 | 0.91 | 70.22 | 0.5 | 78×10-8 | 0.56 | 0.557 | 远超 | |||||
| 6 | 全吉山 | 9-8 | 井口气 | / | 0.026 | 0.06 | 90.713 | 0.655 | 3×10-8 | 0.02 | 0.09 | 远超 | 文献[8] | ||
| 7 | 马北 | 马北14 | 基岩、E3 1 | / | 79.32 | 14.41 | 5.81 | 0.27 | 远超 | 文献[9] | |||||
| 8 | 马西1 | / | / | 8.54 | 0.23 | 2.4×10-8 | 0.017 | 远超 | |||||||
| 9 | 马北混合 | / | / | 5.34 | 0.25 | 远超 | |||||||||
| 10 | 马20斜 | / | / | 33.28 | 0.17 | 远超 | |||||||||
| 11 | 马八2-1 | / | / | 6.51 | 0.26 | 远超 | |||||||||
| 12 | 马八2-10 | / | / | 5.19 | 0.27 | 远超 | |||||||||
| 13 | 马八2-25 | / | / | 4.69 | 0.26 | 远超 | |||||||||
| 14 | 马八2-26 | / | / | 5.66 | 0.28 | 远超 | |||||||||
| 15 | 马八2-28 | / | / | 6.75 | 0.25 | 远超 | |||||||||
| 16 | 马八2-29 | / | / | 10.01 | 0.25 | 远超 | |||||||||
| 17 | 马八3-2 | / | / | 5.3 | 0.23 | 远超 | |||||||||
| 18 | 马八3-8 | / | / | 5.7 | 0.26 | 远超 | |||||||||
| 19 | 马八H1-1 | / | / | 5.66 | 0.27 | 远超 | |||||||||
| 20 | 马八H1-3 | / | / | 7.36 | 0.81 | 远超 | |||||||||
| 21 | 马6-8 | / | / | / | 0.14 | 5×10-8 | 0.04 | 0.036 | 远超 | ||||||
| 22 | 马中混合 | / | / | / | 0.26 | 5×10-8 | 0.03 | 0.036 | 远超 | ||||||
| 23 | 牛东 | 牛1井 | J | 2 224~2 236 | 89.04 | 1.41 | 0.013 | 2.08×10-8 | 11 118 | 0.01 | 0.015 | 未达到 | |||
| 24 | 牛1-2-10 | 86.31 | 11.33 | 1.54 | 0.02 | 1.54×10-8 | 10 649 | 0.011 | 未达到 | ||||||
| 25 | 牛1-2-11 | 2.08 | 0.014 5 | 1.46×10-8 | 12 119 | 0.01 | 未达到 | ||||||||
| 26 | 东坪 | 东坪1 | 3 159~3 182 | 91.79 | 2.709 | 5.28 | 0.075 | 1.26×10-8 | 38 283 | 0.01 | 0.009 | 达到 | 文献[10] | ||
| 27 | 东坪171 | 基岩 | 4 778~4 788 | 91.36 | 2.56 | / | 0.1 | 3.53×10-8 | 19 583 | 0.025 | 远超 | ||||
| 28 | 东坪3 | 基岩 | 1 856 | 61.75 | 3.161 | 30.49 | 1.069 | 远超 | |||||||
| 29 | 东坪3 | E1+2 | 1 686 | 71.75 | 1.381 | 25.56 | 0.475 | 远超 | |||||||
| 30 | 东坪3 | E3 1 | 1 101 | 91.11 | 0.822 | 7.66 | 0.085 | 达到 | |||||||
| 32 | 坪1H-2-8 | 3 388~3 663 | 88.61 | 2.895 | 7.37 | 0.08 | 1.39×10-8 | 0.01 | 达到 | ||||||
| 33 | 坪1H-2-5 | 3 416~3 728 | 88.24 | 2.891 | 7.38 | 0.071 | 达到 | ||||||||
| 34 | 坪1H-2-7 | 3 188~3 554 | 88.21 | 3.398 | 7.44 | 0.045 | 未达到 | ||||||||
| 35 | 坪1H-2-4 | 3 270~3 530 | 90.28 | 3.311 | 6.12 | 0.068 | 1.01×10-8 | 0.007 | 达到 | ||||||
| 36 | 东坪3H-6-4 | 1 950~2 250 | 70.11 | 1.4 | 27.13 | 0.81 | 远超 | ||||||||
| 37 | 坪3-2-1 | E3 2 | 685.4~935 | 86.04 | 0.733 | 12.56 | 0.11 | 远超 | |||||||
| 38 | 坪3-2-1 | E3 2 | 681.2~693.2 | 88.04 | 0.733 | 10.96 | 0.11 | 远超 | |||||||
| 39 | 坪3H-6-2 | 基岩 | 1 985~2 480 | 66.07 | 1.354 | 30.04 | 0.75 | 远超 | |||||||
| 40 | 坪3H-6-2 | E3 1 | 1 171~1 175 | 73.57 | 1.354 | 24.04 | 0.75 | 远超 | |||||||
| 41 | 东坪11 | E3 2 | 869~871 | 88.91 | 0.76 | 7.89 | 0.13 | 远超 | |||||||
| 42 | 东坪11 | E3 2 | 1 013~1 018 | 95.41 | 0.76 | 2.69 | 0.13 | 远超 | |||||||
| 43 | 东坪11 | 基岩 | 1 960~1 976 | 83.73 | 0.95 | 14.77 | 0.09 | 未达到 | |||||||
| 44 | 东坪15 | E1+2 | 1 902 | 93.02 | 0.684 | 5.83 | 0.315 | 远超 | |||||||
| 45 | 东坪173 | E3 2 | 4 635~4 645 | 83.16 | 12.871 | 3.4 | 0.085 | 达到 | |||||||
| 46 | 尖北 | 尖探1 | 基岩 | 4 637~4 647 | 80.67 | 2.57 | 0.26 | 3.57×10-8 | 73 112 | 0.026 | 0.14 | 远超 | |||
| 47 | 大柴旦 | 大柴旦温泉 | 水溶氦气 | 1 500 m以浅 | / | / | / | 0.842 1 | 0.03 | 远超 | 水溶 氦气 | 资料① | |||
| 48 | 鄂博梁 | 鄂2 | 水溶氦气 | / | 0.116 8 | / | 达到 | ||||||||
|
2.2 柴北缘氦气分布特征
2.2.1 横向分布特征
表2 柴北缘地区不同产气区块氦气含量Table 2 Helium content in different gas producing blocks in the northern margin of Qaidam Basin |
| 区块 | 样品数 /个 | He含量达到0.1%的样品数/个 | He含量达到0.1% 的样品占比/% | He平均含量/% |
|---|---|---|---|---|
| 团鱼山煤田 | 5 | 5 | 100.00 | 0.678 |
| 全吉山煤田 | 1 | 1 | 100.00 | 1.074 |
| 马北气田 | 21 | 21 | 100.00 | 0.261 |
| 牛东气田 | 3 | 0 | 0.00 | 0.015 |
| 东坪气田 | 21 | 12 | 57.14 | 0.28 |
| 尖北气田 | 4 | 4 | 100.00 | 0.24 |
2.2.2 层位分布特征
表3 柴北缘地区不同产气层位氦气含量Table 3 Helium content in different gas producing horizons in the northern margin of the Qaidam Basin |
| 层位 | 样品数 /个 | He含量达到0.1%的样品数/个 | He含量达到0.1%的样品占比/% | He平均含量/% |
|---|---|---|---|---|
| 基岩 | 14 | 7 | 50 | 0.24 |
| J | 5 | 4 | 80 | 0.43 |
| E1+2 | 5 | 4 | 80 | 0.61 |
| E3 1 | 3 | 3 | 100 | 0.085 |
| E3 2 | 8 | 5 | 62.5 | 0.113 |
2.2.3 深度分布特征
2.3 柴北缘地区天然气组分关系
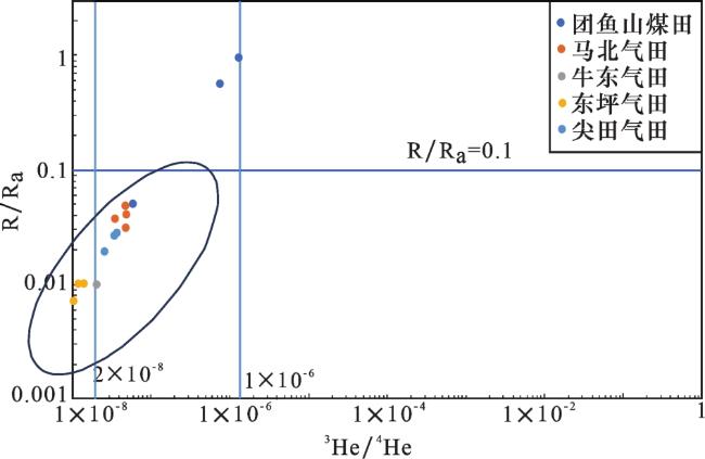
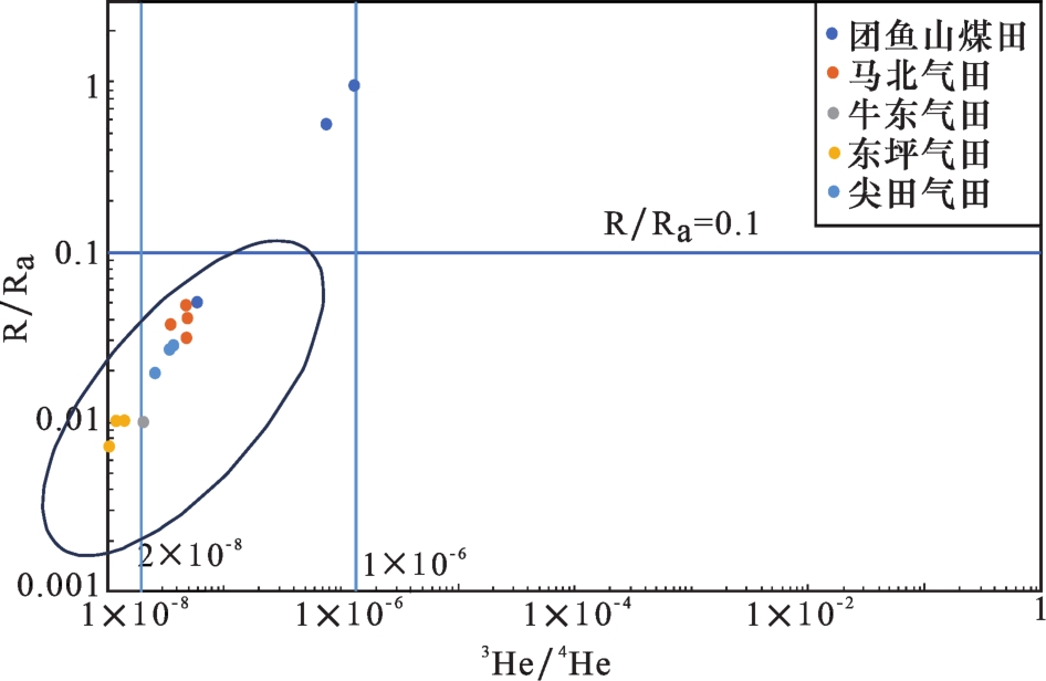
3 柴北缘地区氦气成因
4 氦气成藏条件
4.1 柴北缘地区潜在氦源岩
表4 柴达木盆地基岩铀、钍含量(修改自文献[7])Table 4 Uranium and Thorium content in bedrock in the northern margin of the Qaidam Basin(modified from Ref.[7]) |
| 样品 编号 | 岩石名称 | 地层 /时代 | Th/(μg/g) | U/(μg/g) | 中国陆壳 丰度U /(μg/g) | 中国陆壳 丰度Th /(μg/g) |
|---|---|---|---|---|---|---|
| L2-002 | 长英质片岩 | 上奥陶统 | 30.6 | 5.02 | 0.83~1.76 | 3.16~6.69 |
| L2-004 | 花岗片麻岩 | 古元古界 | 9.73 | 2.69 | ||
| L3-002 | 白云母花岗岩 | 古元古界 | 8.19 | 3.34 | ||
| S1-009 | 凝灰岩 | 上奥陶统 | 19.9 | 5.18 | ||
| S1-012 | 花岗岩 | 晚古生代 | 6.11 | 2.10 |
4.2 运移通道
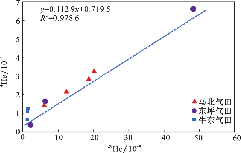
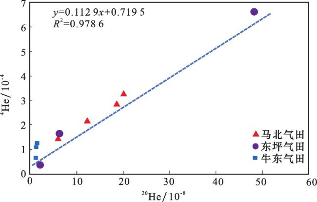
4.3 运移载体
表5 柴北缘地区稀有气体含量特征(据韩伟等[9]简编)Table 5 Characteristics of rare gas content in northern margin of the Qaidam Basin (according to HAN et al.[9]) |
| 样品 | 气田 | 4He/10-4 | 20Ne/10-8 |
|---|---|---|---|
| 马北801 | 马北 | 18.62 | 2.9 |
| 马北1 | 12.2 | 2.23 | |
| 马西1 | 6.08 | 1.54 | |
| 马八2-23 | 20.14 | 3.36 | |
| 东坪171 | 东坪 | 2.06 | 0.35 |
| 东坪1 | 6.37 | 1.67 | |
| 东坪3 | 48.4 | 6.62 | |
| 牛1 | 牛东 | 1.21 | 1.1 |
| 牛1-2-10 | 1.15 | 0.68 | |
| 牛1-2-11 | 1.42 | 1.2 |

甘公网安备 62010202000678号