0 引言
1 区域地质与勘探概况
2 样品及实验测试
2.1 样品介绍
表1 B1井龙马溪组样品基本信息Table 1 Basic information of Longmaxi Formation samples in Well B1 |
| 样品 编号 | 层位 | 深度/m | 岩性 | 总有机碳/% | 孔隙度/% | 石英/% | 长石/% | 方解石/% | 白云石/% | 黏土矿物/% | 其他/% |
|---|---|---|---|---|---|---|---|---|---|---|---|
| 1# | 龙 马 溪 组 | 3 027.40~3 027.65 | 页岩 | 3.02 | 7.57 | 32 | 6 | 6 | 11 | 31 | 14 |
| 2# | 3 028.02~3 028.26 | 页岩 | 2.39 | 6.89 | 28 | 4 | 7 | 19 | 39 | 3 | |
| 3# | 3 028.60~3 028.86 | 页岩 | 2.25 | 5.70 | 29 | 6 | 11 | 14 | 36 | 4 | |
| 4# | 3 031.04 | 页岩 | 1.94 | 2.01 | 24 | 1 | 15 | 7 | 51 | 2 | |
| 5# | 3 036.74 | 页岩 | 1.79 | 3.69 | 9 | 1 | 20 | 14 | 54 | 2 | |
| 6# | 3 038.77 | 页岩 | 2.51 | 4.29 | 9 | 3 | 17 | 24 | 44 | 3 |
2.2 实验测试方法
3 页岩储集空间分布特征
3.1 基于SEM观察的储集空间分布特征
图2 B1井龙马溪组页岩样品储集空间发育特征(a)片状伊利石、绿泥石集合体与发育孔隙的有机质相间分布,组分间隙发育(20 000×);(b)长柱状石英发育少量粒内孔(1 400×);(c)草莓状黄铁矿发育晶间孔(8 500×);(d)长条状磷灰石、微粒状方解石等相间分布,发育少量溶蚀孔(600×);(e)微粒状方解石、白云石发育溶蚀孔,微晶石英(硅质)、黏土矿物、有机质等相间分布(1 000×);(f)碎片状有机质发育少量孔缝(3 000×);(g)有机质充填于圆环状黄铁矿中,孔缝发育(4 000×);(h)填隙状有机质孔隙极为发育(12 040×);(i)填隙状有机质发育孔径不一的孔隙(14 000×);(j)片状伊利石集合体发育层间缝、微裂隙(14 000×);(k)伊/蒙混层集合体发育层间缝(12 000×);(l)微晶石英、片状绿泥石集合体、发育孔隙的有机质相间分布(6 500×);图中矿物标记:Qtz石英;Cal方解石;Dol白云石;Chl绿泥石;Py黄铁矿; Om有机质;Ap磷灰石;Ill伊利石;I/S伊/蒙混层 Fig.2 Development characteristics of reservoir space of Longmaxi Formation shale samples in Well B1 |
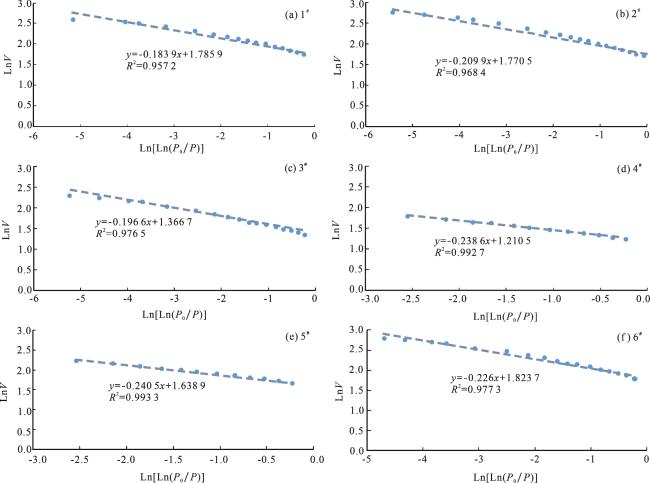
3.2 基于氩气吸附测试的储集空间分布特征
表2 基于氩气吸附实验的样品孔隙结构参数Table 2 Argon adsorption experiment pore structure parameters of samples |
| 样品 编号 | 平均孔隙 直径/nm | 总比表面积 /(m²/g) | 总比孔容 /(cm³/g) | 微孔(<2 nm) | 介孔(2~50 nm) | 大孔(50~300 nm) | |||
|---|---|---|---|---|---|---|---|---|---|
| 比表面积 /(m²/g) | 比孔容 /(cm³/g) | 比表面积 /(m²/g) | 孔体积 /(cm³/g) | 比表面积 /(m²/g) | 比孔容 /(cm³/g) | ||||
| 1# | 6.770 9 | 9.372 9 | 0.017 8 | 5.916 0 | 0.003 2 | 3.400 1 | 0.010 9 | 0.056 8 | 0.003 7 |
| 2# | 6.633 6 | 5.345 3 | 0.007 9 | 3.740 3 | 0.002 0 | 1.584 9 | 0.005 2 | 0.020 1 | 0.000 7 |
| 3# | 7.019 0 | 5.345 3 | 0.007 9 | 3.740 3 | 0.002 0 | 1.584 9 | 0.005 2 | 0.020 1 | 0.000 7 |
| 4# | 7.036 0 | 5.011 3 | 0.007 1 | 3.375 5 | 0.001 8 | 1.620 8 | 0.004 8 | 0.015 0 | 0.000 5 |
| 5# | 6.884 4 | 7.788 3 | 0.011 5 | 5.232 4 | 0.002 9 | 2.532 6 | 0.007 8 | 0.023 4 | 0.000 8 |
| 6# | 6.394 7 | 6.029 9 | 0.010 4 | 3.799 7 | 0.002 4 | 2.216 4 | 0.007 6 | 0.013 8 | 0.000 5 |
图5 B1井龙马溪组页岩样品孔隙比表面积、比孔容分布情况Fig.5 Distribution of different pore specific surface areas and specific pore volumes of Longmaxi Formation shale samples in Well B1 |

甘公网安备 62010202000678号