0 引言
1 地质背景
2 样品与实验
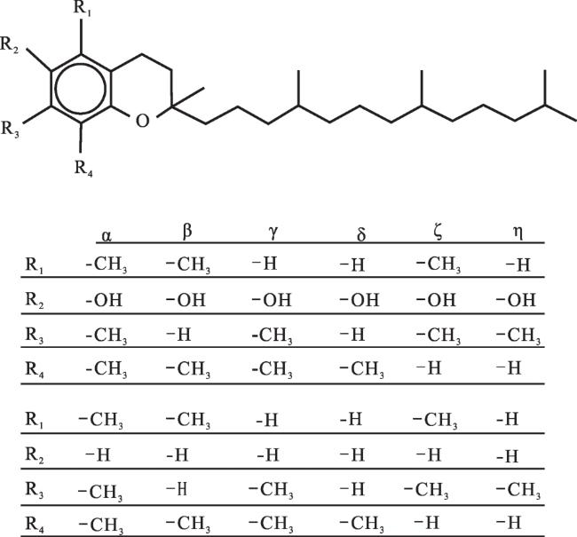
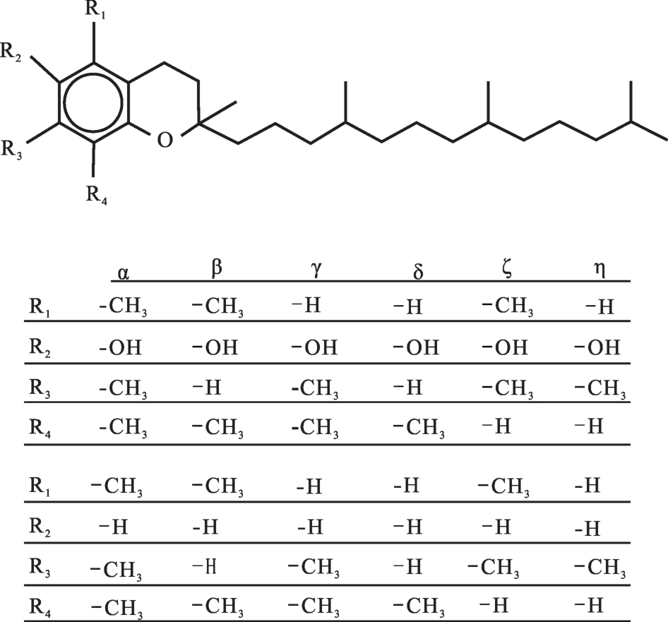
3 MTTC类化合物的检出与分布
表1 渤海湾盆地东濮凹陷南部马厂地区原油样品中MTTC类化合物参数Table 1 Calculated MTTCs parameters of crude oils from wells in Machang area from south of Dongpu Depression of Bohai Bay Basin |
| 井号 | 层位 | 深度/m | α/δ | α/γ | β/γ | MTTCI | 相对占比/% | |||||
|---|---|---|---|---|---|---|---|---|---|---|---|---|
| δ-MTTC | β-MTTC | γ-MTTC | ζ-MTTC | α-MTTC | MTTCs/ (μg/g) | |||||||
| 马26 | Es 3 U | 3 229.4~3 264.5 | 6.28 | 34.71 | 8.63 | 0.66 | 10 | 16 | 2 | 6 | 66 | 2.94 |
| 马9-31 | Es 3 L, Es 3 M | 2 935.4~3 208.9 | 8.90 | 15.82 | 4.32 | 0.68 | 8 | 18 | 4 | 2 | 68 | 1.45 |
| 马11-4 | Es 3 M3—Es 3 L | 2 968.1~3 145.3 | 1.50 | 4.06 | 0.96 | 0.45 | 30 | 11 | 11 | 4 | 45 | 0.94 |
| 马11-89 | Es 3 L1-2 | 3 216.1~3 316.8 | 9.92 | 110.04 | 31.30 | 0.66 | 7 | 19 | 1 | 7 | 66 | 16.66 |
| 马82-4 | Es 3 L2-5 | 3 125.5~3 379.1 | 9.68 | 23.43 | 6.65 | 0.66 | 7 | 19 | 3 | 5 | 66 | 0.19 |
| 马12-2 | Es 3 M2-4, Es 3 L1 | 2 451.9~2 657.6 | 15.34 | 12.55 | 4.94 | 0.60 | 4 | 24 | 5 | 7 | 60 | 2.18 |
| 马12-28 | Es 3 M3-4 | 2 570~2 650.9 | 12.73 | 17.28 | 5.85 | 0.64 | 5 | 22 | 4 | 6 | 64 | 61.39 |
| 马10-16 | Es 3 M, Es 3 L | 2 588.4~2 740.3 | 1.26 | / | / | 0.56 | 44 | 0 | 0 | 0 | 56 | 7.39 |
α/δ=α⁃MTTC/δ⁃MTTC;α/γ=α⁃MTTC/γ⁃MTTC;β/γ=β⁃MTTC/γ⁃MTTC;MTTCI=α⁃MTTC/总MTTCs;δ⁃MTTC%=δ⁃MTTC/总MTTCs×100;δ⁃MTTC(%)=δ⁃MTTC/总MTTCs×100;β⁃MTTC(%)=β⁃MTTC/总MTTCs×100;γ⁃MTTC(%)=γ⁃MTTC/总MTTCs×100;ζ⁃MTTC(%)=ζ⁃MTTC/总MTTCs×100;α⁃MTTC(%)=α⁃MTTC/总MTTCs×100;MTTCs(μg/g)=MTTC类化合物总绝对浓度;MTTC类化合物绝对浓度值计算公式为:Ci =Ai ×(m S×1 000)/(Ai S×mi ),式中:Ci 为MTTC类化合物绝对浓度,μg/g;Ai 为各化合物的峰面积之和;m S为加入标样的质量,μg;Ai S为标样峰面积;mi 为分离的原油质量,mg |
4 MTTC类化合物分布的影响因素探讨
4.1 沉积环境
4.2 成熟度
表2 渤海湾盆地东濮凹陷南部马厂地区原油样品中饱和烃和芳香烃成熟度参数Table 2 Saturated and aromatic hydrocarbon maturity parameters of crude oils from wells in Machang area from south of Dongpu Depression of Bohai Bay Basin |
| 井号 | 层位 | 深度/m | 饱和烃成熟度参数 | |||||||||
|---|---|---|---|---|---|---|---|---|---|---|---|---|
| C29甾烷ααα20S/(20S+20R) | C29甾烷αββ /(ααα+αββ) | C31藿烷22S /(22S+22R) | C35/C34藿烷 | CPI | OEP | |||||||
| 马26 | Es 3 U | 3 229.4~3 264.5 | 0.33 | 0.29 | 0.58 | 0.65 | 1.05 | 1.04 | ||||
| 马9-31 | Es 3 L, Es 3 M | 2 935.4~3 208.9 | 0.51 | 0.46 | 0.60 | 0.81 | 1.03 | 1.05 | ||||
| 马11-4 | Es 3 M3—Es 3 L | 2 968.1~3 145.3 | 0.52 | 0.47 | 0.61 | 0.50 | 1.03 | 1.03 | ||||
| 马11-89 | Es 3 L1-2 | 3 216.1~3 316.8 | 0.41 | 0.42 | 0.64 | 0.00 | 1.08 | 1.03 | ||||
| 马82-4 | Es 3 L2-5 | 3 125.5~3 379.1 | 0.54 | 0.46 | 0.60 | 0.67 | 1.04 | 1.01 | ||||
| 马12-2 | Es 3 M2-4, Es 3 L1 | 2 451.9~2 657.6 | 0.52 | 0.45 | 0.59 | 0.72 | 1.03 | 1.06 | ||||
| 马12-28 | Es 3 M3-4 | 2 570~2 650.9 | 0.54 | 0.45 | 0.60 | 0.68 | 1.26 | 1.08 | ||||
| 马10-16 | Es 3 M, Es 3 L | 2 588.4~2 740.3 | 0.51 | 0.45 | 0.60 | 0.63 | 1.09 | 1.12 | ||||
| 井号 | 层位 | 深度/m | 芳香烃成熟度参数 | |||||||||
| MPI1 | R c(MPI1) | F1 | F2 | MNR | DNR | R c(DNR) | TNR-1 | TNR-2 | R c (TNR-2) | |||
| 马26 | Es 3 U | 3 229.4~3 264.5 | 0.30 | 0.6 | 0.33 | 0.20 | 1.07 | 0.93 | 0.13 | 0.79 | 0.63 | 0.78 |
| 马9-31 | Es 3 L, Es 3 M | 2 935.4~3 208.9 | 0.51 | 0.72 | 0.41 | 0.24 | 0.66 | 2.93 | 0.75 | 1.23 | 0.79 | 0.88 |
| 马11-4 | Es 3 M3—Es 3 L | 2 968.1~3 145.3 | 0.48 | 0.71 | 0.40 | 0.22 | 0.60 | 3.22 | 0.78 | 1.29 | 0.84 | 0.90 |
| 马11-89 | Es 3 L1-2 | 3 216.1~3 316.8 | 0.62 | 0.78 | 0.46 | 0.26 | 1.06 | 5.50 | 0.99 | 1.34 | 0.89 | 0.93 |
| 马82-4 | Es 3 L2-5 | 3 125.5~3 379.1 | 0.51 | 0.72 | 0.41 | 0.23 | 0.77 | 3.84 | 0.84 | 1.24 | 0.85 | 0.91 |
| 马12-2 | Es 3 M2-4, Es 3 L1 | 2 451.9~2 657.6 | 1.39 | 1.21 | 0.48 | 0.26 | 1.28 | 4.96 | 0.94 | 1.22 | 0.86 | 0.92 |
| 马12-28 | Es 3 M3-4 | 2 570~2 650.9 | 0.62 | 0.78 | 0.44 | 0.24 | 1.01 | 4.61 | 0.91 | 1.22 | 0.86 | 0.92 |
| 马10-16 | Es 3 M, Es 3 L | 2 588.4~2 740.3 | 0.70 | 0.82 | 0.47 | 0.26 | 0.82 | 4.81 | 0.92 | 1.48 | 0.92 | 0.95 |
|
表3 渤海湾盆地东濮凹陷南部马厂地区油砂黏土矿物X射线衍射分析结果Table 3 The composition of clay mineral of oil sand from wells in Machang area from south of Dongpu Depression of Bohai Bay Basin |
| 井号 | 层位 | 深度/m | 岩性 | 伊利石/% | 蒙脱石/% | 高岭石/% | 绿泥石/% | 伊/蒙混层/% | 绿/蒙混层/% |
|---|---|---|---|---|---|---|---|---|---|
| 马26 | Es 3 U | 3 224.5 | 砂岩 | 12 | 0 | 38 | 42 | 8 | 0 |
| 马26 | Es 3 U | 3 262.6 | 砂岩 | 12 | 0 | 38 | 42 | 8 | 0 |
| 马12-28 | Es 3 M | 3 115.8 | 砂岩 | 32 | 0 | 10 | 32 | 26 | 0 |
| 马12-28 | Es 3 M | 3 208.6 | 砂岩 | 33 | 0 | 6 | 13 | 48 | 0 |
| 马10-16 | Es 3 M | 2 583.9 | 砂岩 | 36 | 0 | 8 | 10 | 46 | 0 |
| 马10-16 | Es 3 M | 2 594.8 | 砂岩 | 39 | 0 | 3 | 8 | 50 | 0 |
| 马9-31 | Es 3 L | 3 210.2 | 砂岩 | 37 | 0 | 11 | 34 | 18 | 0 |
| 马9-31 | Es 3 L | 3 217.8 | 粉砂岩 | 36 | 0 | 4 | 12 | 48 | 0 |
| 马11-89 | Es 3 L | 3 228.4 | 砂岩 | 32 | 0 | 17 | 13 | 38 | 0 |
| 马11-89 | Es 3 L | 3 348.9 | 粉砂岩 | 31 | 0 | 7 | 17 | 45 | 0 |
| 马82-4 | Es 3 L | 3 358.6 | 砂岩 | 38 | 0 | 9 | 19 | 34 | 0 |
| 马82-4 | Es 3 L | 3 367.1 | 砂岩 | 31 | 0 | 9 | 40 | 20 | 0 |
图8 渤海湾盆地东濮凹陷南部马厂地区原油中饱和烃成熟度参数与MTTC类化合物分布的关系Fig.8 Relationships between saturated hydrocarbon maturity parameters and the distribution of MTTCs of crude oils from wells in Machang area from south of Dongpu Depression of Bohai Bay Basin |
5 MTTC类化合物富集成因模式探讨
5.1 原油中低熟生物标志化合物检出指示低熟油的混入
图10 渤海湾盆地东濮凹陷南部马厂地区典型原油样品中饱和烃m/z 217质量色谱Fig.10 Mass chromatograms of m/z 217 of saturated hydrocarbon fractions of typical crude oils from wells in Machang area from south of Dongpu Depression of Bohai Bay Basin |

甘公网安备 62010202000678号