Multi-scale fractal characteristics of pores in transitional shale gas reservoir

  • Weidong XIE , 1 ,
  • Meng WANG , 2 ,
  • Hua WANG , 1 ,
  • Hongyue DUAN 2
Expand
  • 1. School of Earth Resources,China University of Geosciences (Wuhan),Wuhan 430074,China
  • 2. Low Carbon Energy Institute,China University of Mining and Technology,Xuzhou 221008,China

Received date: 2021-04-01

  Revised date: 2021-06-24

  Online published: 2022-03-22

Supported by

The China National Science & Technology Major Project(2017ZX05035004)

the Project was Supported by the Fundamental Research Funds for National Universities,China University of Geosciences(Wuhan)

Highlights

In order to investigate the fractal characteristics of micropore, mesopore and macropore in shale reservoir and the applicability of currently widely used fractal models, the shale gas reservoir of Taiyang Formation in Ordos Basin was selected as research object, and the pore structure parameters of shale were tested by using high-pressure mercury injection experiments and cryogenic nitrogen adsorption experiments. Besides, the fractal dimension of macropore in the results of high pressure mercury injection test was calculated by the MENGER sponge model, the fractal dimension of mesopore pore in the results of cryogenic nitrogen adsorption testes was calculated by the F-H-H model, and the V-S model was introduced to calculate the fractal dimension of micropore in the results of cryogenic nitrogen adsorption test. The goodness of fit (R 2) was regarded as the evaluation index, and the best fractal dimension calculation model of pores were discussed with the calculated results of predecessors. The results exhibit that, D 1D 2 and D 3 are in the range of 2.013 6-2.294 4 (2.113 2 averages), 2.579 3-2.762 2 (2.640 5 averages) and 2.786 3-2.998 5 (2.933 9 averages), respectively. The fractal dimension increases with a rise in pore diameter, the pore surface converts rougher and the pore structure converts more complex. F-H-H model and V-S model are the best models to calculate the fractal dimensions of mesopore and micropore in shale, with the R 2 value higher than 0.99, especially the former is the best (the R 2 value is higher than 0.998). Although the calculation process of the menger sponge model for macropore fractal dimension also exhibits a high degree of fit, the R 2 value and stability are apparently worse than the former two. Results from this work are of certain reference significance to calculate the fractal dimension of transitional shale gas reservoirs.

Cite this article

Weidong XIE , Meng WANG , Hua WANG , Hongyue DUAN . Multi-scale fractal characteristics of pores in transitional shale gas reservoir[J]. Natural Gas Geoscience, 2022 , 33(3) : 451 -460 . DOI: 10.11764/j.issn.1672-1926.2021.06.006

0 引言

泥页岩储层具有“低孔低渗”和强非均质性特征,该类多孔介质被证实孔隙结构复杂,类型多样,包括有机质气孔,黏土矿物粒间孔和层间孔,脆性矿物溶蚀孔和铸模孔,以及有机质和脆性矿物边缘微裂隙等1-2。孔径跨度广,微观孔隙纳米级至微米级连续分布与宏观孔隙相互连通,孔隙网络结构复杂3。孔隙形态各异,包括柱状孔、板状孔、狭缝孔和墨水瓶孔等4。孔隙形态、类型和孔径等因素对页岩中孔隙表面的粗糙程度有重要影响,由此控制页岩中气体的吸附—解吸—渗流—产出过程4-5。页岩中孔隙结构的精细表征是储层评价的重要内容,有助于探讨页岩中气体的赋存方式,吸附特征和含气量等。学者们引入分形维数来表征页岩孔隙表面的粗糙程度,其值介于2~3之间,代表了孔隙表面由光滑到粗糙的变化以及孔隙结构由简单到复杂的转换6-7。即分形维数值愈接近于2孔表面愈光滑,愈接近于3孔表面愈粗糙。目前对于页岩中孔隙分形维数的计算已形成了一套相对完整的研究方案,对页岩中孔隙直观观测结果以及间接测试结果的孔隙分形维数皆可计算。闫高原等6计算了沁水盆地太原组—山西组页岩扫描电镜图片中孔隙分形维数,发现分形维数受储层埋深,源岩热成熟度和孔隙结构参数等控制;LIU等8基于高压压汞实验,利用MENGER海绵模型计算了页岩中孔隙分形维数,取得了较高的拟合优度;SHAO等9基于低温氮气吸附实验利用F—H—H模型计算了页岩中孔隙分形维数,同样取得了良好的拟合效果。此外,有机质丰度和矿物组分特征也被认为是页岩中孔隙分形维数的重要影响因素10-12
前人在页岩中孔隙分形维数计算领域已做了大量卓有成效的研究工作,为本文研究奠定了坚实的基础。然而在不同孔径孔隙的分形模型适用性方面的研究仍需进一步的探索和论证,即需分别探讨微孔、介孔和宏孔分形维数计算的最佳模型,尤其是微孔分形维数的计算。鉴于此,本文研究以鄂尔多斯盆地东缘(图1)上石炭统—下二叠统太原组海陆过渡相泥页岩为研究对象,通过高压压汞测试和低温氮气吸附测试表征泥页岩样品孔隙结构特征,应用MENGER海绵模型计算泥页岩宏孔分形维数,F—H—H模型计算介孔分形维数,并引入V—S模型计算微孔分形维数。将计算过程的拟合优度与前人的计算方案对比,探讨各个模型对各类孔隙的适用性。
图1 鄂尔多斯盆地构造分区及采样点位置

Fig.1 Tectonic division and sampling location of the Ordos Basin

本文研究分别探讨了MENGER海绵模型,F—H—H模型和V—S模型对泥页岩中宏孔、介孔和微孔的拟合优度,以期对过渡相页岩气赋存方式和成藏机理的研究有所贡献。

1 样品、实验和方法

1.1 样品采集

研究区鄂尔多斯盆地地处华北地台,是我国重要的含油气盆地。鄂尔多斯盆地包括北部的伊盟隆起,中部由东到西的晋西挠褶带、伊陕斜坡、天环坳陷和西缘逆冲断带,以及南部的渭北隆起共6个构造单元(图1)。采样点位于晋西挠褶带南缘,本文共采集6件上石炭统至下二叠统太原组海陆过渡相泥页岩的钻孔岩心样品,采样深度为1 450~1 400 m,由深及浅分别编号FX-1至FX-6。样品岩性包括灰黑色粉砂质泥页岩和黑色炭质泥页岩,主要为泥质结构,块状构造,页理构造仅在某些炭质含量高颜色较深的样品中可见,总体上发育较少,此外,可见少量植物根茎化石。将所采样品进行密封处理运送至实验室后尽快按实验样品规格处理,并进行相关测试。

1.2 孔隙结构测试实验

根据国际纯化学和应用化学联合会的分类13,微孔、介孔和宏孔被分别定义为孔径<2 nm、2~50 nm和>50 nm。微孔和介孔孔隙结构参数通过低温氮气吸附实验获得。实验仪器金埃谱V-Sorb 2800TP比表面积及孔径分析仪,由北京金埃普公司自主研发。孔径测试范围0.35~400 nm,可通过吸附静态容量法获得样品中气体的吸、脱附曲线。并能够根据主机内置计算模型计算孔体积、比表面积和平均孔径等孔隙结构参数,测试精度误差<1.0%。实验前将泥页岩样品研磨至40~60目,每个样品需要10 g,依据压汞法和气体吸附法测定固体材料孔径分布和孔隙度国家标准GB/T 21650.3—2011进行实验。需说明的是受控于低温氮气吸附实验测试孔径范围,本文研究中仅能精确表征孔径在1~2 nm之间的微孔结构参数,而对于孔径<1 nm的微孔测试精度较差,故此本文研究中选择1~2 nm孔隙代表微孔,带来了一定的局限性。宏孔结构参数选用高压压汞实验测试结果。实验仪器Autopore IV 9500型全自动高压压汞仪,由美国康塔公司制造,主要用于介孔和大孔的孔喉特征测试。实验压力为0~413 MPa,孔径测试范围介于3 nm~1 000 μm之间,通过逐步提高/降低注入压力获得样品的进/退汞曲线。并能够根据主机内置计算模型计算孔体积、比表面积和平均孔径等孔隙结构参数,测试精度误差<1.0%。实验前需将样品粉碎至1 cm3左右的块体,同样依据压汞法和气体吸附法测定固体材料孔径分布和孔隙度国家标准GB/T 21650.3—2011进行实验。孔体积利用Barret—Joyner—Halenda模型计算,比表面积利用Brunauer—Emmett—Teller模型计算。

1.3 分形维数计算方法

1.3.1 微孔分形维数计算

V—S模型最早由MANDELBROT14提出,利用固体多孔介质的孔体积和比表面积相关性计算出对应孔径孔隙的分形维数值。目前页岩微孔分形特征研究中V—S模型的应用较少,但页岩作为多孔沉积介质被认为符合V—S模型应用原理,具有一定的可行性,且已有研究表明其在页岩孔隙结构特征的研究中具有高计算精度特征,拟合优度高且稳定。但总体上V—S模型仅在微孔分形维数的计算上体现出了较高的适用性,对于介孔和宏孔分形维数计算过程适用性较低411,且应用的普及度仍待推广,计算过程中存在的具体参数的适用性和优劣性方面需进一步探索和验证。微孔分形维数计算过程如下:
L n V 1 = 3 D 1 L n S + k
式中:k为常数;V 1为累计孔体积,cm3/g;S为累计比表面积,m2/g;D 1为微孔分形维数,无量纲。

1.3.2 介孔分形维数计算

PFEIFERPER等15提出了F—H—H分形模型,也被称为F—H—H厚板理论,该模型被广泛应用于固体多孔介质分形表面的气体吸附行为拟合,经前人发展后的简化方程如下:
L n V = k + ( D 2 - 3 ) L n [ L n ( P 0 / P ) ]
式中:k为常数;V为阶段孔体积,cm3/g;P 0为气体饱和蒸气压,MPa;P为系统平衡压力,MPa;D 2为介孔分形维数,无量纲。

1.3.3 宏孔分形维数计算

MENGER海绵模型最早由MENGER16提出,是一个拓扑维数为1的通用分形计算曲线,认为任意曲线都同胚于MENGER海绵的某个子集。经学者们反复论证及其在煤岩等多孔介质中孔隙分形维数计算的广泛应用,最终被简化为目前的通用模型[式(3)]:
D 3 = 4 + L n ( d V P / d P ) / L n P
式中: D 3为宏孔分形维数,无量纲;V p为阶段孔体积,cm3/g;P为实验压力,MPa。

2 结果和讨论

2.1 孔隙分形维数

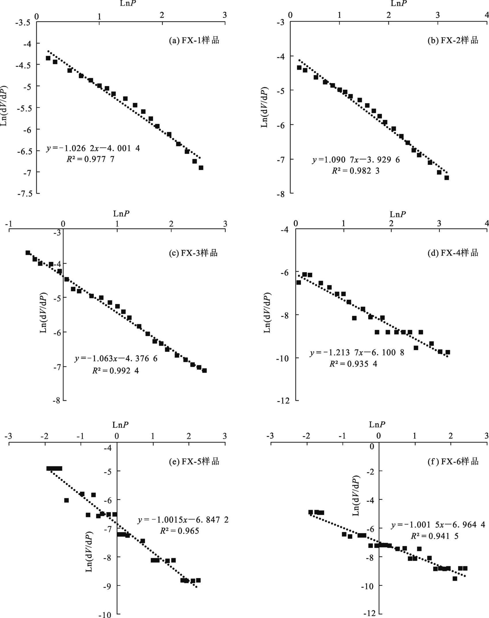
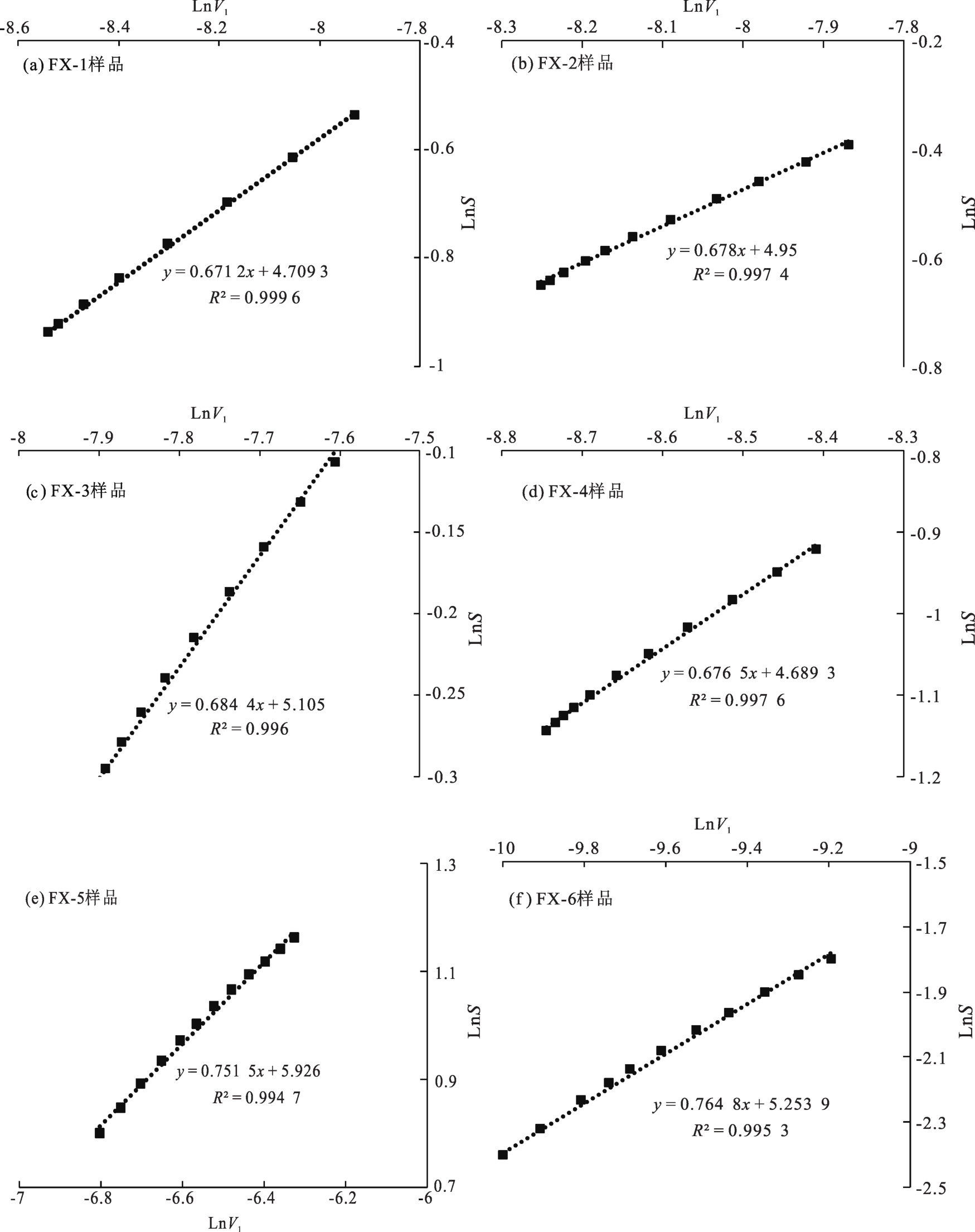
微孔分形维数D 1值介于2.013 6~2.294 4之间,平均为2.113 2(图2表1)。D 1计算结果平均值十分接近于页岩孔隙分形维数的理论最小值2,这表明研究区太原组海陆过渡相泥页岩中微孔表面光滑,粗糙程度低,孔隙结构相对简单。图2中泥页岩样品微孔分形维数计算过程中,V—S模型拟合优度高,6个样品的拟合相关系数R 2值皆大于0.99。介孔分形维数D 2值介于2.579 3~2.762 2之间,平均为2.640 5(图3表1)。说明泥页岩样品中介孔表面较为粗糙,孔隙结构相对复杂。需要注意的是本文研究中的计算结果明显小于,文献[417-18]中的微孔分形维数计算结果,这可能是由于计算孔径范围和计算模型共同造成的。文献[4]中应用了V—S模型计算低温二氧化碳吸附实验结果中微孔分形维数,文献[17-18]中应用F—H—H模型计算了低温氮气吸附实验结果中微孔分形维数,这说明V—S模型在页岩微孔分型模型计算中有良好的应用前景,但计算结果和拟合优度的影响因素方面仍需更深入的研究。F—H—H模型对泥页岩样品的介孔分形维数计算过程拟合优度极佳,6个样品的拟合优度相关系数R 2值全部大于0.998(图3)。宏孔分形维数D 3值介于2.786 3~2.998 5之间,平均为2.933 9(图4表1)。页岩中孔隙结构的分形维数介于2~3之间,而本文研究中D 3计算结果的平均值十分接近于分形维数的最大值,这表明泥页岩样品中宏孔孔隙结构复杂,孔表面粗糙程度高。
图2 微孔分形维数计算过程拟合图

Fig. 2 Fitting diagram of calculation process of micropore fractal dimension

表1 泥页岩样品孔隙分形维数计算结果

Table 1 Calculation results of pore fractal dimension of shale samples

孔隙类型 样品编号 拟合方程 拟合优度 分形 维数
微孔 FX-1 y= 0.671 2x+4.709 3 R² = 0.999 6 2.013 6
FX-2 y= 0.678x+4.95 R² = 0.997 4 2.034
FX-3 y= 0.684 4x+5.105 R² = 0.996 2.053 2
FX-4 y= 0.676 5x+4.689 3 R² = 0.997 6 2.029 5
FX-5 y= 0.751 5x+5.926 R² = 0.994 7 2.254 5
FX-6 y= 0.764 8x+5.253 9 R² = 0.995 3 2.294 4
介孔 FX-1 y=-0.362 2x+0.236 7 R² = 0.998 9 2.637 8
FX-2 y=-0.384 9x-0.398 R² = 0.998 3 2.615 1
FX-3 y=-0.237 8x+0.930 3 R² = 0.998 8 2.762 2
FX-4 y=-0.383 6x-0.721 6 R² = 0.999 9 2.616 4
FX-5 y=-0.420 7x+0.812 5 R² = 0.999 8 2.579 3
FX-6 y=-0.367 9x+0.869 R² = 0.999 3 2.632 1
宏孔 FX-1 y=-1.026 2x-4.001 4 R² = 0.977 7 2.973 8
FX-2 y=-1.090 7x-3.929 6 R² = 0.982 3 2.909 3
FX-3 y=-1.063x-4.376 6 R² = 0.992 4 2.937
FX-4 y=-1.213 7x-6.100 8 R² = 0.935 4 2.786 3
FX-5 y=-1.001 5x-6.847 2 R² = 0.965 2.998 5
FX-6 y=-1.001 5x-6.964 4 R² = 0.941 5 2.998 5
图3 介孔分形维数计算过程拟合图

Fig.3 Fitting diagram of calculation process of mesopore fractal dimension

图4 宏孔分形维数计算过程拟合图

Fig.4 Fitting diagram of calculation process of macropore fractal dimension

MENGER海绵模型对于泥页岩中宏孔分形维数同样具有较高的拟合优度,6个样品的拟合优度相关系数R 2值介于0.935 4~0.992 4之间,平均为0.965 7(图4)。
本文中D 1<D 2<D 3,代表了微孔—介孔—宏孔序列随孔径增大,分形维数变大,孔表面的粗糙程度也随之增加(图5)。此外,D 1D 2D 3的拟合优度相关系数也体现出了明显的差异性,微孔和介孔的拟合相关系数接近,跨度小,V—S模型和F—H—H模型拟合过程中的差异性低。而宏孔分形维数计算过程中,拟合优度相关系数分布区间广,跨度大,且分形维数值明显大于微孔和介孔,说明泥页岩中宏孔孔隙表面更粗糙。泥页岩成岩演化过程是孔隙结构特征的控制因素之一,鄂尔多斯盆地及南华北地区太原组泥页岩总体处于高成熟—过成熟热演化阶段19-20,对应了沉积有机质的中成岩阶段至晚成岩阶段(参照SY/T 5477—200分类方案)。该成岩演化阶段泥页岩中宏孔主要为脆性矿物和黏土矿物粒间孔等残余原生孔隙,和一定量的溶蚀孔和铸模孔等次生孔隙。而胶结、溶解、淋滤和重结晶等成岩作用破坏原生孔隙结构,使得孔隙表面粗糙。泥页岩中沉积有机质热演化的生烃和排烃过程形成的微观孔隙,对于微孔和介孔贡献巨大,是二者的重要组成部分,此外还包括一定量的残余黏土矿物层间孔21。有机质孔以椭圆形、新月形和凹坑形为主,孔隙表面光滑,黏土矿物层间孔以狭缝形孔为主1722-23,受压实作用影响,孔隙形态单一,非均质性较低。这决定了微孔和介孔的孔隙分形维数大幅度小于宏孔分形维数,尤以前者最为明显。
图5 微孔、介孔和宏孔分形维数散点图

Fig. 5 The scatter diagram of fractal dimensions of micropore, mesopore and macropore

本文计算的海陆过渡相泥页岩的微孔和介孔分形维数明显小于海相龙马溪组页岩1124。这说明研究区太原组泥页岩样品微孔和介孔孔隙结构复杂程度低于海相龙马溪组页岩。这是由于海相龙马溪组页岩热成熟度普遍更好,微孔和介孔主导的有机质内部孔隙更发育、孔隙结构更复杂造成的1125,导致了其内气体赋存能力也低于后者。而微孔和介孔是页岩孔体积和比表面积的主要贡献者522,推测这也是约束海陆过渡相页岩气大规模商业化开发的因素之一。相对而言,本文研究中的宏孔分形维数却明显大于前人1125对龙马溪组海相页岩的计算结果。这表明研究区海陆过渡相泥页岩中宏孔(凝聚—吸附孔和渗透孔)复杂程度高,这对海陆过渡相页岩气排采过程中气体解吸后的运移和渗流过程有一定的影响。

2.2 分形模型的拟合优度

分形维数计算过程中大多以拟合曲线的R 2值来表征计算模型对于孔隙的适用性,R²值判定的是拟合方程对实测数据的整体拟合优度,是阐述因变量y与所有自变量x之间的整体趋势。数值上,R²通过计算回归平方和与总平方和的比值获得,即拟合方程能够代表的因变量y的变异性的比例。R 2值愈接近于1,代表计算曲线的拟合优度愈高。前文得出V—S模型和F—H—H模型对于微孔和介孔分形维数计算的拟合优度高且稳定,而MENGER海绵模型虽对宏孔分形维数计算体现出了较高的拟合优度,但拟合曲线的R 2值明显小于微孔和介孔分形维数计算过程,且分布跨度大。前人对压汞宏孔分形维数计算中也发现了拟合优度分布跨度大,拟合稳定性差的现象,由此可推测页岩宏孔分形维数计算模型及其适用性仍需要进一步的探索,以期得到拟合优度更高,稳定性更好的计算模型。
不同于前人对于高压压汞实验孔隙测试结果或低温氮气吸附实验测试结果仅用单一的MENGER海绵模型或F—H—H模型计算孔隙分形维数的处理方法,本文研究中分别计算了泥页岩中微孔、介孔和宏孔的分形维数,微孔和介孔选用测试精度更高的低温氮气吸附实验测试结果,宏孔选用高压压汞实验测试结果。且3类孔隙分别选用V—S模型,F—H—H模型和MENGER海绵模型计算,并引用和对比前人关于页岩中孔隙分形维数计算的研究成果,探讨本文研究中各模型对各类孔隙的适用性(图6)。图6(a)中,本文研究中V—S模型对于泥页岩微孔分形维数计算过程的拟合优度高且稳定,R 2值全部大于0.99;而刘世明等26使用F—H—H模型的计算结果虽同样较为稳定,但拟合优度明显较差,R 2值皆小于0.9;刘纪坤等27使用F—H—H模型的计算结果中R 2值介于0.6~0.99之间不等,拟合优度较低且稳定性差。这表明对于页岩中微孔分形维数计算过程,V—S模型相较于F—H—H模型有明显的优势性。图6(b)中,F—H—H模型对于泥页岩介孔分形维数计算的拟合优度极佳,R 2值全部大于0.998,拟合误差小于2‰;曹磊等28使用F—H—H模型对低温氮气测试结果(包括微孔、介孔和一部分宏孔)分形维数计算的拟合优度同样较高且相对稳定,R 2值大于0.95;高丽蓉等18使用与曹磊等28相同方法得出的计算结果稍差,R 2值介于0.82~0.98之间;刘纪坤等27使用F—H—H模型计算了介孔分形维数,R 2值大于0.97,且较为稳定。这表明F—H—H模型对于低温液氮测试结果孔隙分形维数计算具有良好的适用性,但对测试结果中所有孔径孔隙直接进行分形维数计算会导致模型的拟合优度降低,而当只计算介孔分形维数时,F—H—H模型体现出了高且稳定的拟合优度。
图6 微孔(a)、介孔(b)和宏孔(c)分形维数计算结果拟合优度

Fig.6 The Goodness of fit of the calculation in micropore (a), mesopore (b) and macropore (c) fractal dimensions

图6(c)中,本文中MENGER海绵模型对泥页岩宏孔分形维数同样体现出了较高拟合优度,R 2值介于0.935 4~0.992 4之间,但相对于V—S模型和F—H—H模型对于微孔和介孔分形维数的计算,拟合优度和稳定性皆有所降低。王志伟等29利用MENGER海绵模型计算了2件泥岩样品中宏孔分形维数,R 2值分别为0.904 2和0.894 6,拟合优度相对较低。赵千慧等30利用MENGER海绵模型计算了4件页岩样品中宏孔分形维数值,拟合优度不佳且R 2值分布跨度大。此外,胡琳等23的研究结果与本文中的拟合优度和稳定性的结果类似。这说明虽然MENGER海绵模型在页岩中宏孔分形维数计算中最为广泛应用,也体现出了较高的拟合优度。但相对于V—S模型和F—H—H模型对于微孔和介孔的高且稳定的拟合优度,仍有较大的差距。宏孔分形维数计算模型仍需要进一步的寻找和论证,以期寻得最佳拟合模型。

2.3 对海陆过渡相页岩气开发的启示

付常青等31和BU等32 认为微孔和介孔主要控制气体的吸附和扩散过程,宏孔控制气体的渗流过程。分形维数和比表面积呈良好的线性正相关关系2426,所以一般认为高分形维数代表了更复杂的孔隙结构和储气能力,在孔隙结构方面代表了更高的开发潜力。而前文得出本文研究中微孔和介孔的分形维数明显小于龙马溪组海相页岩储层的计算结果1124,说明过渡相页岩气储层的气体储集能力弱于后者;宏孔分形维数的计算结果与龙马溪组页岩较为接近,甚至稍高1124,说明海陆过渡相页岩气储层宏孔表面相对更为粗糙,气体渗流过程的流动阻碍更大,分析认为这也是海陆过渡相页岩气开发潜力低于海相页岩气的一个重要原因。此外,目前页岩气开发过程中需通过水力压裂技术增产,而过渡相页岩气储层具高黏土矿物特征,黏土矿物的“湿陷性”“水敏性”和水锁效应等导致的储层伤害使得压裂裂隙延伸能力差,裂隙开启度低,三维裂缝网络立体性和连通性差,与微观孔裂隙的沟通能力差,导致了微孔和介孔中气体解吸、扩散和产出过程更困难,限制了海陆过渡相页岩气的商业化开发进程。我国海陆过渡相页岩气以在鄂尔多斯盆地和沁水盆地多口钻井的多个层位钻遇工业性气流,总体上开发潜力可观,但仍需新型开发技术的突破,特别是压裂增产技术方面。

3 结论

(1)本文研究中V—S模型,F-H-H模型和MENGER海绵模型分别对太原组海陆过渡相泥页岩中微孔、介孔和宏孔分形维数体现出了良好的拟合效果,样品微孔、介孔和宏孔分形维数值呈增大趋势,随孔径增加,孔隙表面愈发粗糙;微孔和介孔分形维数计算结果明显小于前人对海相龙马溪组泥页岩的计算结果,可视为其气体吸附能力弱于后者的原因之一,而其宏孔分形维数却明显大于后者,这阻碍了泥页岩中气体的渗流过程。
(2)V—S模型对页岩中微孔分形维数计算结果的拟合优度远高于当前研究中广泛应用的F—H—H模型;F—H—H模型对介孔分形维数计算过程的适用度更高,优于对低温氮气吸附实验测试结果全部孔径孔隙的计算结果;MENGER海绵模型对宏孔分形维数计算的拟合优度高于介孔,是目前宏孔分形维数最优的计算模型,但在拟合优度和稳定性方面仍有较大的提升空间。
1
张福, 黄艺, 蓝宝锋, 等. 正安地区五峰组—龙马溪组页岩储层特征及控制因素[J]. 地质科技通报,2020,40(1):49-56.

ZHANG F, HUANG Y, LAN B F, et al. Characteristics and controlling factors of shale reservoir in Wufeng Formation-Longmaxi Formation of the Zheng'an area[J]. Bulletin of Geological Science and Technology,2020,40(1):49-56.

2
LOUCKS R G, REED R M, RUPPEL S C, et al. Morphology, genesis, and distribution of nanometer scale pores in siliceous mudstones of the Mississippian Barnett Shale[J]. Journal of Sedimentary Research, 2009, 79(12):848-861.

3
陈林, 陈孝红, 张保民, 等. 鄂西宜昌地区五峰组—龙马溪组页岩储层特征及其脆性评价[J]. 地质科技通报, 2020, 39(2):54-61.

CHEN L, CHEN X H, ZHANG B M, et al. Reservoir characteristics and brittleness evaluation of Wufeng Formation-Longmaxi Formation shale in Yichang area, western Hubei Province[J]. Bulletin of Geological Science and Technology, 2020, 39(2):54-61.

4
谢卫东. 川南长宁地区龙马溪组储层特征与页岩气保存条件[D]. 徐州: 中国矿业大学, 2020.

XIE W D. Reservoir Characteristics and Shale Gas Preservation of the Longmaxi Formation in the Changning Area, South Sichuan[D]. Xuzhou: China University of Mining and Technology, 2020.

5
WANG M, XIE W D, HUANG K, et al. Fine characterization of lithofacies and pore network structure of continental shale: Case study of the Shuinan Formation in the north Jiaolai Basin, China[J]. Journal of Petroleum Science and Engineering, 2019, 175:948-960.

6
闫高原, 韦重韬, 宋昱, 等. 基于 Ar-SEM 及 PCAS 页岩孔隙结构定量表征[J]. 地球科学, 2018, 43(5):1602-1610.

YAN G Y, WEI C T, SONG Y, et al. Quantitative characterization of shale pore structure based on Ar-SEM and PCAS[J]. Earth Science, 2018, 43(5):1602-1610.

7
刘凯, 石万忠, 王任, 等. 鄂尔多斯盆地杭锦旗地区盒 1 段致密砂岩孔隙结构分形特征及其与储层物性的关系[J]. 地质科技通报, 2021, 40(1):57-68.

LIU K, SHI W Z, WANG R, et al. Pore structure fractal characteristics and its relationship with reservoir properties of the first member of lower Shihezi Formation tight sandstone in Hangjinqi area,Ordos Basin[J]. Bulletin of Geological Science and Technology,2021,40(1):57-68.

8
LIU J, YAO Y, LIU D, et al. Comparison of pore fractal characteristics between marine and continental shales[J]. Fra-ctals, 2018, 26(5):1840016.

9
SHAO X, PANG X, LI Q, et al. Pore structure and fractal characteristics of organic-rich shales: A case study of the Lower Silurian Longmaxi shales in the Sichuan Basin, SW China[J]. Marine & Petroleum Geology, 2017, 80:192-202.

10
LIU K, OSTADHASSAN M, KONG L. Fractal and Multifractal characteristics of pore throats in the Bakken Shale[J]. Transport in Porous Media, 2019, 126(3):579-598.

11
XIE W D, WANG M, WANG X Q, et al. Nano-Pore Structure and fractal characteristics of shale gas reservoirs: A case study of Longmaxi Formation in southeastern Chongqing,China[J].Journal of Nanoscience and Nanotechnology,2021, 21(1):343-353.

12
张闯辉,朱炎铭,刘宇,等.不同成熟度页岩孔隙及其分形特征[J]. 断块油气田,2016,23(5):583-588.

ZHANG C H, ZHU Y M, LIU Y, et al. Pore and fractal characteristics of shale in different maturity[J]. Fault-Block Oil and Gas Field, 2016, 23(5):583-588.

13
EVERETT D H, KOOPAL L K. International union of pure and applied chemistry[J]. Polymer, 2001, 31(8):1598-1598.

14
MANDELBROT B B. The fractal geometry of nature[J]. American Journal of Physics, 1983, 51(3):286-286.

15
PFEIFERPER P, AVNIR D. Chemistry nonintegral dimensions between two and three[J]. Journal of Chemical Physics. 1983, 79(7):3369-3558.

16
MENGER K. Dimensionstheorie[M]. Wiesbaden: Vieweg+Teubner Verlag Publishers, 1928:1-324.

17
陈斐然, 魏祥峰, 刘珠江, 等. 四川盆地二叠系龙潭组页岩孔隙发育特征及主控因素[J]. 天然气地球科学, 2020, 31(11):1593-1602.

CHEN F R, WEI X F, LIU Z J, et al. Pore development characteristics and main controlling factors of the Permian marine-continent transitional shale in the Sichuan Basin[J]. Natural Gas Geoscience. 2020, 31(11):1593-1602.

18
高丽蓉, 杨甫, 马东民,等. 基于低温氮吸附的彬长矿区4号煤孔隙分形特征研究[J]. 非常规油气, 2020, 7(5):45-53.

GAO L R, YANG F, MA D M, et al. Study on pore fractal characteristics of No.4 coal in Binchang mining area based on low temperature nitrogen adsorption[J]. Unconventional Oil & Gas, 2020, 7(5):45-53.

19
谢卫东, 王猛, 代旭光, 等. 山西河东煤田中—南部煤系页岩气储层微观特征[J]. 天然气地球科学,2019,30(4):512-525.

XIE W D, WANG M, DAI X G, et al. Microscopic characteristics of shale gas reservoirs in middle and southern coal measures of Hedong Coalfield, Shanxi Province[J]. Natural Gas Geoscience, 2019, 30(4):512-525.

20
翟刚毅, 王玉芳, 刘国恒, 等. 中国二叠系海陆交互相页岩气富集成藏特征及前景分析[J]. 沉积与特提斯地质, 2020, 40(3):102-117.

ZHAI G Y, WANG Y F, LIU G H, et al. Enrichment and accumulation characteristics and prospect analysis of the Permian marine continental multiphase shale gas in China[J]. Sedimentary Geology and Tethyan Geology, 2020, 40(3):102-117.

21
谷渊涛, 李晓霞, 万泉, 等. 泥页岩有机质孔隙差异特征及影响因素分析——以我国典型海相、陆相、过渡相储层为例[J]. 沉积学报, 2021, 39(4):794-810.

GU Y T, LI X X, WAN Q, et al. On the different characteristics of organic pores in shale and their influencing factors: Taking typical marine, continental, and transitional facies reservoirs in China as examples[J]. Acta Sedimentologica Sinica, 2021, 39(4):794-810.

22
谢卫东, 王猛, 代旭光. 渝东南地区下志留统龙马溪组页岩吸附CO2特征及影响因素分析[J]. 河南理工大学学报(自然科学版), 2018, 37(6):85-93.

XIE W D, WANG M, DAI X G. CO2 adsorption characteristics and its affecting factors of Lower Silurian, Longmaxi Formation shale in southeast Chongqing[J]. Journal of Henan Polytechnic University(Natural Science),2018,37(6):85-93.

23
胡琳,朱炎铭,陈尚斌,等. 蜀南双河龙马溪组页岩孔隙结构的分形特征[J]. 新疆石油地质,2019,34(1):79-82.

HU L,ZHU Y M,CHEN S B, et al. Fractal characteristics of shale pore structure of Longmaxi Formation in Shuanghe area in Southern Sichuan[J]. Xinjiang Petroleum Geology, 2019,34(1):79-82.

24
肖磊, 李卓, 杨有东, 等. 渝东南下志留统龙马溪组不同岩相页岩的孔隙结构与分形特征[J]. 科学技术与工程, 2021, 21(2):512-521.

XIAO L, LI Z, YANG Y D, et al. Pore structure and fractal characteristics of different lithofacies shales of the Lower Silurian Longmaxi Formation in southeast Chongqing[J]. Science Technology and Engineering,2021,21(2):512-521.

25
李磊.页岩孔渗特性的分维特征及储层预测意义[J]. 煤炭技术, 2021, 39(7):65-68.

LI L. Fractal dimension features of porosity and permeability of shale and significance of reservoir forecast[J]. Coal Technology, 2021, 39(7):65-68.

26
刘世明,唐书恒,霍婷,等.柴达木盆地东缘上石炭统泥页岩孔隙结构及分形特征[J]. 天然气地球科学,2020,31(8):1069-1081.

LIU S M, TANG S H, HUO T, et al. Pore structure and fractal characteristics of the Upper Carboniferous shale, eastern Qaidam Basin[J]. Natural Gas Geoscience. 2020, 31(8):1069-1081.

27
刘纪坤, 李成柱, 王翠霞. 气煤的孔隙分形特征对瓦斯吸附的影响[J]. 煤矿安全, 2020, 51(9):7-11,16.

LIU J K, LI C Z, WANG C X. Effect of pore fractal characteristics of gas coal on gas adsorption[J]. Safety in Coal Mines, 2020, 51(9):7-11,16.

28
曹磊, 郭英海. 沁水盆地东部武乡区块泥页岩孔隙结构特征研究[J]. 煤炭科学技术, 2020, 48(4):230-236.

CAO L, GUO Y H. Study on pore structure characteristics of mud shale in Wuxiang block of eastern Qinshui Basin[J]. Coal Science and Technology, 2020, 48(4): 230-236.

29
王志伟,王民,卢双舫,等.基于高压压汞法的泥页岩储层分形研究——以松辽盆地青山口组湖相泥岩为例[J]. 河南科学, 2015,30(7):1206-1213.

WANG Z W, WANG M, LU S F, et al. Fractal characteristics of shale based on the mercury injection method[J]. Henan Science, 2015, 30(7):1206-1213.

30
赵千慧,李治平,赖枫鹏,等.页岩气藏岩石孔隙分形特征[J].辽宁工程技术大学学报(自然科学版),2016,35(9):914-919.

ZHAO Q H,LI Z P,LAI F P,et al.Fractal characteristics of rock pores in shale gas reservoir[J]. Journal of Liaoning Technical University(Natural Science Edition),2016,35(9):914-919.

31
付常青, 朱炎铭, 陈尚斌. 浙西荷塘组页岩孔隙结构及分形特征研究[J]. 中国矿业大学学报, 2016, 45(1):77-86.

FU C Q, ZHU Y M, CHEN S B. Pore structure and fractal features of Hetang formation shale in western Zhejiang[J]. Jou-rnal of China University of Mining & Technology,2016,45(1):77-86.

32
BU H, JU Y, WANG G, et al. Fractal characteristics of pores in non-marine shales from the Huainan coalfield, eastern China[J]. Journal of Natural Gas Science & Engineering,2015,24:166-177.

Outlines

/