Geochemical characteristics and enrichment regularity of deep gas in Xingshan Sag, Songliao Basin

  • Qing-chang RAN , 1 ,
  • Shu-ming CHEN 1 ,
  • Xiang ZHOU 1, 2
Expand
  • 1. Exploration and Production Research Institute,Daqing Oilfield Company,Daqing 163712,China
  • 2. School of Petroleum Engineering,Northeast Petroleum University,Daqing 163316,China

Received date: 2020-07-28

  Revised date: 2020-10-12

  Online published: 2021-04-27

Supported by

The National Natural Science Foundation of China(51574088)

the Provincial Outstanding Young Reserve Talents Project of Northeast Petroleum University(SJQHB201802)

Highlights

In order to make clear the generation and enrichment regularity of deep gas in Xingshan Sag of Songliao Basin, we systematically analysed the geochemical characteristic of deep gas, based on comprehensive data such as chemical components and carbon isotope composition in 76 wells. The results show that the gas in Huoshiling Formation is short of methane and enrichment of heavy hydrocarbon, and carbon isotope is the lightest. While the gas in Denglouku Formation is characterized by enrichment of methane and short of heavy hydrocarbon, carbon isotope is the greatest. Gas in Yingcheng Formation is somewhere in between. The generation of deep gas in different layers are not exactly corresponding to each other, the gas in Huoshiling Formation is a mixture of coal-formed gas and oil-related gas, while gas in Yingcheng Formation is mainly coal-formed gas with little amount of oil-related gas. Mixing of oil-related gas with coal-formed gas is the reason for δ13C1 and δ13C2 partial reversal. The gas in Denglouku Formation is all coal-formed gas, the mixture of coal-formed gas with different maturity stages is the reason for δ13C2 and δ13C3 partial reversal. The fault is the necessary pathway for gas migration and accumulation among different genetic types, while gas of different genetic types and high-yielding gas wells are all affected by the distribution of mudstone and coal, the enrichment of deep gas is controlled by the combined effect of source and fault.

Cite this article

Qing-chang RAN , Shu-ming CHEN , Xiang ZHOU . Geochemical characteristics and enrichment regularity of deep gas in Xingshan Sag, Songliao Basin[J]. Natural Gas Geoscience, 2021 , 32(5) : 727 -737 . DOI: 10.11764/j.issn.1672-1926.2020.11.015

0 引言

随着中、浅层油气探明程度的提高和资源潜力下降,探明程度低、资源潜力巨大的盆地深层气正成为油气勘探重要的接替领域1。松辽盆地深层天然气在近十余年的勘探中也不断取得突破,前人对盆地深层天然气地球化学特征和成因进行了广泛研究,如杨春等2通过热模拟实验和烷烃气碳同位素组成分析指出庆深气田部分甲烷为无机成因,而重烃气则主要为有机成因;张居和等3认为徐家围子断陷深层天然气存在腐殖型气、腐泥型气和有机深源气等3种成因类型,不同地区天然气是3种有机成因气混合作用的产物;罗霞等4提出松辽盆地深层天然气具有多种来源,徐家围子断陷深层天然气具有煤型气的特征或煤型气的混入;宋振响等5认为梨树断陷深层气主要为有机成因,存在单源型油型气和油型气、煤型气混源型2种类型;但长期以来勘探和研究重点一直聚焦于营城组火山岩气藏6。近年来随着盆地深层非常规油气勘探的不断突破7,火石岭组和登娄库组致密砂岩气正成为盆地深层勘探潜力精细挖潜的主要对象。因此,系统分析深层不同层位非常规天然气成因及富集规律就成为扩大深层天然气勘探规模的重要内容。本文研究通过杏山凹陷214个样品天然气组分和碳同位素测试,系统分析火石岭组、营城组和登娄库组天然气地球化学特征差异及成因类型,为深化该区天然气成藏规律认识提供地质依据。

1 区域地质概况

徐家围子断陷是松辽盆地深层发现天然气最早、探明储量最大的深部断陷,丰乐、升平低凸起将其分割为安达、杏山和肇州凹陷等3个次级凹陷,构成“两隆三凹”的构造格局(图1),天然气勘探开发集中于杏山凹陷。凹陷深层烃源岩为强烈伸展断陷期沉积的沙河子组煤、炭质泥岩和暗色泥岩8,下部沙一段烃源岩主要为浅湖—半深湖相暗色泥岩,呈南北向条带状展布,具有东西两翼薄、中部厚度大的特点,最大厚度达600~800 m;上部沙二段发育的冲积平原沼泽、滨浅湖相煤和炭质泥岩集中于凹陷东部斜坡和北部凸起,最大厚度为102 m;2套烃源岩TOC值平均为1.41%和2.43%,有机质类型分别为II2型和III型,部分为II1型,R O值分别在2.16%~3.51%之间和2.07%~2.84%之间,平均为2.63%和2.58%,均处于过成熟阶段。
图1 研究区构造位置及深层地层综合柱状图

Fig.1 Location of the study area and comprehensive stratigraphic column of deep layer

2 深层天然气的组分特征

杏山凹陷深层天然气总体以烃类气为主,但不同层位天然气组成略有差异。火石岭组甲烷含量分布在50.87%~98.39%之间,平均为88.21%,明显低于营城组和登娄库组,重烃含量分布在0~19.26%之间,平均为3.39%,干燥系数平均为96.63%,随埋深增加,重烃含量增加、干燥系数减小[图2(a),图2(b)];营城组甲烷含量为44.93%~98.43%,平均为90.32%,重烃含量为0~15.82%,平均为2.53%,干燥系数平均为97.56%;登娄库组甲烷含量分布在57.13%~98.78%之间,平均为90.45%,重烃含量最低,平均仅有1.81%,干燥系数普遍超过95%,平均为98.03%。
图2 杏山凹陷深层天然气组分特征

Fig.2 Characteristic of gas composition in deep gas in Xingshan Sag

深层天然气中非烃气含量较低,不同层位非烃气组成差异较大。火石岭组和营城组非烃气以CO2为主,分别为0.13%~84.92%和0~95.87%,平均为14.20%和12.63%,N2含量次之,分别在0~4.22%和0~44.49%之间,平均为1.68%和3.49%;登娄库组非烃气则以N2为主,分布在1.13%~64.91%之间,平均为13.41%,CO2含量较少,分布在0~5.38%之间,平均为0.59%。

3 深层天然气碳同位素组成

3.1 烷烃气碳同位素组成

深层天然气甲烷碳同位素(δ13C1)分布相对集中,火石岭组δ13C1值最低,介于-47.8‰~-23.8‰之间,平均为-28.6‰;营城组δ13C1值次之,分布在-38.4‰~-15.5‰之间,平均为-27.9‰;登娄库组δ13C1值最高,分布在-35.2‰~-21.2‰之间,平均为-25.1‰(图3),不同层位天然气δ13C1与埋深、干燥系数相关性较好[图2(c),图2(e)],表明δ13C1主要受成熟度作用影响9
图3 杏山凹陷深层天然气碳同位素分布直方图

Fig.3 Histogram of stable carbon isotopes in deep gas in Xingshan Sag

重烃碳同位素分布范围较宽,火石岭组δ13C2值分布在-35.6‰~-23.0‰之间,平均为-28.7‰,δ13C3值在-39.6‰~-29.6‰之间,平均为-32.2‰;营城组δ13C2值和δ13C3值分别介于-43.2‰~-21.6‰和-39.3‰~-26.3‰之间,平均为-32.0‰和-30.6‰;登娄库组δ13C2值和δ13C3值分别在-27.8‰~-21.2‰和-29.6‰~-21.7‰之间,平均为-24.3‰和-25.0‰,不同层位天然气δ13C2与埋深、干燥系数相关性较差[图2(d),图2(f)],表明δ13C2与成熟度关系不大10,主要由生烃母质类型决定。
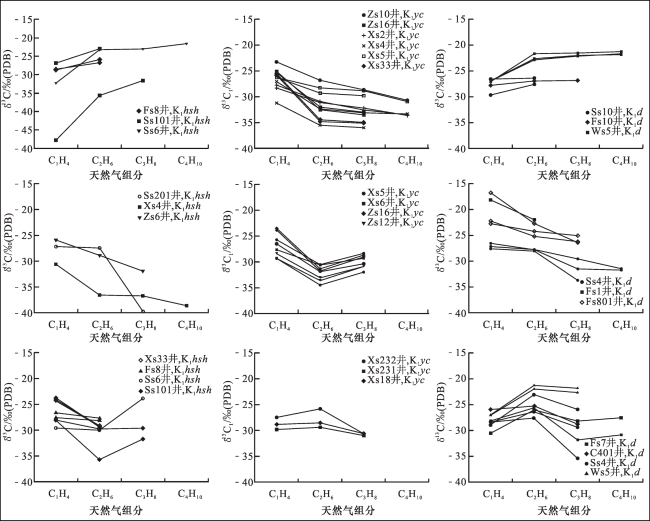
深层天然气大部分样品发生组分碳同位素部分倒转,其中火石岭组主要为δ13C1、δ13C2倒转(δ13C113C213C3),部分为反序分布(δ13C113C213C3);营城组既有δ13C1、δ13C2倒转,如Xs5井、Xs6井、Zs16样品,又有δ13C2、δ13C3倒转(δ13C113C213C3),如Xs232井、Xs213井、Xs18井样品;登娄库组大部分样品为δ13C2、δ13C3倒转或反序分布(图4),表明深层天然气可能经历了散失、分馏或混合等作用的改造。仅Fs8井、Ss101井、Ss6井火石岭组和Ss10井、Fs10井、Ws5井登娄库组样品为正序分布,指示其为原生的天然气,未经历次生改造。
图4 杏山凹陷深层天然气碳同位素分布特征

Fig.4 Characteristic of stable carbon isotopes of hydrocarbon component of deep gas in Xingshan Sag

3.2 二氧化碳同位素组成

火石岭组 δ 13 C C O 2值分布在-5.5‰~-1.8‰之间,平均为-3.6‰。营城组 δ 13 C C O 2值分布范围较宽, δ 13 C C O 2值从-33.2‰到-0.1‰均有分布,平均为-8.2‰, δ 13 C C O 2值与δ13C1w(CO2)间相关性差,表明二氧化碳气来源复杂。

4 深层天然气的成因

4.1 烃类气成因

烷烃气根据原始物质来源可分为有机成因和无机成因2种类型,通常无机成因气δ13C1>-30‰,组分碳同位素表现为碳同位素反序的特征11。Fs801井、Fs701井和Fs9井营城组δ13C1值分布在-24.54‰~-29.35‰之间,碳同位素呈反序分布,且w(CH4)<10%,几乎不含乙烷、丙烷等重烃,而w(CO2)高达89.02%~96.51%,为典型无机成因甲烷。
虽然深层天然气大部分样品发生不同类型碳同位素部分倒转,但碳同位素反序不是无机成因烷烃气所独有的,费托合成实验证实在较高的热演化程度下,沙河子组暗色泥岩和煤生成的油型气、煤型气混合可导致烃类气碳同位素部分倒转甚至反序12。研究区深层天然气普遍处于高—过成熟阶段,δ13C1w(CH4)关系也表明深层烃类气主要为有机成因[图5(a)]。
图5 杏山凹陷深层烃类气成因识别

Fig.5 Genesis recognize of deep gas in Xingshan Sag

火石岭组、营城组和登娄库组间天然气成因类型不完全一致,不同层位天然气δ13C2值存在较大差异,但同一层段内天然气δ13C2与埋深相关性较好,表明同一层位天然气具有相同或相似的成因。火石岭组在更大埋深条件下仍保留较多的重烃组分,δ13C2组成偏轻且分布范围较宽,38.67%的样品为δ13C2<-29‰的油型气,营城组也有20.56%的样品δ13C2<-29‰,为典型油型气,而登娄库组重烃含量较低,所取样品δ13C2值均大于-29‰,指示其全部为煤型气。δ13C2与δ13C1和δ13C2与δ13C3关系也表明,火石岭组和营城组以煤型气为主,同时存在部分油型气[图5(b),图5(c)],登娄库组则全部为煤型气或混合气。在δ13C1与C1/(C2+3)交会图中,火石岭组大部分样品落在IV区,而Xs33井样品落在II1区,表明其主要为煤型气,同时存在部分油型气,营城组样品大部分落在IV区,凹陷中部Xs9井、Xs12井样品落在III1、II2区,表明其为煤型气和油型气的混合气,登娄库组则全部落在IV区,指示其为煤型气[图5(d)]。δ13C2-δ13C1和δ13C2关系也表明,火石岭组天然气气源岩既有晚期腐殖型,又有腐泥型[图5(e)],营城组为晚期腐殖型和晚期腐泥型,登娄库组全部为晚期腐殖型,进一步表明火石岭组、营城组为混源气,登娄库组为高—过成熟煤型气[图5(f)]。

4.2 非烃类气成因

通常有机成因 δ 13 C C O 2值小于-10‰,无机成因 δ 13 C C O 2值大于-8‰13。火石岭组和营城组 δ 13 C C O 2普遍大于-8‰,仅少数样品小于-10‰, δ 13 C C O 2w(CO2)关系表明,火石岭组所取得的样品中CO2全部为无机成因[图6(a)]。营城组大部分CO2为幔源的无机气,有机成因的CO2则是生烃期干酪根裂解作用的产物[图6(b)]。
图6 杏山凹陷深层天然气CO2成因特征

Fig.6 Genetic feature of CO2 in deep gas in Xingshan Sag

5 深层天然气来源及富集规律

5.1 深层天然气气源

深层气中δ13C1与δ13C2、δ13C3、δ13C4相关性差,而δ13C2与δ13C3、δ13C2与δ13C4、δ13C4与δ13C3相关性好,指示深层气中重烃组分来源单一,与甲烷来源不同。火石岭组、营城组和登娄库组不同成因类型天然气的分布具有明显规律,火石岭组δ13C2值在凹陷中部最小,δ13C2<-29‰的油型气也集中于凹陷中部Xs33井、Zs6井区,升平凸起和徐东斜坡处δ13C2组成较重[图7(a)];营城组δ13C2也具有类似的分布特征,凹陷中部Xs14井、Xs7井和Xs9井区以δ13C2<-29‰的油型气为主,从凹陷中部向徐东斜坡δ13C2组成变重,δ13C2>-29‰的煤型气主要分布在徐东斜坡Xs21、Xs11井区和升平凸起Ss11井区[图7(b)]。通常腐泥型气比腐殖型气具有更低的δ13C1值和δ13C2值,凹陷中部湖相烃源岩更为发育,腐泥型组分含量高,C2以上重烃大部分来自腐泥型有机质,加之深层天然气横向运移距离不大,造成具有较轻δ13C2的油型气集中在断陷中部过成熟泥质烃源岩发育区[图7(c)]。登娄库组具有较高δ13C2值的煤型气全部集中于凹陷北部升平凸起Ws5井、Ss10井和Fs10井等过成熟的煤系烃源岩发育区[图7(d)]。
图7 杏山凹陷深层油型气、煤型气分布与沙河子组烃源岩关系

(a)营城组、火石岭组油型气与沙河子组暗色泥岩分布;(b)营城组、登娄库组煤型气与沙河子组煤岩分布;(c)营城组、火石岭组油型气与沙河子组暗色泥岩成熟度;(d)营城组、登娄库组煤型气与沙河子组煤岩成熟度

Fig.7 Distribution of different kinds of natural gas and source rock of Shahezi Formation in Xingshan Sag

5.2 深层天然气碳同位素倒转原因

甲烷及其同系物碳同位素倒转主要存在有机成因和无机成因烷烃气混合、天然气某些组分遭受细菌氧化导致剩余组分碳同位素组成变重、煤型气与油型气混合、同型不同源或同源不同期天然气混合等4种成因14。Fs9井、Fs701井、Fs801井、Zs8井营城组为无机成因的高含CO2气,气藏中见典型无机成因甲烷,邻近的Fs7井、Zs16井和Xs17等井营城组样品中均发生碳同位素反序,表明无机与有机成因烃类气混合可能是造成Fs7、Zs16和Xs17井营城组烃类气碳同位素反序的重要原因。但研究区无机成因甲烷含量低,集中在徐西断裂附近,而凹陷中部和北部凸起、东部斜坡区火石岭组、营城组和登娄库组仍以有机成因为主,未发现无机成因甲烷及微生物氧化破坏现象,且凹陷中部和东部斜坡区样品普遍发生组分碳同位素部分倒转,甚至反序分布。因此,煤型气与油型气的混合或同源不同期天然气混合是导致深层天然气碳同位素普遍发生倒转的主要原因。
通常相同成熟度的煤型气比油型气的干燥系数高,其δ13C1、δ13C2也重于具有相近成熟度油型气的δ13C1、δ13C2,当相同成熟度烃源岩形成的煤型气和油型气混合时,容易产生碳同位素系列部分倒转,四川南部常见由煤型气和油型气混合导致的δ13C1和δ13C2倒转15。火石岭组主要为δ13C1、δ13C2倒转,集中于凹陷中部Xs4井、Xs33井、Zs6井区,营城组发生δ13C1、δ13C2倒转的样品主要位于Xs13井、Xs14井、Xs901井、Xs9井和Xs302井等凹陷中部煤和暗色泥岩混合发育区,推测煤型气和油型气混合可能是造成倒转的主要原因。烷烃组分中δ13C213C3可能是母源生成的后期较高成熟气体增加所致16,深层气中δ13C2、δ13C3倒转主要位于徐东斜坡和升平凸起等煤系烃源岩发育区,如徐东斜坡Xs232井、Xs213井、Xs18井营城组和升平凸起Ss8井、Ss10井登娄库组样品中。营城组和登娄库组气藏形成时均经历了多次充注17,过成熟阶段形成的煤型气沿断裂向上运移与早期相对低成熟阶段形成的煤型气混合是造成营城组、登娄库组δ13C2、δ13C3倒转的主要原因。
图8 杏山凹陷深层气碳同位素倒转类型与断裂分布关系

Fig.8 Types of carbon isotope reversal in deep gas and its relationship between fault in Xingshan Sag

5.3 深层气富集规律

杏山凹陷深层气δ13C1与深度呈较好的负相关,不同地区天然气δ13C1无明显差异,表明深层气以垂向运移为主。凹陷西部徐西断裂向下断至基底,无机成因CO2气藏也多呈点状集中在徐西断层附近,可能是深部幔源气沿深大断裂和地幔沟通的活动部分上涌聚集而成的。
凹陷东部徐东断裂向下断至沙河子组,使东部斜坡煤系烃源岩生成的煤型气易于沿断裂向上垂直运移,在紧邻生烃中心的登娄库组Ss6-Ss8鼻状凸起、营城组Xs3-Xs44断层—岩性圈闭中就近成藏(图9)。火石岭组气藏则分布在凹陷中部徐中断裂附近,是油型气在生烃期异常压力作用下向下聚集的结果。
图9 杏山凹陷深层登娄库组—火石岭组气藏剖面(剖面位置见图1)

Fig.9 Profile of gas reservoir from Denglouku to Huoshiling formations in deep layer in Xingshan Sag(see Fig.1 for the section Location)

优质烃源岩是深层气形成的物质基础,决定了不同成因类型气藏的分布。断陷早期,凹陷中部的暗色泥岩随盆地下陷被埋藏并达到生烃门限,至晚白垩世进入高—过成熟阶段生成大量油型气,在邻近凹陷中部的岩性圈闭中聚集成藏,控制了火石岭组、营城组油型气的分布。随着断裂活动减弱、湖盆水体变浅,徐东斜坡和升平低凸起堆积的煤、碳质泥岩开始生烃,在晚白垩世末达到成烃高峰,煤型气也沿断层向上运移到徐东斜坡的断层圈闭和升平凸起的局部高点聚集成藏,煤系烃源岩分布是限制营城组、登娄库组煤型气分布的重要因素。烃源岩和断层的联合作用控制了深层天然气富集,杏山凹陷高产气井通常分布在生气强度大于200×108 m3/km2范围内(图10),而位于断裂附近的Xs605井、Xs8井、Xs9井、Xs902井和Ss201井虽然生气强度较低,但仍具有较高的试气产能,可能是断层活动使天然气沿断层向上运移,在断裂附近相对优质储层聚集成藏造成的。
图10 杏山凹陷沙河子组烃源岩生气强度与试气产能分布

Fig.10 Relationship between gas testing of deep gas and gas generation intensity of Shahezi Formation in Xingshan Sag

6 结论

(1)松辽盆地杏山凹陷深层天然气组分和碳同位素差异明显,火石岭组埋深最大、甲烷含量最低、重烃含量较高、碳同位素值最低;登娄库组埋藏最浅、甲烷含量最高、重烃含量最低、碳同位素最重;营城组天然气介于二者之间。
(2)深层天然气以有机成因烃类气为主,无机成因CO2呈点状集中于徐西断层附近的营城组气藏中;火石岭组为油型气、煤型气的混合气,分布在凹陷中部徐中断裂附近;徐东斜坡营城组主要为煤型气,凹陷中部营城组为深层混合气,油型气的混入导致天然气中δ13C1、δ13C2倒转;登娄库组全部为过成熟煤型气,分布于徐东斜坡和北部凸起煤系烃源岩发育区,不同成熟阶段煤型气混合导致登娄库组天然气中δ13C2、δ13C3倒转。
(3)由断裂构成的输导通道是深层不同类型气聚集、混合的必要条件,升平凸起和徐东斜坡是油气运移的有利指向区;沙河子组优质烃源岩是深层气藏形成的物质基础,决定了不同成因类型气藏和高产气井的分布,烃源岩和断层的联合作用控制了深层天然气富集。
1
田继先,李剑,曾旭,等.柴达木盆地北缘天然气地球化学特征及其石油地质意义[J].石油与天然气地质,2017,38(2):356-362.

TIAN J X,LI J,ZENG X,et al.Geochemical characteristics and petroleum geologic significance of natural gas in the north margin of the Qaidam Basin[J]. Oil & Gas Geology, 2017,38(2):356-362.

2
杨春,刘全有,周庆华,等.松辽盆地庆深气田天然气成因类型鉴别[J].地球科学:中国地质大学学报,2009,34(5):792-798.

YANG C,LIU Q Y,ZHOU Q H,et al.Genetic identification of natural gases in Qingshan Gas Field,Songliao Basin[J].Earth Science-Journal of China University of Geosciences,2009,34(5):792-798.

3
张居和,方伟,李景坤,等.松辽盆地徐家围子断陷深层天然气成因类型及各种成因气贡献[J].地质学报,2009,83(4):579-589.

ZHANG J H,FANG W,LI J K,et al.Deep gases and their genetic types of the Xujiaweizi fault depression zone,Songliao Basin and their cortibution[J].Acta Geologica Sinica, 2009,83(4):579-589.

4
罗霞,孙粉锦,邵明礼,等.松辽盆地深层煤型气与气源岩地球化学特征[J].石油勘探与开发, 2009,36(3):339-346.

LUO X,SUN F J,SHAO M L,et al.Geochemistry of deep coal-type gas and gas source rocks in Songliao Basin[J].Petroleum Exploration and Development,2009,36(3):339-346.

5
宋振响,顾忆,路清华,等.松辽盆地梨树断陷天然气成因类型及勘探方向[J].石油学报,2016,37(5):622-630.

SONG Z X,GU Y,LU Q H,et al.Genetic types of natural gas and its exploration direction in Lishu fault sag,Songliao Basin[J].Acta Petrolei Sinica,2016,37(5):622-630.

6
周翔,于士泉,张大智,等.松辽盆地徐深气田致密火山岩气藏气水分布特征及主控因素[J].石油与天然气地质,2019,40(5):1038-1047.

ZHOU X,YU S Q,ZHANG D Z,et al.Characteristics and major controlling factors of gas-water distribution in tight volcanic gas reservoir in Xushen Gas Field,Songliao Basin[J].Oil & Gas Geology,2019,40(5):1038-1047.

7
王颖,邓守伟,范晶,等.松辽盆地南部重点断陷天然气地质条件、资源潜力及勘探方向[J].天然气地球科学,2018,39(10):1455-1464.

WANG Y,DENG S W,FAN J,et al.Natural gas geology, reservoir potential and favorable exploration direction in the south of Songliao Basin[J].Natural Gas Geoscience, 2018,39(10):1455-1464.

8
王民,孙业峰,王文广,等.松辽盆地北部徐家围子断陷深层烃源岩生气特征及天然气资源潜力[J].天然气地球科学,2014,39(10):1455-1464.

WANG M,SUN Y F,WANG W G,et al.Gas generation characteristics and resource potential of the deep source rock in Xujiaweizi fault depression, northern Songliao Basin[J].Natural Gas Geoscience,2014,39(10):1455-1464.

9
杜红权,王威,时志强,等.四川盆地东北部马路背地区上三叠统须家河组天然气地球化学特征及气源[J].石油与天然气地质,2019,40(1):34-40.

DU H Q,WANG W,SHI Z Q,et al.Geochemical characteristics and source of natural gas of the Upper Triassic Xujiahe Formation in Malubei area, northeastern Sichuan Basin[J].Oil & Gas Geology,2019,40(1):34-40.

10
程顶胜,窦立荣,王景春,等.乍得Bongor盆地天然气地球化学特征及成因[J].地学前缘, 2018,25(2):112-120.

CHENG D S,DOU L R,WANG J C,et al.Geochemical characteristics and genesis of natural gas in the Bongor Basin[J].Earth Science Frontier,2018,25(2):112-120.

11
冉逸轩,周翔.徐家围子断陷沙河子组致密气天然气地球化学特征及成因分析[J].大庆石油地质与开发,2020,39(4):150-158.

RAN Y X,ZHOU X.Geochemical characteristics and genesis of tight gas in Shahezi Formation, Xujiaweizi fault depression[J].Petroleum Geology & Oilfield Development in Daqing, 2020,39(4):150-158.

12
李景坤,方伟,曾花森,等.徐家围子断陷烷烃气碳同位素反序机制[J].石油学报,2011,32(1):54-61.

LI J K,FANG W,ZENG H S,et al.Possible origins for inverse stable carbon isotopes og gaseous alkanes from the Xujiaweizi fault depression[J].Acta Petrolei Sinica,2011,32(1):54-61.

13
DAI J X,SONG Y,DAI C S,et al.Geochemistry and accumulation of carbon dioxide gases in China[J]. AAPG Bulletin,1996,80(10):1615-1626.

14
戴金星.各类烷烃气的鉴别[J].中国科学:B辑,1992,22(2):187-193.

DAI J X.Identification and distribution of various alkane gases[J].Science in China:Series B, 1992,22(2):187-193.

15
戴金星,倪云燕,秦胜飞,等.四川盆地超深层天然气地球化学特征[J].石油勘探与开发, 2018,45(4):588-597.

DAI J X, NI Y Y, QIN S F, et al. Geochemical characteristics of ultra-deep natural gas in the Sichuan Basin,SW China[J].Petroleum Exploration and Development,2018,45(4):588-597.

16
FUEX A N.The use of stable carbon isotopes in hydrocarbon exploration[J].Journal of Geochemical Exploration,1977,7(2):155-188.

17
李景坤,冯子辉,刘伟,等.松辽盆地徐家围子断陷深层天然气成藏期研究[J].石油学报,2006,27(S1):42-46.

LI J K,FENG Z H,LIU W,et al.Research on reservoir-forming time of deep natural gas in Xujiaweizi faulted-depression in Songliao Basin[J].Acta Petrolei Sinica,2006,27(S1):42-46.

Outlines

/