0 引言
1 模型的建立
1.1 物理模型
1.2 数学模型
表 1 无因次变量定义Table 1 The definition of dimensionless parameters |
| 无因次变量 | 内区 | 外区 |
|---|---|---|
| 无因次厚度 | hjD=hj/ht | |
| 无因次径向距离 | rD=r/rw | |
| 无因次时间 | tD=kj 2 t/(μϕj 2 ctj 2 rw 2) | |
| 无因次井筒储集系数 | CD=C/(2πhtϕj 2 ctj 2 rw 2) | |
| 流动系数 | χj 1=kj 1 hj/∑ j(kj 1 hj) | χj 2=kj 2 hj/∑ j(kj 2 hj) |
| 储容系数 | ωj 1=(ϕj 1 ctj 1)hj/∑ j[(ϕj 1 ctj 1)hj] | ωj 2=(ϕj 2 ctj 2)hj/∑ j[(ϕj 2 ctj 2)hj] |
| 无因次压力 | pj 1 D=2πkj 1 ht(pr-pj 1)/(qμB) | pj 2 D=2πkj 2 ht(pr-pj 2)/(qμB) |
| 内外区流度比 | Mj=(kj 1 /μ)/(kj 2 /μ) | |
| 内外区储容比 | Dj=(ϕj 1 ctj 1)/(ϕj 2 ctj 2) |
2 模型求解
2.1 空间变换
2.2 Lapalce空间求解
2.3 空间反变换
3 结果分析
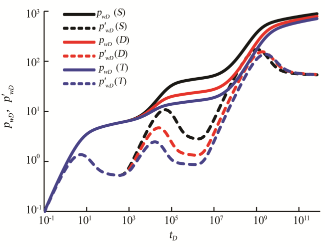
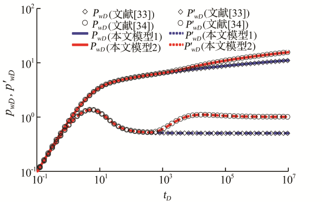
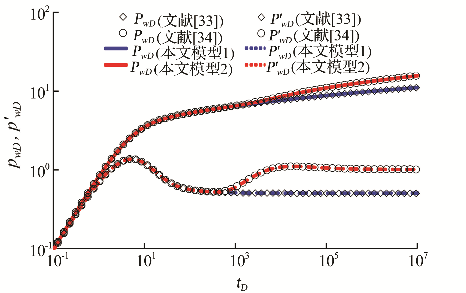
3.1 模型验证
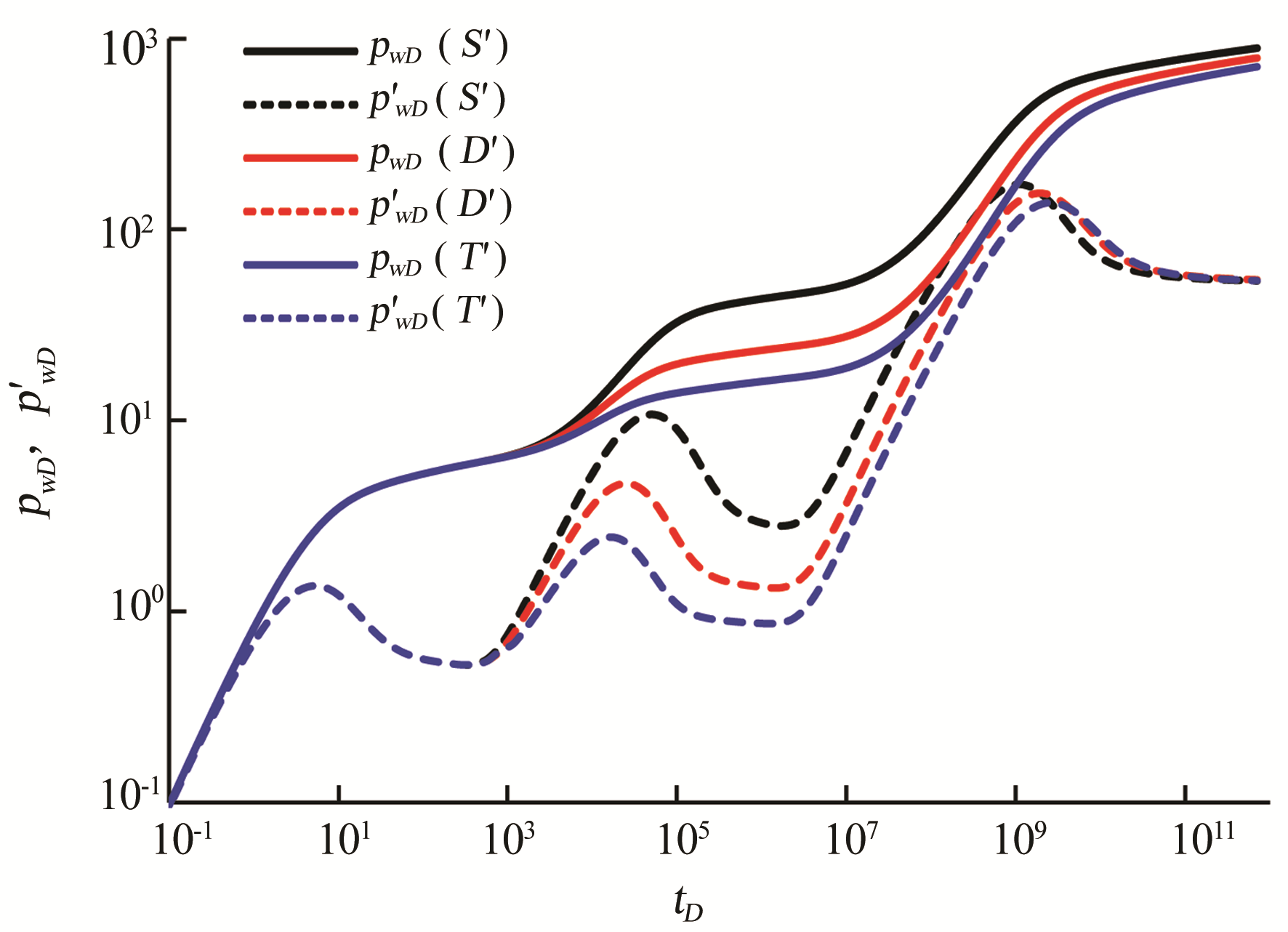
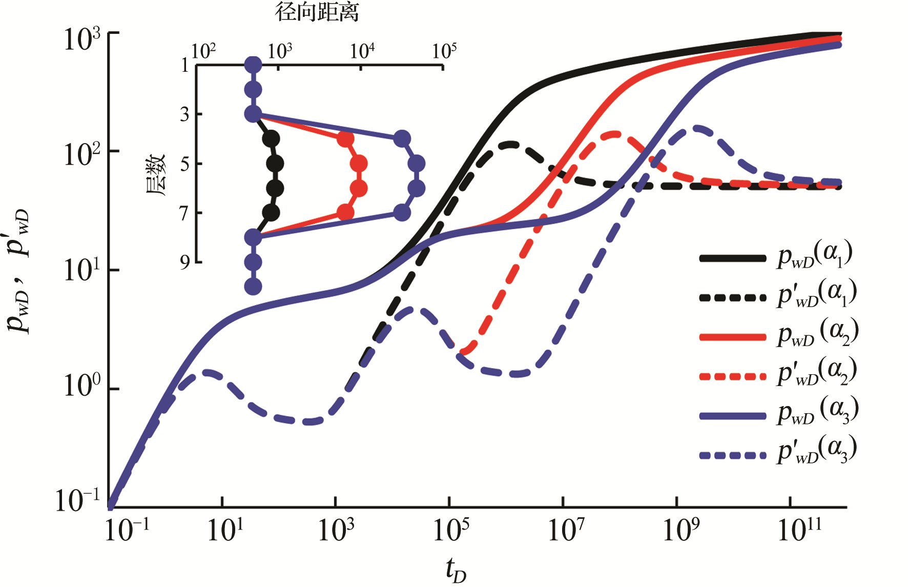
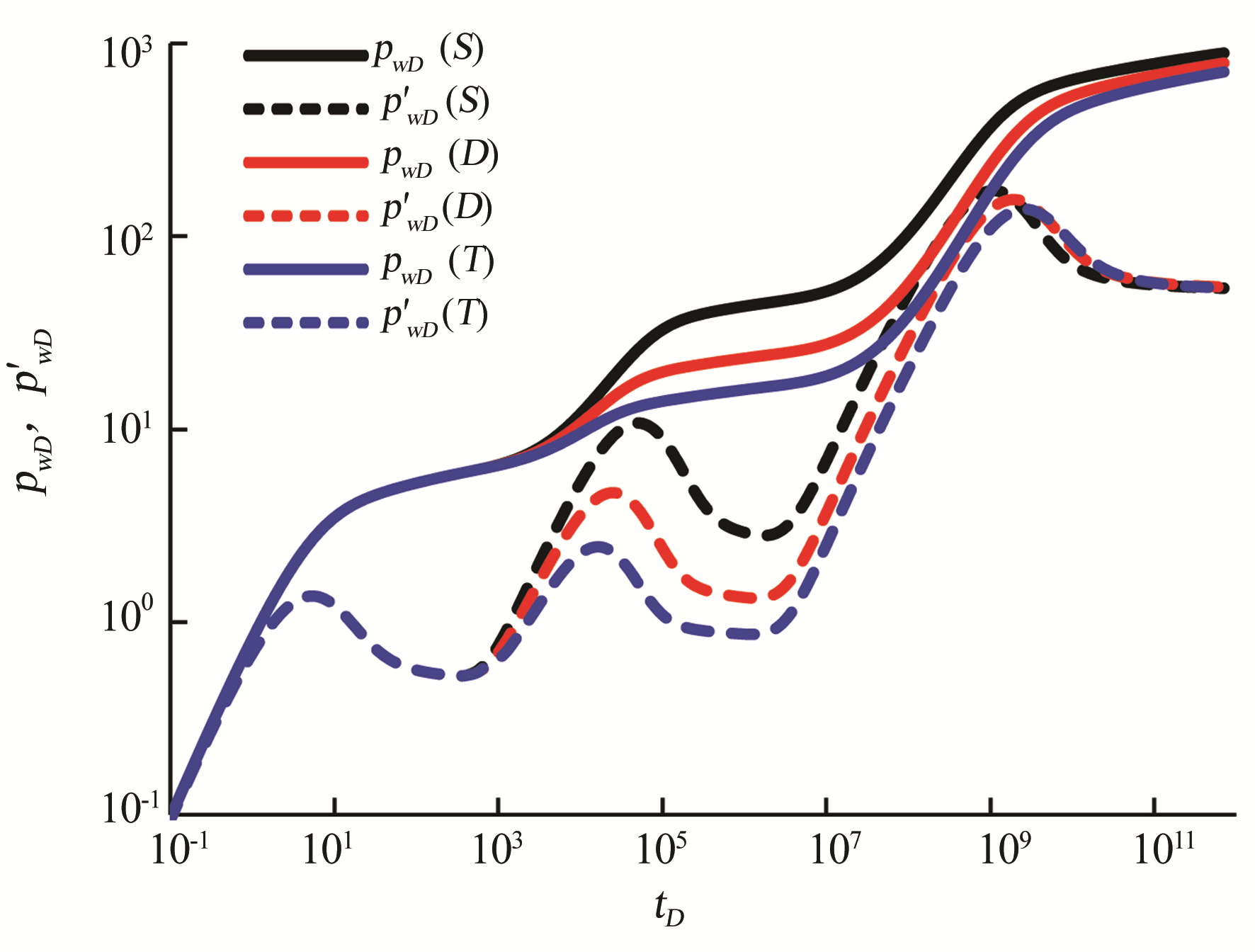
3.2 典型压力图版
3.3 敏感性分析
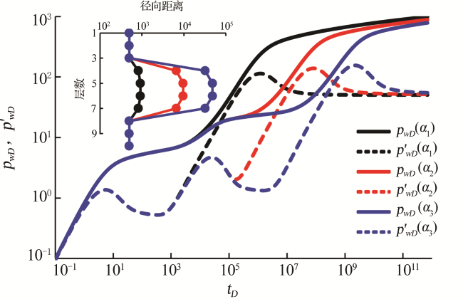
3.3.1 外凸体径向尺寸
3.3.2 外凸体垂向尺寸
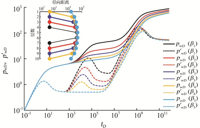
3.3.3 外凸体数量
3.3.4 外凸体分布位置
4 实例分析
表 2 P井各段酸压施工参数Table 2 Acid fracturing measures parameters of each section of Well P |
| 井段 | 施工时间 | 施工参数 | 放喷排液 |
|---|---|---|---|
| 上储层 5 926~5 963 m (37 m) | 2018/3/21 | ①泵压38~93 MPa,排量1~6.1 m3/min;②入地液量996 m3(酸液760 m3、压裂液236 m3),入地纤维100 kg,入地液氮11 m3(伴注8 m3、高挤3 m3) | 2018年3月23日,油嘴控制排液,累计排液879 m3,返排率81.2% |
| 下储层上段 5 990~6 040 m (50 m) | 2017/11/26 | ①泵压59~112 MPa,平衡压28.5~31 MPa,排量2~5.9 m3/min;②入地液量1 108 m3(胶凝酸550 m3、交联酸300 m3、滑溜水28 m3、压裂液230 m3),加入纤维200 kg,伴注液氮14 m3;③停泵油压56.4 MPa,套压27.1 MPa | 2017年11月28日放喷排液,累计排液410 m³,返排率19.2 % |
| 下储层下段 5 926~5 963 m (16 m) | ①泵压81~103 MPa,平衡压28~31 MPa,排量2~5.4 m3/min;②入地液量1 002 m3 (胶凝酸458 m3、交联酸200 m3、滑溜水124 m3、压裂液220 m3);③停泵油压53 MPa,套压30.5 MPa |
图13 P井压力恢复试井数据拟合结果Fig.13 Matching results for pressure buildup well-testing data of Well P |
表 3 本文模型与文献[21]解释结果对比Table 3 Interpretation parameters comparison between of VNCR model and Ref.[21] |
| 解释参数 | 本文模型 (3层VNCR储层) | 文献[21]模型 (单层径向复合储层) |
|---|---|---|
| 井储系数(C)/(m3/MPa) | 6.25 | 6.76 |
| 表皮系数S | -1.21 | -1.02 |
| 储层厚度(hj)/m (分布比例) | 37 (35.92%) 50 (48.55%) 16 (15.53%) | 103 (100%) |
| 储层导压系数比(χj)/ω j | 0.58 1.55 0.39 | / |
| 内区半径(rcj)/m | 12.81 59.60 14.93 | 50.92 |
| 流度比(Mj) | 18.07 18.07 18.07 | 42.01 |

甘公网安备 62010202000678号