0 引言
1 地质概况
1.1 构造特征
1.2 沉积与地层特征
2 LZ区块与DZ区块页岩气富集条件特征及差异性
2.1 储层特征
2.1.1 矿物组成
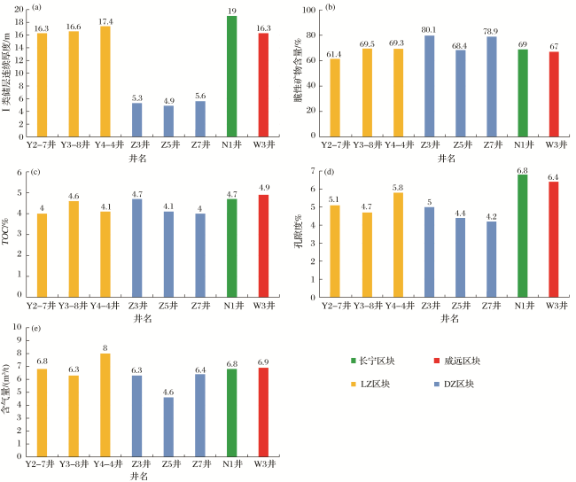
表1 LZ区块、DZ区块五峰组—龙一1亚段各小层储层参数实验数据统计Table 1 Experimental data statistical table for reservoirs in layers of O3 w-S1 l 1-1, LZ block and DZ block |
| 区块 | 地层 | 地层厚度/m | 脆性矿物 含量/% | TOC/% | 孔隙度/% | 含气量/(m³/t) | 含气饱和度 /% | |
|---|---|---|---|---|---|---|---|---|
| LZ | 龙一1亚段 | 龙一1 4小层 | ||||||
| 龙一1 3小层 | ||||||||
| 龙一1 2小层 | ||||||||
| 龙一1 1小层 | ||||||||
| 五峰组 | ||||||||
| DZ | 龙一1亚段 | 龙一1 4小层 | ||||||
| 龙一1 3小层 | ||||||||
| 龙一1 2小层 | ||||||||
| 龙一1 1小层 | ||||||||
| 五峰组 | ||||||||
|
2.1.2 地球化学特征
2.1.3 物性特征
图3 LZ区块、DZ区块页岩微观孔隙类型(a)LZ区块Y2-7井,4 150.5 m,龙一1 1小层,有机孔;(b) LZ区块Y2-7井,4 102.3 m,龙一1 4小层,有机孔;(c) LZ区块Y4-4井,4 140.1 m,龙一1 3小层,方解石粒内孔;(d) LZ区块Y2-7井,4 110.1 m,龙一1 4小层,微裂缝;(e) DZ区块Z3井,4 102.1 m,龙一1 1小层,有机孔;(f) DZ区块Z3井,4 098.7 m,龙一1 2小层,粒间孔、粒内孔 Fig.3 Microscopic pore types of shale in LZ block and DZ block |
2.2 含气性特征
表2 LZ、DZ区块五峰组—龙一1亚段压力系数统计Table 2 Statistical table of pressure factors in O3 w-S1 l 1-1, LZ block and DZ block |
| 区块 | 井号 | 埋深 /m | 压力系数 | 区块 | 井号 | 埋深 /m | 压力系数 |
|---|---|---|---|---|---|---|---|
| DZ | Z1-H1 | 4 402 | 1.89 | LZ | Y4-5 | 4 060 | 2.17 |
| Z2 | 3 980 | 1.86 | Y10-3 | 3 811 | 2.12 | ||
| Z3 | 4 174 | 1.96 | Y1 | 3 530 | 2.25 | ||
| Z2H3-2 | 3 577 | 2.03 | Y1-H2 | 3 403 | 2.24 | ||
| Z3H1-1 | 4 084 | 2.03 | Y2-H1 | 3 895 | 2.18 | ||
| Z5 | 3 660 | 1.93 | Y3-H1 | 3 442 | 2.1 |
2.3 页岩储层厚度及品质
2.4 可压性
3 富集条件差异的主控因素
3.1 古沉积环境控制有机质富集和储层规模
图6 LZ区块、DZ区块五峰组—龙一1亚段TOC与含气量、U/Th、Ni/Co关系(a)TOC与含气量的关系;(b)TOC与U/Th的关系;(c)TOC与Ni/Co的关系 Fig.6 Correlation diagram of TOC and gas content, U/Th, Ni/Co in O3 w-S1 l 1-1, LZ block and DZ block |
表3 微量元素指标与沉积环境关系统计[30-33]Table 3 Statistical table of relationship between microelement index and sedimentary environment[30-33] |
| 指标 | 缺氧 | 贫氧 | 常氧 |
|---|---|---|---|
| 深水强还原环境 | 半深水弱还原环境 | 浅水氧化环境 | |
| 水体溶氧量 | <0.1 mL/L | 0.1~1 mL/L | >1 mL/L |
| V/(V+Ni) | >0.54 | 0.46~0.54 | <0.46 |
| Ni/Co | >7 | 5.00~7.00 | <5 |
| U/Th | >1.25 | 0.75~1.25 | <0.75 |
| Re/Mo | <0.8×10-3 | (0.8~9)×10-3 | >9×10-3 |
3.2 后期有效保存条件是页岩气富集的关键
图8 DZ区块、LZ区块岩心裂缝观测(a) DZ区块Z2井,3 891.35 m,五峰组,羽状方解石充填缝; (b) DZ区块Z7井,4 390.1 m,龙一1 1小层,垂直缝; (c) LZ区块G2井,3 830.5 m,龙一1 2小层,水平缝; (d) LZ区块D1井,3 645.5 m,龙一1 4小层,低角度缝 Fig.8 Core fracture observation, LZ block and DZ block |

甘公网安备 62010202000678号