Geologically distributing relation of crude oils and source rocks in Ying’er Sag,Jiuquan Basin

  • Hai-zhong Tang , 1 ,
  • Jian-yu Zhao 2, 3 ,
  • Gang Gao , 2, 3 ,
  • Guo-fu Ma 1 ,
  • Le-yi Zhao 1 ,
  • Zhi-ming Yang 1 ,
  • Dan-dan Hu 4
Expand
  • 1. Research Institute of Exploration and Development, CNPC Yumen Oil Field Company, Jiuquan 735019, China
  • 2. State Key Laboratory of Petroleum Resource and Prospecting, China University of Petroleum(Beijing), Beijing 102249, China
  • 3. School of Geoscience, China University of Petroleum, Beijing 102249, China
  • 4. Qingxi Operation Zone, CNPC Yumen Oil Field Company, Yumen 735019, China

Received date: 2019-04-21

  Revised date: 2019-07-02

  Online published: 2020-03-23

Highlights

Based on the physical properties and geochemistry characteristics of crude oil samples distributed in the Ying’er Sag, Jiuquan Basin, the crude oil samples are classified into four types of A, B, C and D according to the features of saturated fraction, sterane and terpane. The spatial distribution relationship between the different types of crude oil and source rocks was clarified. Type A crude oil is mainly distributed in the K1 z Formation with immature to low-mature thermal evolution stage and is characterized by self-generation and self-accumulation. Type B crude oil, belonging to mature oil, is distributed in the K1 g 3 with characteristics of self-generation and self-accumulation. The maturity of Type C and Type D crude oils is higher than that of Type A and Type B. Type C is mainly generated from K1 c source rock and distributed in K1 c and K1 g 1 formations. Type D oil is mixed oil which is generated from K1 g 2 and K1 g 1 source rocks and is distributed in the K1 g 2 and the K1 g 1. The discovered oil layers are chiefly controlled by source rock, paleouplift and thickness ratio of sandstone to stratum with the strata bound features of self-generation and self-accumulation.

Cite this article

Hai-zhong Tang , Jian-yu Zhao , Gang Gao , Guo-fu Ma , Le-yi Zhao , Zhi-ming Yang , Dan-dan Hu . Geologically distributing relation of crude oils and source rocks in Ying’er Sag,Jiuquan Basin[J]. Natural Gas Geoscience, 2019 , 30(11) : 1590 -1599 . DOI: 10.11764/j.issn.1672-1926.2019.07.001

0 引言

营尔凹陷位于酒泉盆地东部,主要沉积中生界、新生界,基底为前白垩系,分布面积约为1 300km2。该凹陷经历了早白垩世拉张断陷、晚白垩世—古新世挤压隆升、始新世—渐新世坳陷和新近纪挤压前陆等几个复杂的构造演化阶段[1,2,3]。营尔凹陷总体呈东断—西超的箕状断陷,以黑梁断层为界,东部自南向北依次发育有南部次凹、长沙岭构造、北部次凹和营北断阶带4个三级构造,西部为缓坡带(图1)。凹陷断裂特征明显,主要发育北东向和北北东向正断层。凹陷沉积岩最大厚度超过8 000m[4,5,6],地层由下到上依次发育下白垩统赤金堡组(K1 c)、下沟组(由下到上分为K1 g 1、K1 g 2、K1 g 3 3个小层)、中沟组(K1 z)、古近系、新近系和第四系。目前已发现的油气和油气显示主要集中于下白垩统,其沉积最厚达4 000m。前人研究认识到营尔凹陷存在中沟组、下沟组和赤金堡组3套湖相烃源岩,并进行了早期的油源对比[7,8],韩永科等[9]、赵乐义等[10]、陈建平等[11]依据原油族组分、轻烃及生物标志化合物参数将原油分为3个族群,分别与中沟组、下沟组下段、赤金堡组烃源岩存在亲源关系。马立元等[12]根据生物标志化合物特征将原油分为两类,分别来自中沟组的未成熟—低成熟油和来自赤金堡组—下沟组的成熟油。已有的有关原油的研究主要是从少数单井点原油的特征入手进行分析,并未充分考虑不同类型原油的空间分布特征和油源空间关系。本文在前人研究基础上,补充了大量单井的原油和储集层沥青样品,对该凹陷已发现的原油进行了系统的成因类型划分,明确了不同类型原油的空间分布及其与相应烃源岩的关系。
图1 酒泉盆地营尔凹陷构造单元划分

Fig.1 Tectonic element map of Ying’er Sag in Jiuquan Basin

1 原油物性与有机地球化学特征

酒泉盆地营尔凹陷的原油主要产自下沟组,其次为赤金堡组;中沟组仅见少量原油。已发现的下沟组与赤金堡组的原油密度分布在0.79~0.89g/cm3之间,黏度普遍较低,主要分布在3~32mPa·s之间,以轻质—中质油为主;营参1井中沟组(K1 z)的原油密度为0.94g/cm3,属于重质油。原油族组成相对百分含量在一定范围内变化,下沟组与赤金堡组原油族组分特征相似,以饱和烃为主,分布在41.07%~87.91%之间,非烃+沥青质含量分布在2.69%~45.24%之间。原油饱和烃的气相色谱分析(图2)表明,除中沟组以外,下沟组与赤金堡组原油气相色谱图相似。中沟组原油Pr/nC17和Ph/nC18高,Pr/Ph值接近1,其他层位原油Pr/nC17和Ph/nC18较低,Pr/Ph值普遍小于1,具有植烷优势。可见,生产原油的烃源岩的沉积环境主要为半深湖—深湖相的强还原—还原环境。正构烷烃没有明显的奇偶优势,且主峰碳数都小于C25,显示原油的母质有较多的低等水生生物贡献。
图2 营尔凹陷原油饱和烃气相色谱

Fig.2 The gas chromatograph plots of saturated fraction in crude oil of Ying’er Sag

饱和烃气相色谱参数和规则C29甾烷成熟度参数显示,下沟组与赤金堡组原油主要为成熟原油, CPI值分布在1.06~1.47之间,平均值为1.29;OEP值分布在1.02~1.15之间,平均值为1.06;20S/(20S+20R)C29甾烷分布在0.23~0.51之间,平均值为0.43,αββ/(αββ+ααα)C29甾烷分布在0.29~0.61之间,平均值为0.45,这些参数分布都比较集中,显示为成熟原油特征。中沟组原油CPI值为1.85,OEP值为1.26;20S/(20S+20R)C29甾烷值为0.23,αββ/(αββ+ααα)C29甾烷值为0.2,属于未成熟—低成熟油。总体上,不同层段的原油成熟度存在差异,这与不同原油对应的源岩成熟度有关。

2 烃源岩地质与有机地球化学特征

营尔凹陷中沟组、下沟组和赤金堡组均有暗色泥岩分布。其中中沟组暗色泥岩厚度主要分布在600~1 200m之间,北部次凹沉积中心厚度最大为1 200m,南部次凹最大厚度为800m;下沟组上段有效烃源岩厚度最大可达350m,主要分布在50~200m之间;下沟组下段有效烃源岩厚度最大可达250m,主要分布在50~150m之间;赤金堡组有效烃源岩厚度最大可达500m,主要分布在50~300m之间。北部与南部次凹有效烃源岩的沉积与分布均具继承性,由次凹中心向边缘厚度逐渐减薄。总体来说,营尔凹陷中心成熟度较边缘高,在沉降中心可达过成熟。
不同层段有机质丰度有差异,以中沟组最高,赤金堡组平均有机质丰度最低,下沟组(K1 g)居中,但K1 g 3、K1 g 2和K1 g 1有机质丰度依次降低(表1)。中沟组烃源岩母质类型最好,以Ⅱ1型有机质为主,但主要处于未成熟—低熟阶段,凹陷深部位处于成熟阶段;下沟组上段(K1 g 3)以Ⅱ型有机质为主,有部分Ⅰ型,处于成熟阶段;下沟组中段(K1 g 2)有机质丰度中等,Ⅱ1—Ⅲ型有机质均有分布,处于成熟—高成熟早期阶段;下沟组下段(K1 g 1)和赤金堡组(K1 c)有机质丰度较低,以Ⅱ2型有机质为主,有少量Ⅰ型和Ⅲ型,处于成熟—高成熟阶段(表1)。
表1 营尔凹陷下白垩统烃源岩有机地球化学特征

Table 1 Organic geochemical characteristics of the Lower Cretaceous source rocks of Ying’er Sag

层位 TOC/% (S1+S2)/(mg/g) 氯仿沥青“A”/% HC/(×10-6 母质类型 R O/% 热演化阶段
K1 z 0.12 ~ 14.45 1.54 / 470 0.04 ~ 62.95 7.8 / 416 0.005 ~ 0.721 0.144 / 78 25.9 ~ 3 122 627.1 / 70 1型为主

0.46~1.04

0.68/84

未成熟—成熟阶段
K1 g 3 0.08 ~ 5.46 1.46 / 368 0.05 ~ 41.62 4.33 / 484 0.003 ~ 0.733 0.093 / 88 16 ~ 4 869.9 590.4 / 88 Ⅱ型为主,部分为Ⅰ型

0.44~1.57

0.71/95

成熟阶段
K1 g 2 0.06 ~ 3.3 0.98 / 189 0.03 ~ 15.79 3.02 / 191 0.004 ~ 0.157 0.039 / 25 21 ~ 1 207 268.4 / 23 1—Ⅲ型

0.49~1.59

1.05/23

成熟—高成熟早期
K1 g 1 0.13 ~ 2.52 0.89 / 166 0.02 ~ 9.91 2.04 / 181 0.002 ~ 0.183 0.051 / 26 8 ~ 1 231 277.2 / 23 2有机质为主,少量Ⅰ型和Ⅲ型

0.76~1.78

1.25/21

成熟—高成熟阶段
K1 c 0.08 ~ 2.07 0.54 / 163 0.04 ~ 11.15 1.39 / 151 0.004 ~ 0.788 0.106 / 33 7 ~ 6 867 796.4 / 33 2有机质为主,少量Ⅰ型和Ⅲ型

0.72~1.88

1.15/22

成熟—高成熟阶段

注: 0.08 ~ 2.07 0.54 / 163 = - /

3 原油成因类型划分及来源分析

有关油源对比,前人已经做了部分工作[13,14,15],但由于油样数量有限,也未明确不同类型原油的空间分布特征及其与烃源岩的空间分布关系。一般主要从生物标志化合物指纹特征、组分与单体烃碳同位素比值特征、微量元素相对含量等及其衍生出的各类参数进行油源对比,但各种方法中,生物标志化合物指纹是最直观的一种方法,可靠程度高[16,17,18,19,20,21]。在油源对比中得到广泛应用。最早由Eglintion等[22]1964年提出“生物标志化合物”,后与Carlvinde等[23]1967年提出了“化学化石”,1969年Eglintion将生物标志化合物重新定义,因其具有稳定的生物成因的分子结构指导油气地球化学研究[24]。傅家谟等[25,26]将生物标志化合物成功应用于我国陆相沉积盆地的古环境的确认。目前色谱—质谱分析已经成为有机地球化学研究中不可缺少的工具[27,28,29,30],李振广等[31]对饱和烃、芳烃化合物、非烃以及沥青质的色谱—质谱进行了综合阐述,对有机地球化学研究起到推动作用。
本文在前人资料及本次补充分析资料的基础上,通过甾、萜烷生物标志化合物指纹组成特征,将营尔凹陷下白垩统原油分为A、B、C和D 4类。在三环萜/五环萜、γ-蜡烷/C30藿烷和Tm/Ts参数图中(图3图4),A、B、C和D四大类原油区分明显。其中D类原油γ-蜡烷/C30藿烷最高,A类最低;Tm/Ts值以A类最高,D类最低;三环萜烷/五环萜烷值以A类原油最低,D类较高;B和C类原油各类参数都居中,但又有区别(图3图4)。原油ααα20S/(20S+20R)C29甾烷与αββ/(αββ+ααα)C29甾烷成熟度参数关系(图5)显示,A类原油成熟度明显最低,D类与C类原油成熟度最高,B类原油成熟度总体稍低于D类和C类,但显著高于A类,可见,不同类型原油的成熟度分布与其烃源岩成熟演化有密切关系。
图3 原油三环萜/五环萜—γ-蜡烷/C30藿烷关系

Fig.3 Relationship of tricyclic to pentacyclic terpane ratio and gamacerane to hopane ratio of crude oil samples

图4 原油Tm/ Ts—γ-蜡烷/C30藿烷关系

Fig.4 Relationship of Tm to Ts ratio and gamacerane to hopane ratio of crude oil samples

图5 不同类型原油20S/(20S+20R)C29甾烷与αββ/(αββ+ααα)C29甾烷关系

Fig.5 The diagram of 20S/(20S+20R) C29 sterane ratio and αββ/(αββ+ααα) C29 sterane ratio in different types of crude oils

A类原油仅在营参1井中沟组测试获得10kg,区域上未有油流发现。其饱和烃含量低,非烃+沥青质含量较高,密度高,属于未成熟—低熟油。该类原油的生物标志化合物特征与中沟组烃源岩相似。主要特征是降新藿烷(Ts)、重排藿烷、三环萜烷、四环萜烷、伽马蜡烷含量低,伽马蜡烷指数(γ-蜡烷/C30藿烷)为0.14,母质沉积环境为微咸水环境,C29与C30莫烷含量高。Pr/Ph值为0.91,形成于强还原环境,母源输入以低等水生生物为主。该类原油属于中沟组自生自储原油(图6)。
图6 A类原油与中沟组烃源岩甾烷与萜烷饱和烃色谱—质谱

Fig.6 The gas chromatograph-mass spectrum of steranes and terpanes of type A oil and K1 z source rock samples

B类原油主要分布于下沟组上段(K1 g 3),为正常成熟原油。该类原油的生物标志化合物特征与下沟组上段烃源岩相似。Ts/Tm值主要分布在0.11~0.23之间,降新藿烷(Ts)、重排藿烷、三环萜烷、四环萜烷与伽马蜡烷含量高于A类原油,γ-蜡烷/C30藿烷值分布在0.38~0.48之间,母质主要形成于半咸水环境。对比表明,B类原油亦属于下沟组上段(K1 g 3)自生自储原油(图7)。
图7 B类原油与下沟组上段烃源岩饱和烃色谱—质谱

Fig.7 The gas chromatograph-mass spectrum of saturated fraction in K1 g 3 source rock and type B oil

C类原油属于成熟度较高的原油,主要分布在赤金堡组(K1 c)和下沟组下段(K1 g 1),该类原油生物标志化合物特征与赤金堡组烃源岩特征相似。其Ts/Tm值主要分布在0.47~2.33之间,降新藿烷(Ts)、重排藿烷、三环萜烷、四环萜烷明显高于A类与B类原油,γ-蜡烷含量与B类原油接近,其母质沉积环境也为半咸水环境。大量对比表明该类原油主要来自赤金堡组烃源岩(图8)。
图8 C类原油与下沟组下段烃源岩饱和烃色谱—质谱

Fig.8 The gas chromatograph-mass spectrum of saturated fraction in K1 g 1 source rock and type C oil

D类原油也属于较高成熟度原油,主要分布于下沟组下段和中段,其特征是三环萜烷和γ-蜡烷含量较高,三环萜烷中C23-三环萜烷相对含量最高,反映母源形成于较咸水环境。通过大量地对比发现,该类原油很难与任何单一层位的烃源岩完全可比。综合生物标志化合物特征和原油的地质分布特征,该类原油的甾烷特征与赤金堡组烃源岩的甾烷特征相似,萜烷特征与下沟组下段烃源岩萜烷特征相似。认为该类原油具有下沟组下段与赤金堡组烃源岩的混源特征,属于混源原油(图9)。
图9 D类原油与下沟组下段、赤金堡组烃源岩饱和烃色谱—质谱

Fig.9 The gas chromatograph-mass spectrum of saturated fraction in K1 g 1 and K1 c source rock and type D of oil

4 原油类型与烃源岩关系

各类原油在不同层段的分布具有一定规律。A类仅分布在中沟组,B类分布在下沟组上段,C类分布在下沟组下段及赤金堡组,D类则分布在下沟组中段及下段。平面上,A类原油少,且主要见于北部次凹,但相应的中沟组油气显示非常普遍;B类原油分布集中在长沙岭构造的K1 g 3段;C类与D类原油分布比较散,二者相比,D类原油更靠近凹陷深部位(图10)。可见,不同成因原油类型的上述分布特征主要与烃源岩分布有关。从运移角度来说,A类和B类原油均分布在相应烃源岩层段内,紧邻烃源岩,运移距离短,属于近源自生自储运移聚集特征。C类原油在K1 c烃源岩层段内属短距离运移,但在K1 g 1段内则有垂向运移特征,主要分布在K1 c烃源岩发育而K1 g 1烃源岩不发育的部位。D类原油属于K1 c和K1 g 1烃源岩的混合,主要发育在两个层段烃源岩发育并有断裂沟通的部位,都有一定的垂向运移特征(图11)。
图10 酒泉盆地营尔凹陷原油平面分布叠合

Fig.10 Superposition map of crude oil distribution in Ying’er Depression, Jiuquan Basin

图11 酒泉盆地营尔凹陷原油类型与烃源岩分布北西—南东向剖面

Fig.11 The NW-SE section map of crude oil types and source rocks in Ying’er Sag, Jiuquan Basin

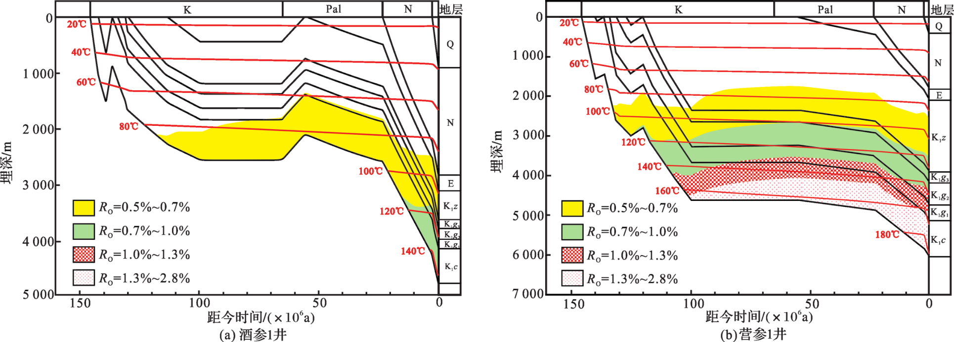
营尔凹陷经历了早白垩世拉张断陷、晚白垩世—古新世挤压隆升和始新世—第四纪挤压前陆3个构造演化阶段[32,33,34]。营尔凹陷下白垩统生油层R O值一般在0.5%以上(图12),下白垩统生油门限深度南深北浅,南部地区约为3 000m,北部地区约为2 300~2 500m,各成熟阶段的深度均从北向南逐渐加大。对营尔凹陷构造演化史的恢复(图13)表明,早白垩世晚期形成“南浅北深”的古隆起,K1 c、K1 g 1和K1 g 2烃源岩已达到生油门限并开始排烃,受隆起的影响油气通过断裂向高点运移和聚集。在后期的挤压隆升作用下,最终形成了“南深北浅”中部隆起的构造格局,除A类原油外,其他几类原油都主要在长沙岭构造带形成了工业性油气藏(图14图15)。K1 g 3与K1 g 1烃源岩及其与相关原油的分布关系显示,已发现的油气主要分布在长沙岭构造带,并且不是烃源岩厚度最大的部位。北东—南西向构造演化剖面(图13)清楚地显示了长沙岭构造带位于南北2个次凹之间的隆起部位,在盆地发育过程中,一直是油气运移的指向区,油气分布明显受古隆起的影响。
图12 酒参1井和营参1井埋藏史

Fig.12 A section showing the burial and evolution history of organic matter in Wells Jiucan1 and Yingcan1

图13 酒泉盆地营尔凹陷构造演化

Fig.13 Tectonic evolution map of Ying’er Depression in Jiuquan Basin

图14 营尔凹陷下沟组K1 g 3(a)和K1 g 1(b)优质烃源岩厚度和油层分布叠合

Fig.14 Overlapping maps of thickness of high-quality source rocks and oil layer distribution in K1 g 3 (a) and K1 g 1 (b) in Ying’er Sag

图15 营尔凹陷下沟组K1 g 3(a)和K1 g 1(b)砂地比和油层分布叠合

Fig.15 Overlapping maps of sandstone to formation ratio and oil layer distribution in the K1 g 3 (a) and the K1 g 1 (b) in Ying’er Sag

结合油气分布与相应地层的储地比(图15)来看,继承性构造背景上的沉积相和储集条件对油气富集的控制作用主要体现在砂地比上,过高砂地比的侧向封堵条件差,不利于油气的保存。目前已发现油藏主要分布在砂地比为0.2~0.5的地区。K1 g 3已发现油藏主要分布在长沙岭鼻状构造之上的辫状河三角洲前缘亚相和远岸水下扇中,K1 g 1油藏主要分布在长3区块湖底扇砂体中。较低的砂地比利于油气富集,K1 g 1和K1 g 3已发现油藏主要分布在砂地比为0.2~0.5的地区,K1 g 3含油砂体更靠近凹陷内部,已发现的油气主要分布在砂地比小于0.4范围内。K1 g 1的油气分布除主力长3区块外,在长1区块和营北1井砂地比0.5的高值区、远离凹陷区仅有少量油气(图14)。砂地比太高,侧向封堵性变差,不利于油气的保存,如凹陷边缘营参1井K1 g 3砂地比为0.67、营北1井为0.76,酒参1井K1 g 1砂地比为0.69、黑1井为0.98等皆为失利井(图15)。可见,营尔凹陷油气层的分布受烃源岩分布、古隆起与砂地比三大成藏要素的控制作用明显,总体显示近源、自生自储、汇聚成藏特征,层控特征明显。

5 结论与认识

(1)酒泉盆地营尔凹陷已发现的原油可以分为A、B、C和D 4类。A类和B类原油分别分布于中沟组和下沟组上段,前者母质成熟度低于后者,但均属于自生自储原油。C类原油分布于赤金堡组和下沟组下段,主要为来自赤金堡组的成熟原油。D类原油主要分布在下沟组中、下段,主要来自下沟组下段与赤金堡组烃源岩成熟原油的混合。
(2)油气层的分布主要受烃源岩分布、古隆起与砂地比的控制,总体表现为自生自储、汇聚成藏的特征,层控特征显著。
1
Li Wenhou, Zhao Wenzhi. Fan-delta in Ying’er Depression, Jiudong Basin[J].Oil and Gas Geology,1997,18 (4):300-304.

李文厚,赵文智.酒东盆地营尔凹陷的扇三角洲[J].石油与天然气地质, 1997,18(4):300-304.

2
Pan Liangyun, Xie Jielai, Li Mingjie, et al. Cretaceous-Cenozoic regional tectonic evolution in Jiuquan Basin and petroleum exploration[J].Oil and Gas Geology,2006,27(1):62-69.

潘良云,谢结来,李明杰,等.酒泉盆地白垩纪—新生代区域构造演化与油气勘探[J].石油与天然气地质,2006, 27(1):62-69.

3
Cao Zhe, Qu Yanwei. Structural evolution of Ying'er Depression in Jiuquan Basin[J].China Petroleum and Chemical Standard and Quality,2017,37(6):48-49.

曹哲,屈燕微.酒泉盆地营尔凹陷构造演化特征研究[J].中国石油和化工标准与质量,2017,37(6):48-49.

4
Pan Liangyun, Zeng Zuoxun, Li Mingjie, et al. Fault-depression superimposed basin and oil control in Meso-Cenozoic in Jiuquan[J]. Acta Geologica Sinica,2012,86(4):535-547.

潘良云,曾佐勋,李明杰,等.酒泉中新生代断坳叠合盆地及控油作用[J].地质学报,2012,86(4):535-547.

5
Lv Chengfu, Chen Guojun, Du Guichao, et al. Characteristics of pore evolution and its controls of Lower Cretaceous reservoir in Ying' er Depression, Jiudong Basin[J].Acta Sedimentologica Sinica,2010,28(3):556-562.

吕成福,陈国俊,杜贵超,等.酒东坳陷营尔凹陷下白垩统储层孔隙特征及其影响因素研究[J].沉积学报,2010,28(3):556-562.

6
Lou Zhanwei, Pan Liangyun, Zhang Hongwei, et al. The characteristics of sequence stratigraphy and lithological exploration target in Ying'er Depression of Jiuquan Basin, Gansu Province[J].Geoscience,2005, 19(4):563-569.

娄占伟,潘良云,张宏伟,等.甘肃酒泉盆地营尔凹陷层序地层特征与岩性勘探目标[J].现代地质,2005,19(4):563-569.

7
Chen Jianping, Huang Difan, Huo Yonglu, et al. Petroleum generation, migration and accumulation in Ying’er Depression, the eastern Jiuquan Basin[J].Petroleum Exploration and Development,1995, 22(6):1-7, 99.

陈建平,黄第藩,霍永录,等.酒东盆地营尔凹陷油气生成和运移聚集[J].石油勘探与开发,1995,22(6):1-7, 99.

8
Zhao Peng, Chen Shijia, Li Liping, et al. Down Cretaceous oil sources comparative study of Ying’er Depression in Jiudong Basin[J].Natural Gas Geoscience,2006,17(2):192-195.

赵鹏,陈世加,李丽萍,等.酒东盆地营尔凹陷下白垩统油源对比[J].天然气地球科学,2006,17(2):192-195.

9
Han Yongke, Zhang Li, Han Xiaosong, et al. Classification of crude group in Ying’er Sag and its exploratory significance[J].Xinjiang Petroleum Geology, 2007,28(2):146-149.

韩永科,张莉,韩小松,等.营尔凹陷原油族群划分及勘探意义[J].新疆石油地质, 2007,28(2):146-149.

10
Zhao Leyi, Yang Jun, Li Tao, et al. Accumulation condition in source rock and reservoir of Lower Cretaceous Zhonggou Formation in Ying’er Sag of Jiuquan Basin[J].Journal of Xi'an University of Science and Technology,2018,38(1):118-125.

赵乐义,杨军,李涛,等.酒泉盆地营尔凹陷下白垩统中沟组源储一体成藏条件[J].西安科技大学学报,2018,38(1):118-125.

11
Chen Jianping, Zhao Wenzhi, Huang Difan, et al. Similarity and difference in geology between Jiudong and Jiuxi Basins of northwest China and petroleum exploration[J].Petroleum Exploration and Development,1997,24(6):12-16, 114.

陈建平,赵文智,黄第藩,等.酒东、酒西盆地的异同与油气勘探[J].石油勘探与开发,1997,24(6):12-16, 114.

12
Ma Liyuan, Cheng Keming, Xiong Ying, et al. Biomarker characteristic of crude oil and source correlation in Ying’er Sag, Jiudong Basin[J].Xinjiang Petroleum Geology, 2006,27(1):32-34.

马立元,程克明,熊英,等.营尔凹陷原油生物标志物特征及油源对比[J].新疆石油地质,2006,27(1):32-34.

13
Tissot B P, Welte D H. Petroleum Formation and Occurrence[M].Berlin:Springer-Verlag,1984.

14
Wang Tingdong, Cai Kaiping. The application of biomarkers in the study of natural gas migration and gas reservoir-source rock correlation[J].Acta Petrolei Sinica, 1990,11(1):25-31.

王廷栋,蔡开平.生物标志物在凝析气藏天然气运移和气源对比中的应用[J].石油学报,1990, 11(1): 25-31.

15
Huo Yonglu, Tan Shidian. Petroleum Geological Characteristics and Exploration Practice in Jiuquan Basin[M]. Beijing: Petroleum Industry Press, 1995.

霍永录,谭试典.酒泉盆地石油地质特征及勘探实践[M].北京:石油工业出版社,1995.

16
Jin Qiang. Geochemistry characteristics of trace elements in evaporates of the tertiary in western Qaidam Basin[J].Journal of China University of Petroleum,2003,27(2):1-5.

金强.柴达木盆地西部第三系蒸发岩微量元素组成及其地球化学特征[J].石油大学学报:自然科学版2003,27(2):1-5.

17
Justwan H, Dahl B, Isaksen G H. Geochemical characterization and genetic origin of oils and condensates in the south Viking Graben, Norway[J]. Marine and Petroleum Geology,2006,23(2):213-239.

18
Tian Jinqiang, Zou Huayao, Zhou Xinhuai, et al. Biomarker characteristics of source rocks and oil-source correlation in Liaodong Bay[J].Journal of China University of Petroleum, 2011,35(4):53-58.

田金强,邹华耀,周心怀,等.辽东湾地区烃源岩生物标志物特征与油源对比[J].中国石油大学学报:自然科学版2011,35(4):53-58.

19
Jin Qiang. Sedimentation and organic geochemistry of source rocks in the deep and shallow-water saline lakes in Tertiary, China[J].Acta Sedimentologica Sinica,1991,9(2):114-120.

金强.深水和浅水盐湖相生油岩沉积及其石油地球化学特征[J].沉积学报,1991,9(2):114-120.

20
Wang Jun, Zhou Xinhuai, Yang Bo, et al. Oil-source correlation of severely biodegraded oil of PL 9-1 Oilfield in Bohai sea[J].China Offshore Oil and Gas,2017,29(6):32-42.

王军,周心怀,杨波,等.渤海蓬莱9-1油田强烈生物降解原油油源对比[J].中国海上油气,2017,29(6):32-42.

21
Ding Zhimin. Application of trace elements in oil source correlation of Baxian sag[J].Oil and Gas Geology, 1987,8(2):138-144.

丁志敏.微量元素在霸县凹陷油源对比中的应用[J].石油与天然气地质,1987,8(2):138-144.

22
Eglinton G, Raphael R A, Smith G N,et al.Isolation and Identification of two Smooth muscle Stimulants from Menstrual Fluid[J].Nature,1964,200(12):960,993-995.

23
Eglinton Geoffrey Calvin Melvin.Chemical Fossils[J].Scientific American1967,216(1):32-43.

24
Eglinton G, Murphy M T J. Organic Geochemistry Methods and Results[M]. Berlin: Springer Verlag, 1969.

25
Fu Jiamo, Sheng Guoying, Xu Jiayou, et al. Application of biomarker compounds in assessment of paleoenvironments of Chinese terrestrial sediments[J]. Geochimica,1991,20(1):1-12.

傅家谟,盛国英,许家友,等.应用生物标志化合物参数判识古沉积环境[J].地球化学,1991,20(1):1-12.

26
Fu Jiamo. Organic geochemical marker compounds - biomarkers and their applications in oil and gas exploration[J]. Geo-Information Science, 1988(4):12-14.

傅家谟.有机地球化学标志化合物—生物标志物研究及其在油气勘探中的应用[J]. 地球信息科学,1988(4):12-14.

27
Bo Liu, Bechtel Achim, Reinhard F S, et al. Depositional environment of oil shale within the second member of Permian Lucaogou Formation in the Santanghu Basin, Northwest China[J]. International Journal of Coal Geology,2017,175(4):10-25.

28
Chen Guo. Hydrocarbon-Generating Effectiveness of Carbonate Source Rock of Xiagou Formation in Qingxi Sag, Jiuquan Basin[D].Beijing: China University of Petroleum (Beijing),2016.

陈果. 酒泉盆地青西凹陷含碳酸盐源岩成烃有效性分析[D].北京:中国石油大学(北京),2016.

29
Qingyong Luo, Lei Gong, Yansheng Qu, et al. The tight oil potential of the Lucaogou Formation from the southern Junggar Basin, China[J]. Fuel,2018,234(7):858-871.

30
Lee Carina, Brocks Jochen J.. Identification of carotane breakdown products in the 1.64 billion year old Barney Creek Formation, McArthur Basin, northern Australia[J]. Organic Geochemistry,2011,42(4):425-430.

31
Li Zhenguang, Song Guixia, Yu Bailin. Application of GC-MS to organic geochemistry[J]. Journal of Instrumental Analysis, 2004,23(S1):309-313.

李振广,宋桂侠,于佰林.色谱—质谱分析在有机地球化学研究中的应用[J].分析测试学报,2004,23(S1):309-313.

32
Han Yongke, Liu Yongchang, Yue Zhizhong, et al. Prospect of petroleum exploration in Changshaling structural belt of Ying’er Sag in Jiuquan Basin[J]. Xinjiang Petroleum Geology,2003,24(6):490-493.

韩永科,刘永昌,岳智忠,等.酒泉盆地营尔凹陷长沙岭构造带油气勘探前景[J].新疆石油地质,2003,24(6):490-493.

33
Xue Peilin, Kuang Hongwei, Liu Yongqing, et al. Sedimentary facies of the Early Cretaceous Xiagou Formation and Zhonggou Formation and basin evolution in western Jiuquan, Gansu province[J]. Geological Bulletin of China, 2013,32(Z1):476-487.

薛沛霖,旷红伟,柳永清,等.甘肃酒泉西部地区下白垩统下沟组—中沟组沉积相特征与早白垩世盆地演化[J].地质通报,2013,32(Z1):476-487.

34
Zhao Jianru, Sun Xing, Pan Liangyun, et al. Comprehensive evaluation of oil and gas exploration in Jiuquan Basin[J]. Oil Geophysical Prospecting,2008,43(Z1): 73-77,97,195,9.

赵建儒,孙星,潘良云,等.酒泉盆地油气勘探领域综合评价[J].石油地球物理勘探,2008,43(Z1):73-77,97,195,9.

Outlines

/