0 引言
1 地质概况
1.1 沉积及构造特征
1.2 地层分层特征
1.3 页岩分布及勘探现状
2 样品信息与实验方法
2.1 样品选择
2.2 实验方法
2.2.1 高压压汞实验
2.2.2 N2吸附实验
2.2.3 CO2吸附实验
2.2.4 矿物组成及有机地球化学
表1 自201井龙子溪组页岩样品地球化学参数和矿物组成特征Table 1 Lithofacies characteritsics of the Longmaxi Formaiton shale of the Well Z201 |
| 井位 | 深度/m | 层位 | TOC/% | 矿物组成/% | ||||
|---|---|---|---|---|---|---|---|---|
| 石英 | 斜长石 | 碳酸盐 | 黄铁矿 | 黏土矿物 | ||||
| 自201 | 3 564.80 | 龙二段 | 2.69 | 25.5 | 37.1 | 3.3 | 34.1 | |
| 3 569.50 | 龙二段 | 1.96 | 50.1 | 4.1 | 4.8 | 41 | ||
| 3 660.00 | 龙一1 3小层 | 1.79 | 29.6 | 4.5 | 15.9 | 2.5 | 47.5 | |
| 3 663.50 | 龙一1 2小层 | 2.30 | 34.2 | 10.5 | 9.1 | 46.2 | ||
| 3 665.00 | 龙一1 2小层 | 8.16 | 69.4 | 12.2 | 18.4 | |||
| 3 668.09 | 龙一1 1小层 | 3.81 | 42.4 | 34 | 23.6 | |||
| 3 667.20 | 龙一1 2小层 | 7.22 | 78.5 | 3.4 | 18.1 | |||
| 3 674.00 | 五峰组 | 2.49 | 28.3 | 23.5 | 5.9 | 42.3 | ||
| 3 678.30 | 五峰组 | 4.24 | 23.8 | 64.2 | 12 | |||
3 实验结果
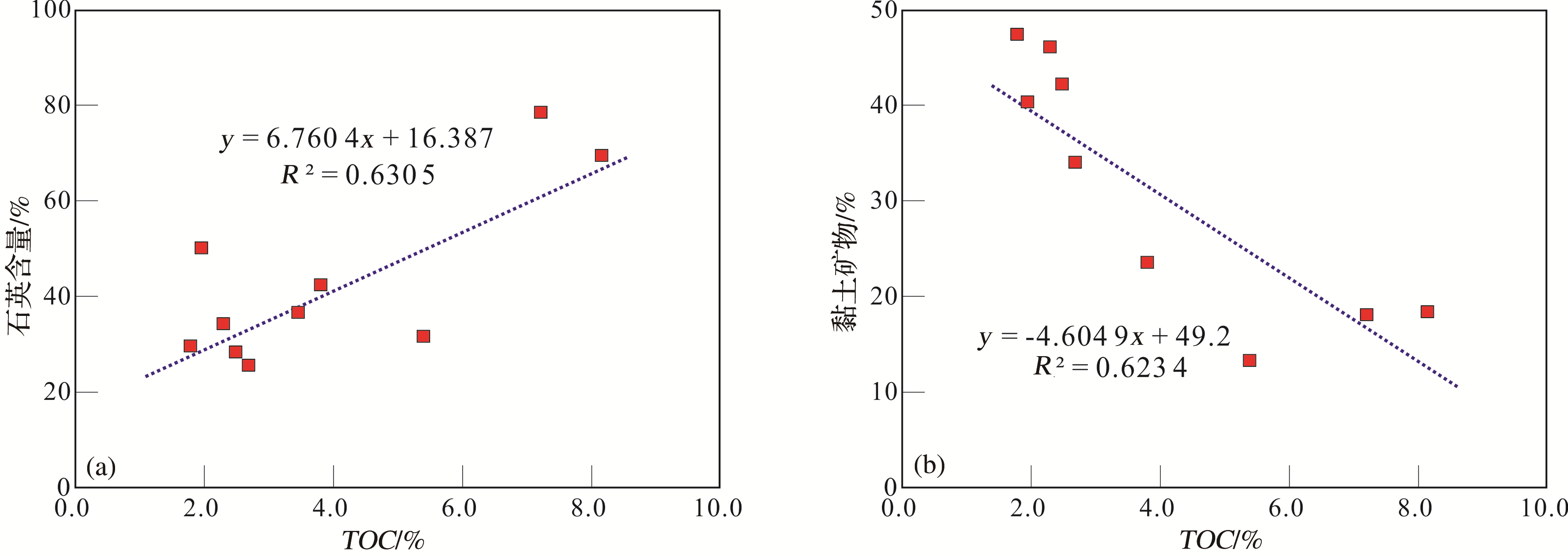
3.1 页岩矿物组成
图2 四川盆地南部自贡地区页岩矿物组成三端元图解(修改自文献[26]) Fig.2 The mineral composition of Longmaxi Formation shale in the Zigong area, southern Sichuan Basin (modified after Ref. [26]) |
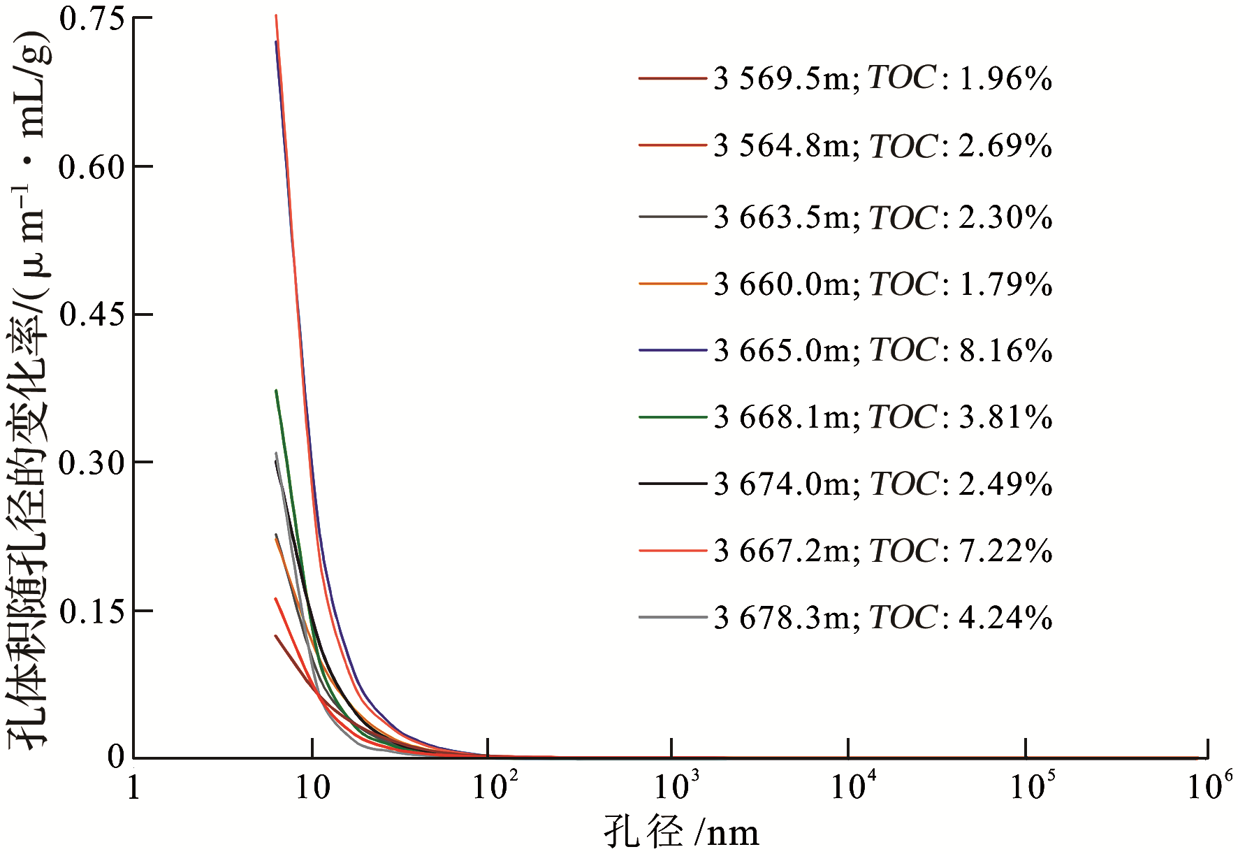
3.2 高压压汞法表征页岩孔喉特征
3.3 N2吸附实验的页岩孔隙分布特征
3.4 CO2吸附实验的页岩孔隙分布特征
4 页岩孔隙全孔径分布特征
图10 自201井深层龙马溪组页岩不同孔隙比例(样品序号见表2)Fig.10 Proportion of pore size of the Longmaxi Formation shale in the Well Z201 |
表2 自201井龙马溪组页岩孔隙结构参数Table 2 Pore structure parameters of pore size of the Longmaxi Formation shale in the Well Z201 |
| 序号 | 深度/m | TOC/% | 孔体积比例/% | 孔体积/(mL/g) | 孔比表面积比例/% | 孔比表面/(m2/g) | ||||
|---|---|---|---|---|---|---|---|---|---|---|
| 微孔 | 中孔 | 宏孔 | 微孔 | 中孔 | 宏孔 | |||||
| 平均值 | 3.85 | 39.1 | 45.1 | 15.8 | 0.025 | 74.0 | 25.9 | 0.0 | 13.282 | |
| 1 | 3 564.80 | 2.69 | 41.0 | 45.1 | 14.0 | 0.021 | 74.6 | 25.4 | 0.0 | 11.594 |
| 2 | 3 569.50 | 1.96 | 39.5 | 43.8 | 16.6 | 0.014 | 78.2 | 21.7 | 0.2 | 7.748 |
| 3 | 3 660.00 | 1.79 | 33.4 | 37.0 | 29.6 | 0.022 | 77.4 | 22.5 | 0.1 | 10.454 |
| 4 | 3 663.50 | 2.30 | 41.8 | 43.6 | 14.6 | 0.020 | 74.7 | 25.3 | 0.0 | 11.167 |
| 5 | 3 665.00 | 8.16 | 41.4 | 51.6 | 7.0 | 0.037 | 71.1 | 28.9 | 0.0 | 21.185 |
| 6 | 3 668.09 | 3.81 | 35.4 | 52.7 | 11.8 | 0.025 | 71.7 | 28.3 | 0.0 | 13.052 |
| 7 | 3 667.20 | 7.22 | 37.8 | 47.7 | 14.5 | 0.041 | 71.5 | 28.5 | 0.0 | 21.623 |
| 8 | 3 674.00 | 2.49 | 41.6 | 39.4 | 18.9 | 0.020 | 72.3 | 27.7 | 0.0 | 11.300 |
| 9 | 3 678.30 | 4.24 | 39.5 | 45.4 | 15.1 | 0.022 | 75.0 | 25.0 | 0.0 | 11.413 |

甘公网安备 62010202000678号