0 引言
1 区域概况
表1 塔河地区东部三叠系钻遇地层情况Table 1 Table of strata encountered of the Triassic, east of Tahe Oilfield |
| 地层 | 视厚度/m | 岩 性 简 述 | |||
|---|---|---|---|---|---|
| 系 | 统 | 组 | 代号 | ||
| 三 叠 系 | 上 统 | 哈拉哈塘组 | T3 h 2 | 40~60 | 深灰色泥岩夹灰色泥质粉砂岩,底部灰黑色炭质泥岩为三叠系区域标志层 |
| T3 h 1 | 45~65 | 浅灰色含砾细粒长石岩屑砂岩、细粒长石岩屑砂岩夹深灰色泥岩、粉砂质泥岩,即三叠系上油组 | |||
| 中 统 | 阿克库勒组 | T2 a 4 | 85~95 | 深灰色泥岩与浅灰色细粒长石岩屑砂岩、泥质粉砂岩呈略等厚互层 | |
| T2 a 3 | 25~45 | 浅灰色细粒长石岩屑砂岩夹深灰色粉砂质泥岩,即三叠系中油组 | |||
| T2 a 2 | 13~30 | 灰色泥岩、粉砂质泥岩 | |||
| T2 a 1 | 112~131 | 浅灰色细粒长石岩屑砂岩夹灰色粉砂质泥岩 | |||
| 下统 | 柯吐尔组 | T1 k | 30~100 | 灰绿、深灰色泥岩,局部为褐色泥岩,偶夹灰色粉砂岩、砂岩 | |
2 沉积相标志
2.1 岩性特征
2.2 沉积构造
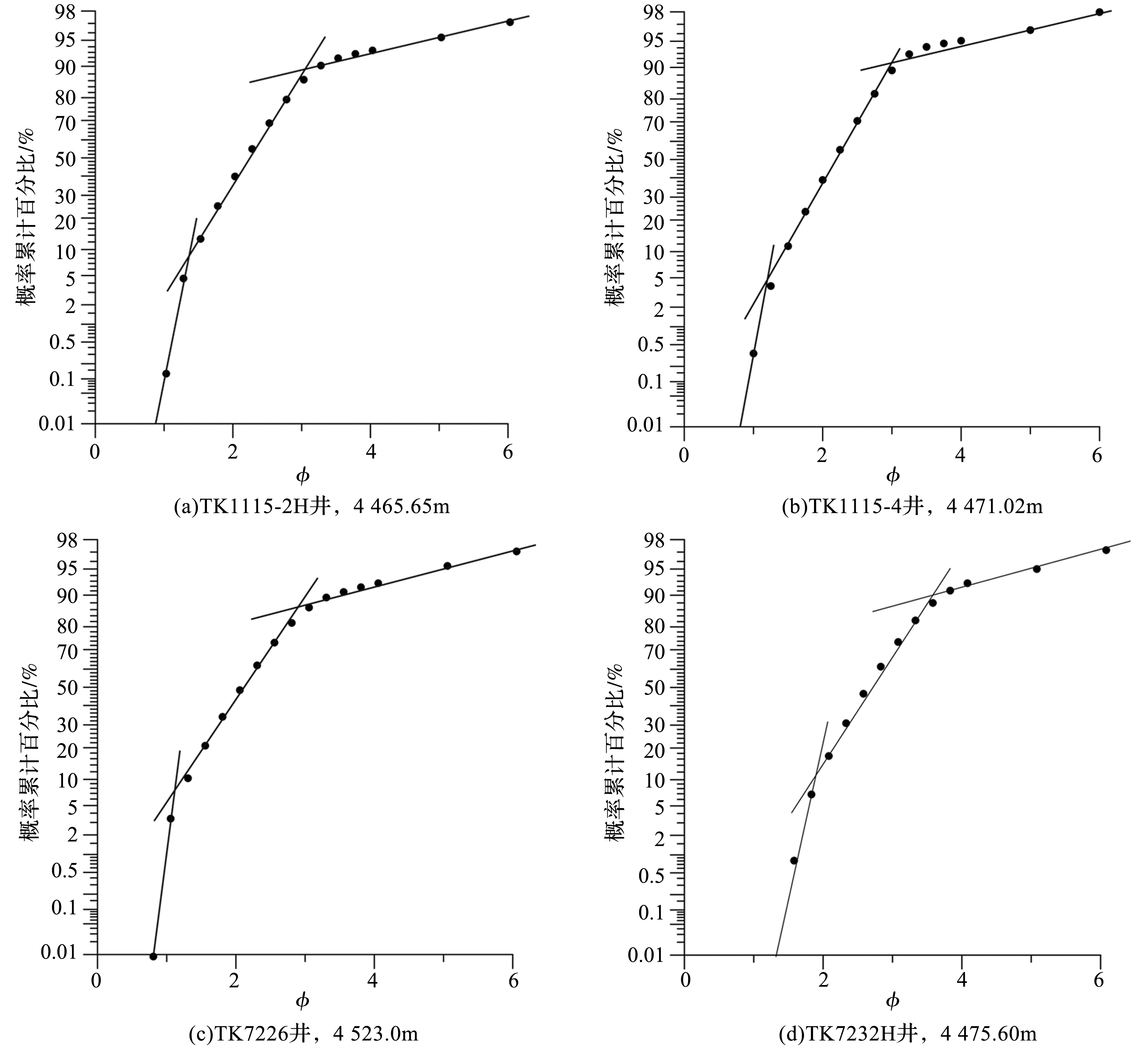
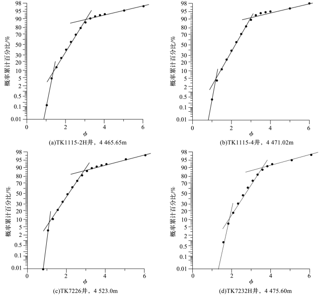
2.3 粒度特征
2.4 相序分析
3 砂体展布规律
3.1 剖面展布规律
图7 塔河地区东部三叠系阿四段南北向连井剖面Fig.7 The north-south well-tie sections in the fourth member of Akekule Formation, east of Tahe Oilfield |

甘公网安备 62010202000678号