引用本文
Yin Shuai,Ding Wenlong,Huang Changjie,et al.Gas saturation logging evaluation of partially saturated tight sandstone reservoir[J].Natural Gas Geoscience,2015,27(1):156-165.[尹帅,丁文龙,黄昌杰,等.非饱和致密砂岩储层含气饱和度测井评价[J].天然气地球科学,2015,27(1):156-165.]

doi:10.11764/j.issn.1672-1926.2016.01.0156
非饱和致密砂岩储层含气饱和度测井评价
关键词: 致密砂岩 含气饱和度 测井评价 Archie公式 TPE 电阻率 泥质含量
中图分类号:TE122.2 文献标志码:A 文章编号:1672-1926(2016)01-0156-10
Gas saturation logging evaluation of partially saturated tight sandstone reservoir
Key words: Tight sandstone; Gas saturation; Logging evaluation; Archie formula; TPE; Resistivity; Shale content;
引言
低渗致密砂岩储层是未来的重要方向[1,2],区调优选重点靶区之后,只有对储层物性及沉积等方面因素进行准确评估,才能为将来获取巨大经济效益提供重要基础保障[3]。含气饱和度是致密储层物性评价的一个重要参数[4],其测井精细解释对深入探索地层有效气体渗透率、气水层识别及分布、储量估算、岩石物理模拟及地震反演等方面均具有重要参考价值[5-7]。 前人对储层岩石含气饱和度测井解释方面进行了许多卓有成效的研究,如Archie[8]在研究墨西哥湾高孔高渗储层时提出了经典Archie公式;Worthington[9]对原Archie公式进行修正,考虑了泥质含量对岩石含水(气)饱和度的影响;Rosepiler[10]研究了致密砂岩储层含气饱和度的影响因素;Kukal[11]开发出了一个适用于致密砂岩储层的含气饱和度测井解释系统“TITEGAS”;Morteza等[5]针对美国西部盆地Mesaverda致密砂岩储层高伽马、低真电阻率的特征,提出一种含气饱和度测井解释的新方法;宋延杰等[12]针对低阻油层提出通用有效介质电阻率模型;林茂杰等[13]利用毛细管压力曲线确定了四川磨溪气田孔隙型气藏地层岩石的原始含气饱和度;由于NMR(核磁共振)测井[14]中的T1及T2谱分布特征可以区分油、气及水,因此也被用于解释地层岩石含气(水)饱和度,但其并不是对每口井都具有实用性及经济性;Leclair等[15]利用Biot-Type方程研究了弹性波速与岩石含气饱和度之间的关系;王才志等[16]基于阵列声波测井资料,利用Gassmann方程确定了地层岩石弹性模量并建立了岩石含气饱和度模型;闫伟林等[17]基于Maxwell导电孔隙原理建立了中基性火山岩储层含气饱和度解释模型;黄导武等[18]利用脉冲中子俘获测井对平湖气田低矿化度水地层岩石剩余气饱和度分布特征及水侵情况进行了解释;谢进庄等[19]利用大庆油田葡南地区老井套管井中进行的中子寿命及补偿中子组合测井资料,建立了一个新的含气饱和度模型,对浅层天然气进行了评价;桂俊川等[20]提出通过精确计算岩石及所含流体压缩系数来求取岩石含气饱和度的静态力学新方法。 通过以上岩石含气饱和度测井解释方面发展历程可以看出,概括来讲,该研究主要包括电学、声学及力学3个方面方法,其中电学及声学方法应用最为广泛,解释效果最好。对于本文研究区川西须家河组致密砂岩储层而言,其经历了复杂沉积、成岩及构造演化过程,储层物性及含气性等方面因素在纵横向上均具有较强的非均质性。在这种情况下,储层含气饱和度的准确预测难度较大。此时,采用不同方法对致密储层含气饱和度进行对比研究,优选最佳解释方案,可以有效预防漏掉有效储层,同时可以为深入研究储层气水分布、寻找优质储层及井间含气性对比提供重要参考。 本文在对致密砂岩储层含气饱和度测井解释过程中,联合了常规测井、ECS元素俘获能谱测井、NMR测井及全波列测井解释结果,主要基于电学Archie公式[8]及声学三相Biot-Type公式(TPE)方法[15-21],在此基础上对这些研究方法进行了一些改进,从而提高预测精度。通过探讨不同解释方法的评价效果及影响因素,以期能为该研究更深入进行提供参考和依据。
1 致密砂岩储层测井响应特征
1.1 储层矿物组分特征
所评价致密气储层属四川盆地须家河组地层,为陆(湖)相沉积。储层岩石孔隙度主要分布在5%~20%之间,渗透率<1×10-3μm2,属低孔低渗致密砂岩储层。研究区部分水平井通过多级压裂均获得高产气流,揭示出巨大的致密气勘探开发潜力。其中A井测井完备,包括:常规测井、ECS元素俘获能谱测井、NMR测井及全波列测井等。所研究含气储层段位于2 736~2 777m井段(图1)。通过ECS获得的地层主要矿物组分见图1。从图1中可以看出,该陆相致密砂岩地层主要矿物组分为石英、黏土、方解石及黄铁矿。石英含量分布在30%~64%之间,黏土矿物含量分布在25%~65%之间,方解石含量分布在0~16%之间,黄铁矿含量分布在0~6%之间,此外还含有少量炭屑、云母及燧石,其含量通常小于1%。
图1 研究地层矿物组分含量随埋深变化关系
Fig.1 The change of mineral composition of studied formation with depth
图2 地层石英及方解石含量与伊利石含量相关
Fig.2 Relationship of the content of quarta,calcite and clay in formation
1.2 储层物性、声学及电性特征
所研究井段(2 736~2 777m)地层为致密砂岩储层,ECS及气测录井显示其整体含气。为了能清楚区分各埋深岩石测井数据变化,将该地层由浅到深划分为A—I共计9个层段(图3),其中B段、F段及I段(图3灰色井段)为高含气储层段。从图3中可以看出,高含气储层段往往表现为纵波波速(Vp)与电阻率曲线之间具有较大的幅度差;同时密度孔隙度值显著大于NMR孔隙度值;而泥质含量(Vsh)相对较低。电阻率曲线值明显大于Vp曲线值主要是由于高含气量使岩石电阻率增加所致[28]。含气储层密度孔隙度指代岩石总孔隙度,可通过式(1)进行表示。NMR孔隙度[14]仅代表孔隙中水(束缚水、毛细管水及自由水)所占据的体积,ECS测井也能获得岩石中气、水相对体积,2种测井结果具有一致性。因而若NMR孔隙度大于密度孔隙度,则在一定程度上表明储层中含气量或含气饱和度相对较低。当储层密度孔隙度大于NMR孔隙度且存在较大幅度差时[28],表明储层含气量或含气饱和度相对较高。
2 含气饱和度测井评价
2.1 基于Archie公式电学解释方法
Archie[8]经典公式是最早用于岩石含水饱和度(Sw)解释的方法之一,该方法提出之后得到广泛的应用和发展。基于该公式型式及并联导电原理,许多类似的Sw解释方法相继被提出,但Archie[8]公式依然是目前最常使用的岩石含水饱和度解释方法。根据Archie[8]公式,地层因素(F)可以表示为[8]:
图3 致密砂岩地层测井响应特征曲线
Fig.3 Logging response characteristic curve of tight sandstone formation
图4 地层因素F与孔隙度双对数关系
Fig.4 Log-log relationship of formation parameter and porosity
图6 地层含气饱和度实测值与预测值(Archie公式)相关
Fig.6 Relationship of the measured and predicted Sg(Archieformula)
2.2 基于TPE声学解释方法
地层岩石含气性会在弹性波速上具有显著响应,本文基于TPE方程[15-21]利用可靠全波列声学测井资料对地层岩石含气饱和度进行解释。首先,根据Gassmann方程[34],地层岩石纵横波波速可以分别表示为:
图7 地层含气饱和度实测值与预测值(考虑泥质Archie公式)相关关系
Fig.7 Relationship of measured and predicted Sg(Archie formula considering Vsh)
Table 1 The value of modulus and density constant in model
| 模量 /GPa | 密度 /(g/cm3) | 数据来源 | |
| Kma(sandstone) | 38 | 2.65 | Schlumberger[36] |
| μma(sandstone) | 44 | Schlumberger[36] | |
| Kma(clay) | 20.9 | 2.58 | Helgerud等[37] |
| μma(clay) | 6.85 | Helgerud等[37] | |
| Kw(water) | 2.29 | 1 | Lee等[35] |
| μw(water) | 0 | Lee等[35] | |
| Kg(gas) | 6.41 | 0.91 | Sloan[38] |
| μg(gas) | 2.54 | Sloan[38] |
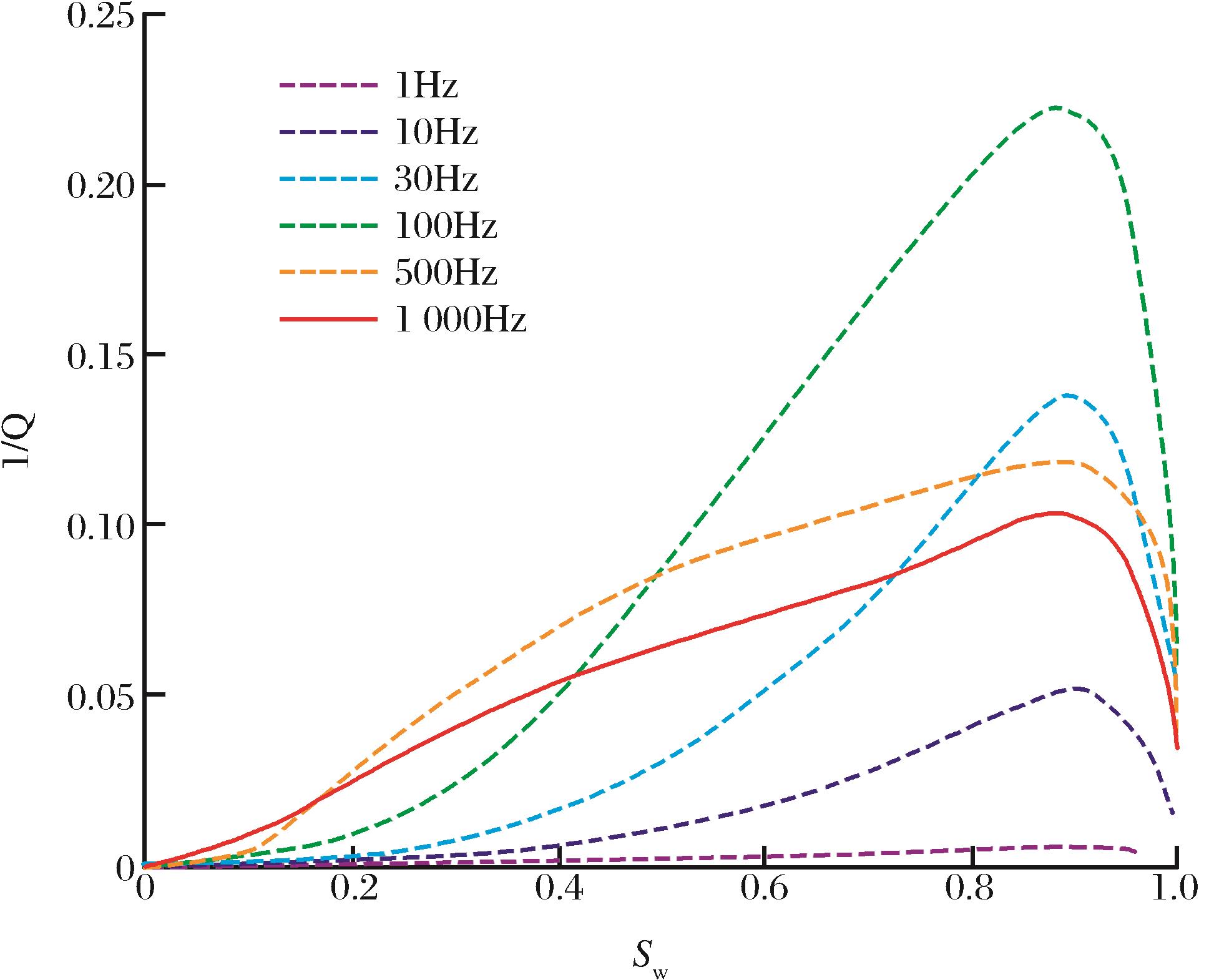
图8 固结系数α与电阻率对数关系
Fig.8 Relationship of parameterα and the resistivity log
图9 地层含气饱和度测井解释结果与实测结果对比关系
Fig.9 Relationship of Sg logging interpretation results and the measured results
3 结论
(1)利用电学Archie公式及其修正公式方法对致密砂岩储层Sg进行测井解释,确定的待定常数分别为:m=1.3;a=1.5;n=2.2;b=1.21;ac=1.7,mc=1.23,该取值结果可以为同类研究提供参考。泥质含量对该方法评价效果具有一定影响。 (2)利用TPE方法对Sg进行测井解释。ε值取0.01,通过自适应方法获取地层固结参数α值,发现α值与电阻率对数值之间满足幂指数关系:log(电阻率)=1.293α-0.04,利用该关系可以对地层α进行预测。 (3)TPE评价方法受泥质含量影响较小,但会受地层真实Sg的影响,当真实Sg值低于60%时预测效果良好,而高于此值时,预测结果略微偏低。由于高含气饱和度不是导致声波的频散和衰减的主要原因,因此该现象与岩石基质矿物组成、内部颗粒微观接触型式及孔—裂隙结构等因素有关。 (4)当模型参数选取适当条件下,利用2种方法均可获得良好的评价效果,根据实际资料掌握程度,可以优选适当方法对非饱和致密砂岩储层Sg进行精细测井解释。
参考文献(References)
[1] Rahim K I,Reza M H,Re za R,et al.Seismic inversion and attributes analysis for porosity evaluation of the tight gas sandstones of the Whicher range field in the Perth basin,Western Australia[J].Journal of Natural Gas Science and Engineering,2014,21:1073-1083.
[2] Lu Xuesong,Liu Shaobo,Li Wei,et al.Geological and resource evaluation in tight sandstone gas plays of low exploration degree:A case of Jurassic tight sandstone gas in east Kuqa Basin[J].Natural Gas Geoscience,2014,25(2):178-183.[鲁雪松,柳少波,李伟,等.低勘探程度致密砂岩气区地质和资源潜力评价——以库车东部侏罗系致密砂岩气为例[J].天然气地球科学,2014,25(2):178-183.]
[3] Ursula I V,Jorge O.Artificial neuralnetworks applied to estimate permeability,porosity and intrinsic attenuation using seismic attributes and well-log data[J].Journal of Applied Geophysics,2014,107:45-54.
[4] Ning Fulong,Wu Nengyou,Li Shi,et al.Estimation of in-situ mechanical properties of gas hydrate-bearing sediments from well logging[J].Petroleum Exploration and Development,2013,40(4):542-547.
[5] Morteza A,Mat H Y,Gholamreza Z,et al.Introducing new method to improve log derived saturation estimation in tight shaly sandstones:A case study from Mesaverde tight gas reservoir[J].Journal of Petroleum Science and Engineering,2012,92-93:132-142.
[6] Amie M L,Ronny H,Bryndzia L T.Evaluation of variable gas saturation on acoustic log data from the Haynesville shale gas play,NM Louisiana,USA[J].The Leading Edge,2011,30(3):300-310.
[7] Ali S.Ziarani,Roberto Aguilera.Pore-throat radius and tortuosity estimation from formation resistivity data for tight gas sandstone reservoirs[J].Journal of Applied Geophysics,2012,83:65-73.
[8] Archie.The electrical resistivity log as an aid in determining some reservoir characteristics[J].Transaction of American Institute of Mining,Metallurgical,and Petroleum Engineers,1942,146:54-62.
[9] Worthington P F.The evolution of shaly-sand concepts in reservoir evaluation[J].The Log Analyst,1985,1:23-40.
[10] Rosepiler.Calculation and siginificance of water saturations in low porosity shaly gas sands[R]//Proceedings of the SPWLA 22nd Annual Logging Symposium.London:Society of Petrophysicists & Well Log Analysts,1981.
[11] Kukal.A systematic approach for the effective log analysis of tight gas sands[D]//Proceedings of the SPE Unconventional Gas Recovery Symposium.New York:Society of Petroleum Engineerings of AIME,Pennsylvania,1984.
[12] Song Yanjie,Tang Xiaomin.General effective medium resistivity model of low resistance oil layer[J].Science China:Earth Sciences,2008,38(7):896-909.[宋延杰,唐晓敏.低阻油层通用有效介质电阻率模型[J].中国科学:地球科学,2008,38(7):896-909.]
[13] Lin Maojie,Zou Shaochun.Determining initial gas saturation of porosity gas reservoir usingcapillary pressure curve[J].Natural Gas Industry,1993,13(2):17-21.[林茂杰,邹绍春.用毛细管压力曲线确定孔隙型气藏的原始含气饱和度[J].天然气工业,1993,13(2):17-21.]
[14] Merkel,Gegg.NMR log/core data in tight gas sand petrophysical model development[R]//Proceedings of the 49th Annual Logging Symposium.Texas:Society of Petrophysicists & Well Log Analysts,Austin,2008.
[15] Leclaire P,Cohen T F,Aguirre P J.Extension of Biot’s theory of wave propagation to frozen porous media[J].Journal of Acoustical Society of America,1994,96(6):3753-3768.
[16] Wang Caizhi,Zhang Lijun.Model of gas saturation determination based on elastic modulus[J].Petroleum Exploration and Development,2007,34(5):598-602.[王才志,张丽君.基于地层弹性模量建立含气饱和度模型[J].石油勘探与开发,2007,34(5):598-602.]
[17] Yan Weilin,Tan Hao,Li Hongjuan.Study on the gas saturation computation model of neutral and basic volcanic rocks reservoir based on the conductive pore[J].Journal of Jilin University:Earth Science Edition,2011,41(3):915-919.[闫伟林,覃豪,李洪娟.基于导电孔隙的中基性火山岩储层含气饱和度解释模型[J].吉林大学学报:地球科学版,2011,41(3):915-919.]
[18] Huang Daowu,Song Chunhua,Shen Xiaohong,et al.Amethod of pulse neutron capture logging to calculate gas saturation in low salinity formations and its application[J].China Offshore Oil and Gas,2007,19(3):169-171.[黄导武,宋春华,沈晓红,等.脉冲中子俘获测井求取低矿化度水地层含气饱和度方法研究及应用[J].中国海上油气,2007,19(3):169-171.]
[19] Xie Jinzhuang,Yang Jinghai,Song Yanjie.A fine evaluation method of shallow gas logging cased hole without open hole logging data[J].Natural Gas Geoscience,2012,23(6):1140-1146.[谢进庄,杨景海,宋延杰.一种无完井资料过套管浅层气测井精细评价方法[J].天然气地球科学,2012,23(6):1140-1146.]
[20] Gui Junchuan,Xia Hongquan,Zou Yong,et al.A new method to calculate the gas saturation of the sand and shale formations based on logging rock mechanics parameters[J].Petroleum Drilling Techniques,2015,43(1):82-87.[桂俊川,夏宏泉,邹勇,等.基于测井岩石力学参数计算砂泥岩储层含气饱和度的新方法[J].石油钻探技术,2015,43(1):82-87.]
[21] Carcione J M,Tinivella U.Bottom simulating reflectors:seismic velocities and AVO effects[J].The Leading Edge,2000,65(1):54-67.
[22] Guan Ping.Theevolution of smectite to illite during diagenesis:A kinetic medel[J].Geochinica,1991,20(2):197-202.[关平.成岩作用中蒙皂石向伊利石转化的化学动力学模型及其意义[J].地球化学,1991,20(2):197-202.]
[23] Wei Wenwen,Huang Sijing,Huan Jinlai.Thermadynamic calculation of illite formation and its significance on research of sandstone diagenesis[J].Geological Science and Technology Information,2011,30(1):20-24.[魏文文,黄思静,郇金来.伊利石形成相关反应的热力学计算及其对砂岩成岩作用研究的意义[J].地质科技情报,2011,30(1):20-24.]
[24] Abdullah M A,Eswaran P.Quartz surface morphology of Tertiary rocks from northeast Sarawak,Malaysia:Implications for paleo-depositional environment and reservoir rock quality predictions[J].Petroleum Exploration and Development,2014,41(6):1-8.[Abdullah M A,Eswaran P.马来西亚沙捞越东北部第三系石英表面形态特征[J].石油勘探与开发,2014,41(6):1-8.]
[25] John W.Snedden.Estimating effective shale area distributions from subsurface data[J].Marine and Petroleum Geology,2014,49:35-44.
[26] Robert A M,Guy G,Bruce E J.Physical criteria fordistinguishing sandy tsunami and storm deposits using modern examples[J].Sedimentary Geology,2007,200:184-207.
[27] Michael H S,Irfan U J,Sa’ad Z A,et al.Palynology and correlation of Carboniferous-Permian glacigene rocks in Oman,Yemen and Pakistan[J].Gondwana Reasearch,2013,24:203-211.
[28] Collett T S.Energy resource potential of natural gas hydrates[J].AAPG Bulletin,2002,86(11):1971-1992.
[29] Arp J J.The effect of temperature on the density and electrical resistivity of sodium chloride solutions[J].Petroleum Transaction,American Institute of Mining,Metallurgical,and Petroleum Engineering,1953,198:327-330.
[30] Collett T S.Energy research potential of natural gas hydrates[J].AAPG Bulletin,2002,86(11):1971-1992.
[31] Lee M W,Collett T S.Integrated analysis of well logs and seismic data at the Keathley Canyon,Gulf of Mexico,for estimation of gas hydrate concentrations[J].Marine and Petroleum Geology,2008,25:924-931.
[32] Wyllie M R J,Southwick P F.An experimental investigation of the S.P.and resistivity phenomena in shaly sands[J].Journal of Petroleum Technology,1954,6:44-57.
[33] Lee M W,Collett T S.A method of shaly sand correction for estimating gas-hydrate saturations using downhole electrical resistivity log data[J].U.S.Geological Survey,2006:8-12.
[34] Li Hongbing,Zhang Jiajia.Elastic moduli of dry rocks containing spheroidal pores based on differential effective medium theory[J].Journal of Applied Geophysics,2011,75:671-678.
[35] Lee M W,Waite W F.Estimating pore-space gas hydrate saturations from well-log acoustic data[J].Geochemistry,Geophysics,Geosystems,2008,9(7):9-10.
[36] Schlumberger Logging Company.Logging Interpretation Common Mineral Rock Handbook[M].Beijing:Petroleum Industry Press,1998.[斯伦贝谢测井公司.测井解释常用岩石矿物手册[M].北京:石油工业出版社,1998.]
[37] Helgerud M B,Dvorkin J,Nur A,et al.Elastic-wave velocity in marine sediments with gas hydrates:Effective medium modeling[J].Geophysics Research Letter,1999,26(13):2021-2024.
[38] Sloan E D.Clathrate hydrate hydrates of natural gases[M].London:Taylor & Francies,Inc.,2007.
[39] Hu Yong,Li Xizhe,Lu Xiangguo,et al.The realization of the active mechanism between formation and water in tight sand gas reservoir with high water saturation[J].Natural Gas Geoscience,2014,25(7):1072-1075.[胡勇,李煕喆,卢祥国,等.高含水致密砂岩气藏储层与水作用机理[J].天然气地球科学,2014,25(7):1072-1075.]
[40] Wei Xian,Wang Shangxu,Zhao Jianguo,et al.Laboratory investigation of influence factors on Vp and Vs in tight sandstone[J].Geophysical Prospecting for Petroleum,2015,54(1):9-16.[未晛,王尚旭,赵建国,等.致密砂岩纵横比速度影响因素的实验研究[J].石油物探,2015,54(1):9-16.]
[41] Li Qi,Gao Shusheng,Yang Zhaopeng,et al.Influence of the threshold pressure gradient on tight sandstone gas reservoir recovery[J].Natural Gas Geoscience,2014,25(9):1444-1449.[李奇,高树生,杨朝蓬,等.致密砂岩气藏阙压梯度对采收率的影响[J].天然气地球科学,2014,25(9):1444-1449.]
[42] Deng Jixin,Wang Shangxu,Du Wei.A study of the influence of mesoscopic pore fluid flow on the propagation properties of compressional wave-a case of periodic layered porous media[J].Chinese Journal of Geophysics,2012,55(8):2716-2725.[邓继新,王尚旭,杜伟.介观尺度孔隙流体流动作用对纵波传播特征的影响研究-以周期性层状孔隙介质为例[J].地球物理学报,2012,55(8):2716-2725.]
[43] Tian Wei,Zhu Weiyao,Zhu Huayin,et al.The micro-structure and seepage characteristics of condensate gas reservoir for tight sandstone[J].Natural Gas Geoscience,2014,25(7):1077-1083.[田巍,朱维耀,朱华银,等.致密砂岩凝析气藏微观结构及渗流特征[J].天然气地球科学,2014,25(7):1077-1083.]
[44] Chandong Chang,Mark D.Zoback,Abbas Khaksar.Empirical relations between rock strength and physicalproperties in sedimentary rocks[J].Journal of Petroleum Science & Engineering,2006,51:223-237.










